Expands continuous variables into restricted cubic spline bases and categorical variables into dummy variables and fits a multivariate equation using canonical variates. This finds optimum transformations that maximize \(R^2\). Optionally, the bootstrap is used to estimate the covariance matrix of both left- and right-hand-side transformation parameters, and to estimate the bias in the \(R^2\) due to overfitting and compute the bootstrap optimism-corrected \(R^2\). Cross-validation can also be used to get an unbiased estimate of \(R^2\) but this is not as precise as the bootstrap estimate. The bootstrap and cross-validation may also used to get estimates of mean and median absolute error in predicted values on the original y scale. These two estimates are perhaps the best ones for gauging the accuracy of a flexible model, because it is difficult to compare \(R^2\) under different y-transformations, and because \(R^2\) allows for an out-of-sample recalibration (i.e., it only measures relative errors).

Note that uncertainty about the proper transformation of y causes an enormous amount of model uncertainty. When the transformation for y is estimated from the data a high variance in predicted values on the original y scale may result, especially if the true transformation is linear. Comparing bootstrap or cross-validated mean absolute errors with and without restricted the y transform to be linear (ytype='l') may help the analyst choose the proper model complexity.

areg(x, y, xtype = NULL, ytype = NULL, nk = 4,
     B = 0, na.rm = TRUE, tolerance = NULL, crossval = NULL)

# S3 method for class 'areg'
print(x, digits=4, ...)

# S3 method for class 'areg'
plot(x, whichx = 1:ncol(x$x), ...)

# S3 method for class 'areg'
predict(object, x, type=c('lp','fitted','x'),
                       what=c('all','sample'), ...)

Arguments

x

A single predictor or a matrix of predictors. Categorical predictors are required to be coded as integers (as factor does internally). For predict, x is a data matrix with the same integer codes that were originally used for categorical variables.

y

a factor, categorical, character, or numeric response variable

xtype

a vector of one-letter character codes specifying how each predictor is to be modeled, in order of columns of x. The codes are "s" for smooth function (using restricted cubic splines), "l" for no transformation (linear), or "c" for categorical (to cause expansion into dummy variables). Default is "s" if nk > 0 and "l" if nk=0.

ytype

same coding as for xtype. Default is "s" for a numeric variable with more than two unique values, "l" for a binary numeric variable, and "c" for a factor, categorical, or character variable.

nk

number of knots, 0 for linear, or 3 or more. Default is 4 which will fit 3 parameters to continuous variables (one linear term and two nonlinear terms)

B

number of bootstrap resamples used to estimate covariance matrices of transformation parameters. Default is no bootstrapping.

na.rm

set to FALSE if you are sure that observations with NAs have already been removed

tolerance

singularity tolerance. List source code for lm.fit.qr.bare for details.

crossval

set to a positive integer k to compute k-fold cross-validated R-squared (square of first canonical correlation) and mean and median absolute error of predictions on the original scale

digits

number of digits to use in formatting for printing

object

an object created by areg

whichx

integer or character vector specifying which predictors are to have their transformations plotted (default is all). The y transformation is always plotted.

type

tells predict whether to obtain predicted untransformed y (type='lp', the default) or predicted y on the original scale (type='fitted'), or the design matrix for the right-hand side (type='x').

what

When the y-transform is non-monotonic you may specify what='sample' to predict to obtain a random sample of y values on the original scale instead of a matrix of all y-inverses. See inverseFunction.

...

arguments passed to the plot function.

Details

areg is a competitor of ace in the acepack package. Transformations from ace are seldom smooth enough and are often overfitted. With areg the complexity can be controlled with the nk parameter, and predicted values are easy to obtain because parametric functions are fitted.

If one side of the equation has a categorical variable with more than two categories and the other side has a continuous variable not assumed to act linearly, larger sample sizes are needed to reliably estimate transformations, as it is difficult to optimally score categorical variables to maximize \(R^2\) against a simultaneously optimally transformed continuous variable.

Value

a list of class "areg" containing many objects

References

Breiman and Friedman, Journal of the American Statistical Association (September, 1985).

