Plot the coefficients of a model with broom and ggplot2. For an updated and improved version, see ggcoef_model().

ggcoef(
  x,
  mapping = aes(!!as.name("estimate"), !!as.name("term")),
  conf.int = TRUE,
  conf.level = 0.95,
  exponentiate = FALSE,
  exclude_intercept = FALSE,
  vline = TRUE,
  vline_intercept = "auto",
  vline_color = "gray50",
  vline_linetype = "dotted",
  vline_size = 1,
  errorbar_color = "gray25",
  errorbar_height = 0,
  errorbar_linetype = "solid",
  errorbar_size = 0.5,
  sort = c("none", "ascending", "descending"),
  ...
)

Arguments

x

a model object to be tidied with broom::tidy() or a data frame (see Details)

mapping

default aesthetic mapping

conf.int

display confidence intervals as error bars?

conf.level

level of confidence intervals (passed to broom::tidy() if x is not a data frame)

exponentiate

if TRUE, x-axis will be logarithmic (also passed to broom::tidy() if x is not a data frame)

exclude_intercept

should the intercept be excluded from the plot?

vline

print a vertical line?

vline_intercept

xintercept for the vertical line. "auto" for x = 0 (or x = 1 if exponentiate is TRUE)

vline_color

color of the vertical line

vline_linetype

line type of the vertical line

vline_size

size of the vertical line

errorbar_color

color of the error bars

errorbar_height

height of the error bars

errorbar_linetype

line type of the error bars

errorbar_size

size of the error bars

sort

"none" (default) do not sort, "ascending" sort by increasing coefficient value, or "descending" sort by decreasing coefficient value

...

additional arguments sent to ggplot2::geom_point()

Examples

# Small function to display plots only if it's interactive
p_ <- GGally::print_if_interactive

library(broom)
reg <- lm(Sepal.Length ~ Sepal.Width + Petal.Length + Petal.Width, data = iris)
p_(ggcoef(reg))
# \donttest{
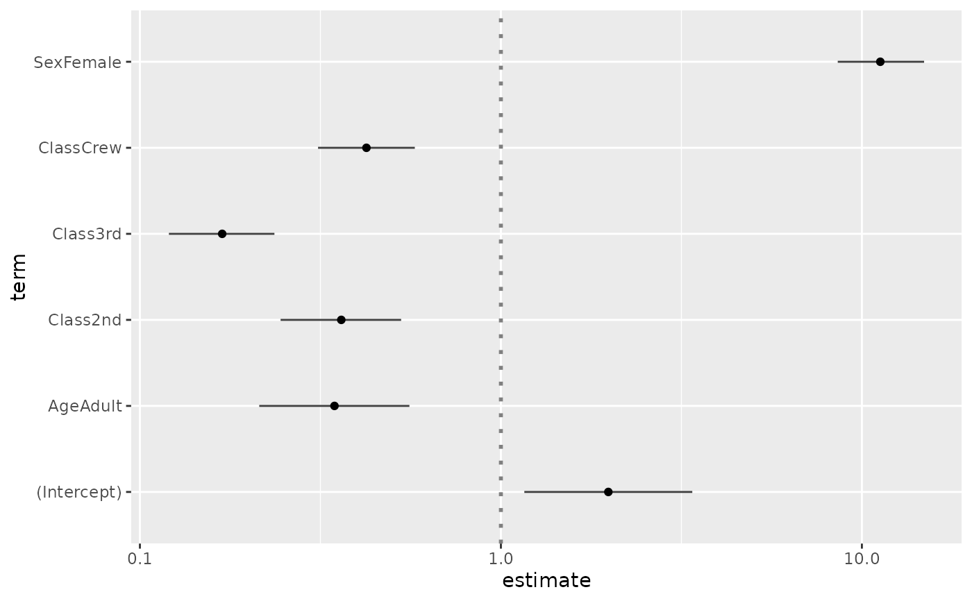
d <- as.data.frame(Titanic)
reg2 <- glm(Survived ~ Sex + Age + Class, family = binomial, data = d, weights = d$Freq)
ggcoef(reg2, exponentiate = TRUE)

