Uses method of Fleiss, Tytun, and Ury (but without the continuity correction) to estimate the power (or the sample size to achieve a given power) of a two-sided test for the difference in two proportions. The two sample sizes are allowed to be unequal, but for bsamsize you must specify the fraction of observations in group 1. For power calculations, one probability (p1) must be given, and either the other probability (p2), an odds.ratio, or a percent.reduction must be given. For bpower or bsamsize, any or all of the arguments may be vectors, in which case they return a vector of powers or sample sizes. All vector arguments must have the same length.

Given p1, p2, ballocation uses the method of Brittain and Schlesselman to compute the optimal fraction of observations to be placed in group 1 that either (1) minimize the variance of the difference in two proportions, (2) minimize the variance of the ratio of the two proportions, (3) minimize the variance of the log odds ratio, or (4) maximize the power of the 2-tailed test for differences. For (4) the total sample size must be given, or the fraction optimizing the power is not returned. The fraction for (3) is one minus the fraction for (1).

bpower.sim estimates power by simulations, in minimal time. By using bpower.sim you can see that the formulas without any continuity correction are quite accurate, and that the power of a continuity-corrected test is significantly lower. That's why no continuity corrections are implemented here.

bpower(p1, p2, odds.ratio, percent.reduction, 
       n, n1, n2, alpha=0.05)


bsamsize(p1, p2, fraction=.5, alpha=.05, power=.8)


ballocation(p1, p2, n, alpha=.05)


bpower.sim(p1, p2, odds.ratio, percent.reduction, 
           n, n1, n2, 
           alpha=0.05, nsim=10000)

Arguments

p1

population probability in the group 1

p2

probability for group 2

odds.ratio

odds ratio to detect

percent.reduction

percent reduction in risk to detect

n

total sample size over the two groups. If you omit this for ballocation, the fraction which optimizes power will not be returned.

n1

sample size in group 1

n2

sample size in group 2. bpower, if n is given, n1 and n2 are set to n/2.

alpha

type I assertion probability

fraction

fraction of observations in group 1

power

the desired probability of detecting a difference

nsim

number of simulations of binomial responses

Value

for bpower, the power estimate; for bsamsize, a vector containing the sample sizes in the two groups; for ballocation, a vector with 4 fractions of observations allocated to group 1, optimizing the four criteria mentioned above. For bpower.sim, a vector with three elements is returned, corresponding to the simulated power and its lower and upper 0.95 confidence limits.

Details

For bpower.sim, all arguments must be of length one.

AUTHOR

Frank Harrell

Department of Biostatistics

Vanderbilt University

fh@fharrell.com

References

Fleiss JL, Tytun A, Ury HK (1980): A simple approximation for calculating sample sizes for comparing independent proportions. Biometrics 36:343–6.

Brittain E, Schlesselman JJ (1982): Optimal allocation for the comparison of proportions. Biometrics 38:1003–9.

Gordon I, Watson R (1996): The myth of continuity-corrected sample size formulae. Biometrics 52:71–6.

Examples

bpower(.1, odds.ratio=.9, n=1000, alpha=c(.01,.05))
#>     Power1     Power2 
#> 0.01953539 0.07780432 
bpower.sim(.1, odds.ratio=.9, n=1000)
#>     Power     Lower     Upper 
#> 0.0746000 0.0694502 0.0797498 
bsamsize(.1, .05, power=.95)
#>       n1       n2 
#> 718.2381 718.2381 
ballocation(.1, .5, n=100)
#>    fraction.group1.min.var.diff   fraction.group1.min.var.ratio 
#>                       0.3750000                       0.7500000 
#> fraction.group1.min.var.logodds       fraction.group1.max.power 
#>                       0.6250000                       0.4745255 


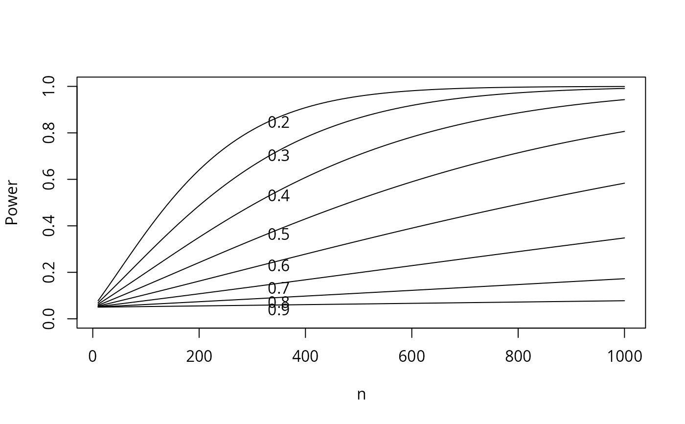
# Plot power vs. n for various odds ratios  (base prob.=.1)
n  <- seq(10, 1000, by=10)
OR <- seq(.2,.9,by=.1)
plot(0, 0, xlim=range(n), ylim=c(0,1), xlab="n", ylab="Power", type="n")
for(or in OR) {
  lines(n, bpower(.1, odds.ratio=or, n=n))
  text(350, bpower(.1, odds.ratio=or, n=350)-.02, format(or))
}



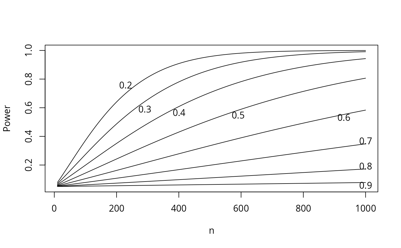
# Another way to plot the same curves, but letting labcurve do the
# work, including labeling each curve at points of maximum separation
pow <- lapply(OR, function(or,n)list(x=n,y=bpower(p1=.1,odds.ratio=or,n=n)),
              n=n)
names(pow) <- format(OR)
labcurve(pow, pl=TRUE, xlab='n', ylab='Power')



# Contour graph for various probabilities of outcome in the control
# group, fixing the odds ratio at .8 ([p2/(1-p2) / p1/(1-p1)] = .8)
# n is varied also
p1 <- seq(.01,.99,by=.01)
n  <- seq(100,5000,by=250)
pow <- outer(p1, n, function(p1,n) bpower(p1, n=n, odds.ratio=.8))
# This forms a length(p1)*length(n) matrix of power estimates
contour(p1, n, pow)