Author

Frank Harrell
Department of Biostatistics
Vanderbilt University
fh@fharrell.com

See also

Examples

set.seed(1)

ns <- c(30,300,3000)
for(n in ns) {
  y <- sample(1:5, n, TRUE)
  x <- abs(y-3) + runif(n)
  par(mfrow=c(3,4))
  for(k in c(0,3:5)) {
    z <- areg(x, y, ytype='c', nk=k)
    plot(x, z$tx)
  title(paste('R2=',format(z$rsquared)))
    tapply(z$ty, y, range)
    a <- tapply(x,y,mean)
    b <- tapply(z$ty,y,mean)
    plot(a,b)
  abline(lsfit(a,b))
    # Should get same result to within linear transformation if reverse x and y
    w <- areg(y, x, xtype='c', nk=k)
    plot(z$ty, w$tx)
    title(paste('R2=',format(w$rsquared)))
    abline(lsfit(z$ty, w$tx))
 }
}




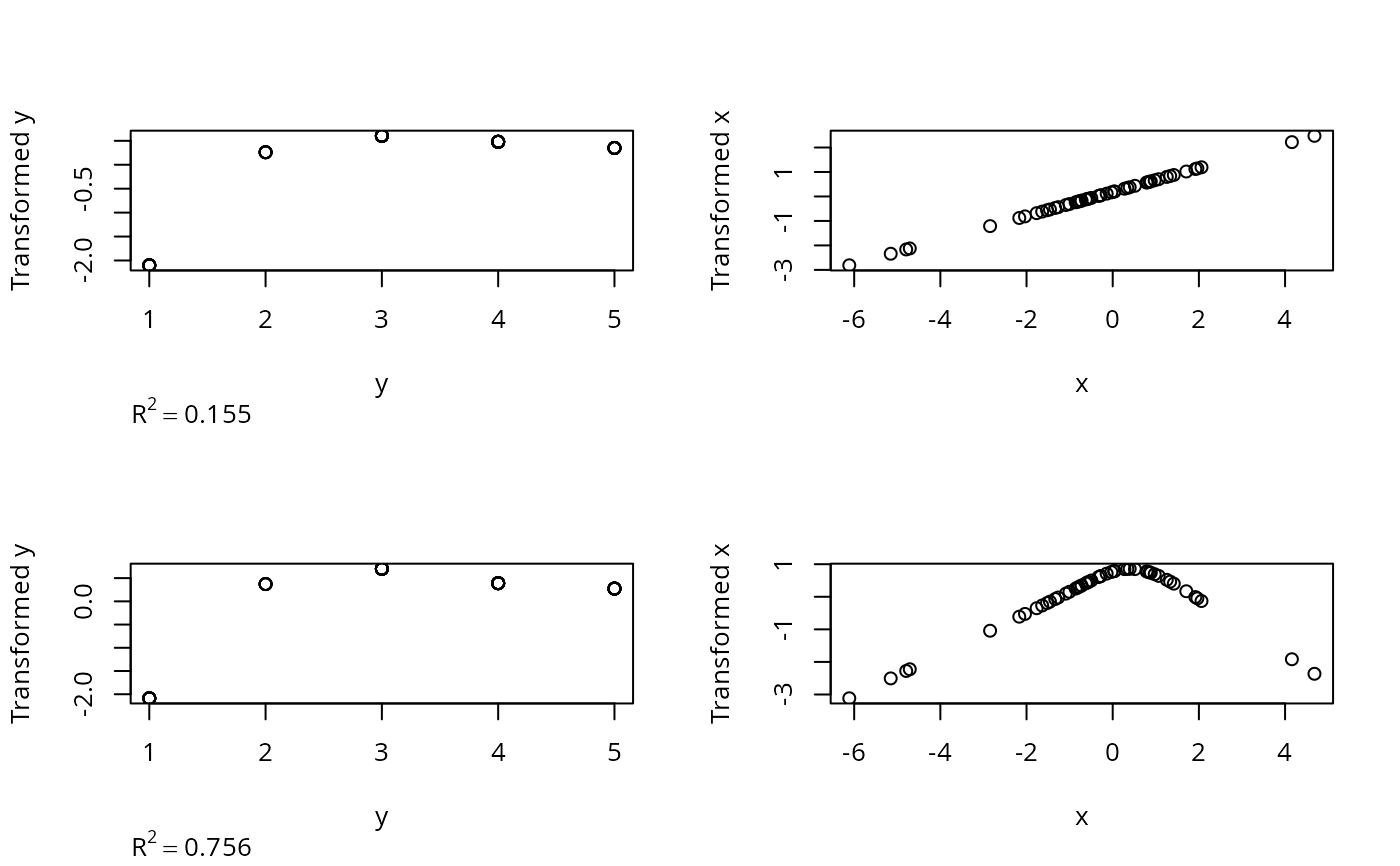
par(mfrow=c(2,2))
# Example where one category in y differs from others but only in variance of x
n <- 50
y <- sample(1:5,n,TRUE)
x <- rnorm(n)
x[y==1] <- rnorm(sum(y==1), 0, 5)
z <- areg(x,y,xtype='l',ytype='c')
z
#> 
#> N: 50 	 0  observations with NAs deleted.
#> R^2: 0.155	nk: 4	Mean and Median |error|: 2.2, 2
#> 
#> 
#>   type d.f.
#> x    l    1
#> 
#> y type: c 	d.f.: 4 
#> 
plot(z)
z <- areg(x,y,ytype='c')
z
#> 
#> N: 50 	 0  observations with NAs deleted.
#> R^2: 0.756	nk: 4	Mean and Median |error|: 2.2, 2
#> 
#> 
#>   type d.f.
#> x    s    3
#> 
#> y type: c 	d.f.: 4 
#> 
plot(z)


