Augment accepts a model object and a dataset and adds information about each observation in the dataset. Most commonly, this includes predicted values in the .fitted column, residuals in the .resid column, and standard errors for the fitted values in a .se.fit column. New columns always begin with a . prefix to avoid overwriting columns in the original dataset.

Users may pass data to augment via either the data argument or the newdata argument. If the user passes data to the data argument, it must be exactly the data that was used to fit the model object. Pass datasets to newdata to augment data that was not used during model fitting. This still requires that at least all predictor variable columns used to fit the model are present. If the original outcome variable used to fit the model is not included in newdata, then no .resid column will be included in the output.

Augment will often behave differently depending on whether data or newdata is given. This is because there is often information associated with training observations (such as influences or related) measures that is not meaningfully defined for new observations.

For convenience, many augment methods provide default data arguments, so that augment(fit) will return the augmented training data. In these cases, augment tries to reconstruct the original data based on the model object with varying degrees of success.

The augmented dataset is always returned as a tibble::tibble with the same number of rows as the passed dataset. This means that the passed data must be coercible to a tibble. If a predictor enters the model as part of a matrix of covariates, such as when the model formula uses splines::ns(), stats::poly(), or survival::Surv(), it is represented as a matrix column.

We are in the process of defining behaviors for models fit with various na.action arguments, but make no guarantees about behavior when data is missing at this time.

# S3 method for class 'lm'
augment(
  x,
  data = model.frame(x),
  newdata = NULL,
  se_fit = FALSE,
  interval = c("none", "confidence", "prediction"),
  conf.level = 0.95,
  ...
)

Arguments

x

An lm object created by stats::lm().

data

A base::data.frame or tibble::tibble() containing the original data that was used to produce the object x. Defaults to stats::model.frame(x) so that augment(my_fit) returns the augmented original data. Do not pass new data to the data argument. Augment will report information such as influence and cooks distance for data passed to the data argument. These measures are only defined for the original training data.

newdata

A base::data.frame() or tibble::tibble() containing all the original predictors used to create x. Defaults to NULL, indicating that nothing has been passed to newdata. If newdata is specified, the data argument will be ignored.

se_fit

Logical indicating whether or not a .se.fit column should be added to the augmented output. For some models, this calculation can be somewhat time-consuming. Defaults to FALSE.

interval

Character indicating the type of confidence interval columns to be added to the augmented output. Passed on to predict() and defaults to "none".

conf.level

The confidence level to use for the interval created if interval is "confidence" or "prediction". Must be strictly greater than 0 and less than 1. Defaults to 0.95, which corresponds to a 95 percent confidence/prediction interval.

...

Additional arguments. Not used. Needed to match generic signature only. Cautionary note: Misspelled arguments will be absorbed in ..., where they will be ignored. If the misspelled argument has a default value, the default value will be used. For example, if you pass conf.lvel = 0.9, all computation will proceed using conf.level = 0.95. Two exceptions here are:

  • tidy() methods will warn when supplied an exponentiate argument if it will be ignored.

  • augment() methods will warn when supplied a newdata argument if it will be ignored.

Details

When the modeling was performed with na.action = "na.omit" (as is the typical default), rows with NA in the initial data are omitted entirely from the augmented data frame. When the modeling was performed with na.action = "na.exclude", one should provide the original data as a second argument, at which point the augmented data will contain those rows (typically with NAs in place of the new columns). If the original data is not provided to augment() and na.action = "na.exclude", a warning is raised and the incomplete rows are dropped.

Some unusual lm objects, such as rlm from MASS, may omit .cooksd and .std.resid. gam from mgcv omits .sigma.

When newdata is supplied, only returns .fitted, .resid and .se.fit columns.

Value

A tibble::tibble() with columns:

.cooksd

Cooks distance.

.fitted

Fitted or predicted value.

.hat

Diagonal of the hat matrix.

.lower

Lower bound on interval for fitted values.

.resid

The difference between observed and fitted values.

.se.fit

Standard errors of fitted values.

.sigma

Estimated residual standard deviation when corresponding observation is dropped from model.