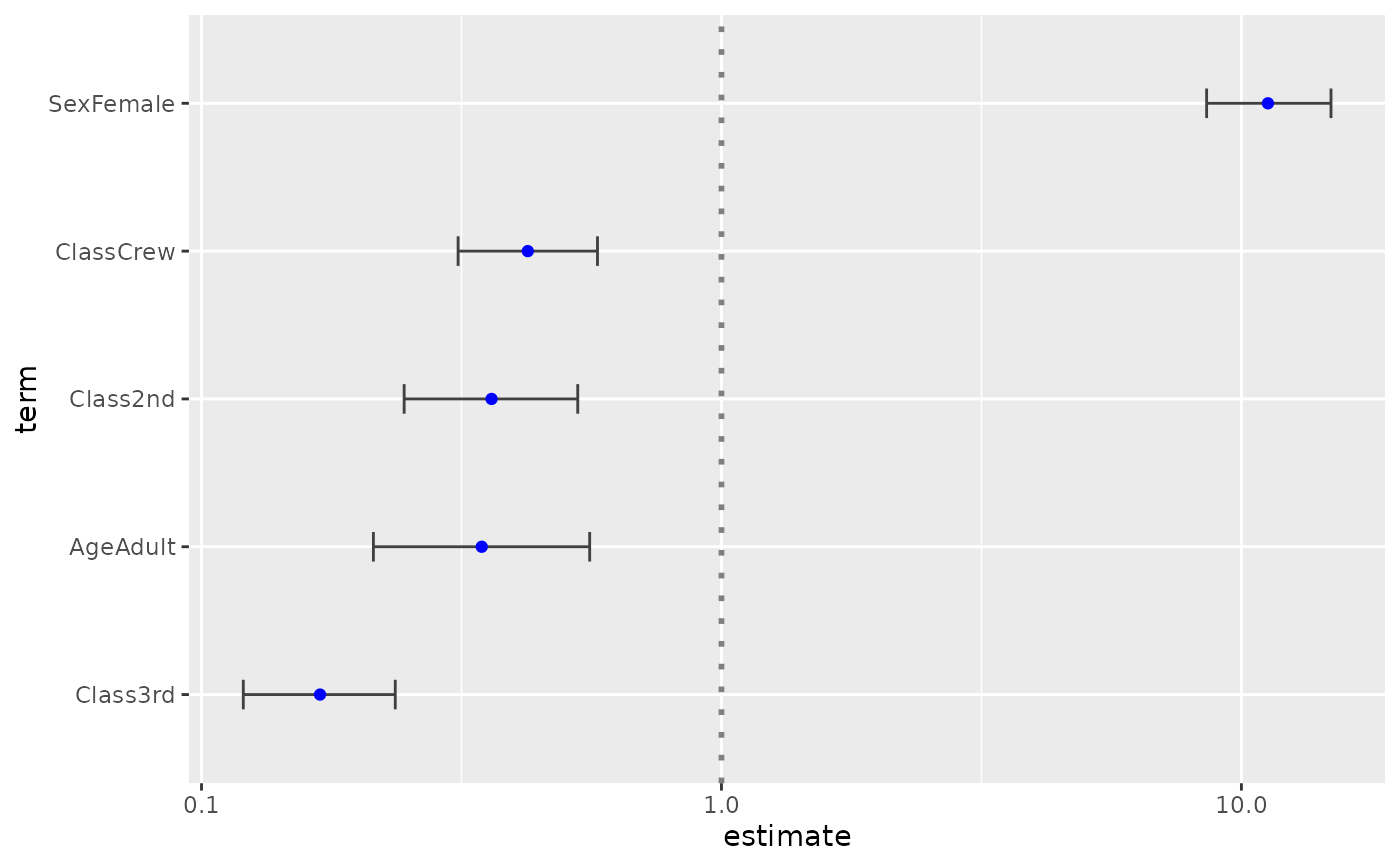
ggcoef(
  reg2,
  exponentiate = TRUE, exclude_intercept = TRUE,
  errorbar_height = .2, color = "blue", sort = "ascending"
)

# }