if (FALSE) { # \dontrun{    
# Examine overfitting when true transformations are linear
par(mfrow=c(4,3))
for(n in c(200,2000)) {
  x <- rnorm(n); y <- rnorm(n) + x
    for(nk in c(0,3,5)) {
    z <- areg(x, y, nk=nk, crossval=10, B=100)
    print(z)
    plot(z)
    title(paste('n=',n))
  }
}
par(mfrow=c(1,1))

# Underfitting when true transformation is quadratic but overfitting
# when y is allowed to be transformed
set.seed(49)
n <- 200
x <- rnorm(n); y <- rnorm(n) + .5*x^2
#areg(x, y, nk=0, crossval=10, B=100)
#areg(x, y, nk=4, ytype='l', crossval=10, B=100)
z <- areg(x, y, nk=4) #, crossval=10, B=100)
z
# Plot x vs. predicted value on original scale.  Since y-transform is
# not monotonic, there are multiple y-inverses
xx <- seq(-3.5,3.5,length=1000)
yhat <- predict(z, xx, type='fitted')
plot(x, y, xlim=c(-3.5,3.5))
for(j in 1:ncol(yhat)) lines(xx, yhat[,j], col=j)
# Plot a random sample of possible y inverses
yhats <- predict(z, xx, type='fitted', what='sample')
points(xx, yhats, pch=2)
} # }

# True transformation of x1 is quadratic, y is linear
n <- 200
x1 <- rnorm(n); x2 <- rnorm(n); y <- rnorm(n) + x1^2
z <- areg(cbind(x1,x2),y,xtype=c('s','l'),nk=3)
par(mfrow=c(2,2))
plot(z)

# y transformation is inverse quadratic but areg gets the same answer by
# making x1 quadratic
n <- 5000
x1 <- rnorm(n); x2 <- rnorm(n); y <- (x1 + rnorm(n))^2
z <- areg(cbind(x1,x2),y,nk=5)
par(mfrow=c(2,2))

plot(z)

# Overfit 20 predictors when no true relationships exist
n <- 1000
x <- matrix(runif(n*20),n,20)
y <- rnorm(n)
z <- areg(x, y, nk=5)  # add crossval=4 to expose the problem

# Test predict function
n <- 50
x <- rnorm(n)
y <- rnorm(n) + x
g <- sample(1:3, n, TRUE)
z <- areg(cbind(x,g),y,xtype=c('s','c'))
range(predict(z, cbind(x,g)) - z$linear.predictors)
#> [1] 0 0