.std.resid

Standardised residuals.

.upper

Upper bound on interval for fitted values.

Examples


library(ggplot2)
library(dplyr)

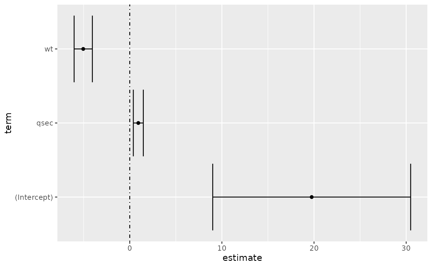
mod <- lm(mpg ~ wt + qsec, data = mtcars)

tidy(mod)
#> # A tibble: 3 × 5
#>   term        estimate std.error statistic  p.value
#>   <chr>          <dbl>     <dbl>     <dbl>    <dbl>
#> 1 (Intercept)   19.7       5.25       3.76 7.65e- 4
#> 2 wt            -5.05      0.484    -10.4  2.52e-11
#> 3 qsec           0.929     0.265      3.51 1.50e- 3
glance(mod)
#> # A tibble: 1 × 12
#>   r.squared adj.r.squared sigma statistic  p.value    df logLik   AIC   BIC
#>       <dbl>         <dbl> <dbl>     <dbl>    <dbl> <dbl>  <dbl> <dbl> <dbl>
#> 1     0.826         0.814  2.60      69.0 9.39e-12     2  -74.4  157.  163.
#> # ℹ 3 more variables: deviance <dbl>, df.residual <int>, nobs <int>

# coefficient plot
d <- tidy(mod, conf.int = TRUE)

ggplot(d, aes(estimate, term, xmin = conf.low, xmax = conf.high, height = 0)) +
  geom_point() +
  geom_vline(xintercept = 0, lty = 4) +
  geom_errorbarh()
#> Warning: `geom_errobarh()` was deprecated in ggplot2 4.0.0.
#>  Please use the `orientation` argument of `geom_errorbar()` instead.


# aside: There are tidy() and glance() methods for lm.summary objects too.
# this can be useful when you want to conserve memory by converting large lm
# objects into their leaner summary.lm equivalents.
s <- summary(mod)
tidy(s, conf.int = TRUE)
#> # A tibble: 3 × 7
#>   term        estimate std.error statistic  p.value conf.low conf.high
#>   <chr>          <dbl>     <dbl>     <dbl>    <dbl>    <dbl>     <dbl>
#> 1 (Intercept)   19.7       5.25       3.76 7.65e- 4    9.00      30.5 
#> 2 wt            -5.05      0.484    -10.4  2.52e-11   -6.04      -4.06
#> 3 qsec           0.929     0.265      3.51 1.50e- 3    0.387      1.47
glance(s)
#> # A tibble: 1 × 8
#>   r.squared adj.r.squared sigma statistic  p.value    df df.residual  nobs
#>       <dbl>         <dbl> <dbl>     <dbl>    <dbl> <dbl>       <int> <dbl>
#> 1     0.826         0.814  2.60      69.0 9.39e-12     2          29    32

augment(mod)
#> # A tibble: 32 × 10
#>    .rownames    mpg    wt  qsec .fitted  .resid   .hat .sigma .cooksd .std.resid
#>    <chr>      <dbl> <dbl> <dbl>   <dbl>   <dbl>  <dbl>  <dbl>   <dbl>      <dbl>
#>  1 Mazda RX4   21    2.62  16.5    21.8 -0.815  0.0693   2.64 2.63e-3    -0.325 
#>  2 Mazda RX4…  21    2.88  17.0    21.0 -0.0482 0.0444   2.64 5.59e-6    -0.0190
#>  3 Datsun 710  22.8  2.32  18.6    25.3 -2.53   0.0607   2.60 2.17e-2    -1.00  
#>  4 Hornet 4 …  21.4  3.22  19.4    21.6 -0.181  0.0576   2.64 1.05e-4    -0.0716
#>  5 Hornet Sp…  18.7  3.44  17.0    18.2  0.504  0.0389   2.64 5.29e-4     0.198 
#>  6 Valiant     18.1  3.46  20.2    21.1 -2.97   0.0957   2.58 5.10e-2    -1.20  
#>  7 Duster 360  14.3  3.57  15.8    16.4 -2.14   0.0729   2.61 1.93e-2    -0.857 
#>  8 Merc 240D   24.4  3.19  20      22.2  2.17   0.0791   2.61 2.18e-2     0.872 
#>  9 Merc 230    22.8  3.15  22.9    25.1 -2.32   0.295    2.59 1.59e-1    -1.07  
#> 10 Merc 280    19.2  3.44  18.3    19.4 -0.185  0.0358   2.64 6.55e-5    -0.0728
#> # ℹ 22 more rows
augment(mod, mtcars, interval = "confidence")
#> # A tibble: 32 × 20
#>    .rownames     mpg   cyl  disp    hp  drat    wt  qsec    vs    am  gear  carb
#>    <chr>       <dbl> <dbl> <dbl> <dbl> <dbl> <dbl> <dbl> <dbl> <dbl> <dbl> <dbl>
#>  1 Mazda RX4    21       6  160    110  3.9   2.62  16.5     0     1     4     4
#>  2 Mazda RX4 …  21       6  160    110  3.9   2.88  17.0     0     1     4     4
#>  3 Datsun 710   22.8     4  108     93  3.85  2.32  18.6     1     1     4     1
#>  4 Hornet 4 D…  21.4     6  258    110  3.08  3.22  19.4     1     0     3     1
#>  5 Hornet Spo…  18.7     8  360    175  3.15  3.44  17.0     0     0     3     2
#>  6 Valiant      18.1     6  225    105  2.76  3.46  20.2     1     0     3     1
#>  7 Duster 360   14.3     8  360    245  3.21  3.57  15.8     0     0     3     4
#>  8 Merc 240D    24.4     4  147.    62  3.69  3.19  20       1     0     4     2
#>  9 Merc 230     22.8     4  141.    95  3.92  3.15  22.9     1     0     4     2
#> 10 Merc 280     19.2     6  168.   123  3.92  3.44  18.3     1     0     4     4
#> # ℹ 22 more rows
#> # ℹ 8 more variables: .fitted <dbl>, .lower <dbl>, .upper <dbl>, .resid <dbl>,
#> #   .hat <dbl>, .sigma <dbl>, .cooksd <dbl>, .std.resid <dbl>

# predict on new data
newdata <- mtcars |>
  head(6) |>
  mutate(wt = wt + 1)
augment(mod, newdata = newdata)
#> # A tibble: 6 × 14
#>   .rownames      mpg   cyl  disp    hp  drat    wt  qsec    vs    am  gear  carb
#>   <chr>        <dbl> <dbl> <dbl> <dbl> <dbl> <dbl> <dbl> <dbl> <dbl> <dbl> <dbl>
#> 1 Mazda RX4     21       6   160   110  3.9   3.62  16.5     0     1     4     4
#> 2 Mazda RX4 W…  21       6   160   110  3.9   3.88  17.0     0     1     4     4
#> 3 Datsun 710    22.8     4   108    93  3.85  3.32  18.6     1     1     4     1
#> 4 Hornet 4 Dr…  21.4     6   258   110  3.08  4.22  19.4     1     0     3     1
#> 5 Hornet Spor…  18.7     8   360   175  3.15  4.44  17.0     0     0     3     2
#> 6 Valiant       18.1     6   225   105  2.76  4.46  20.2     1     0     3     1
#> # ℹ 2 more variables: .fitted <dbl>, .resid <dbl>

# ggplot2 example where we also construct 95% prediction interval

# simpler bivariate model since we're plotting in 2D
mod2 <- lm(mpg ~ wt, data = mtcars)

au <- augment(mod2, newdata = newdata, interval = "prediction")

ggplot(au, aes(wt, mpg)) +
  geom_point() +
  geom_line(aes(y = .fitted)) +
  geom_ribbon(aes(ymin = .lower, ymax = .upper), col = NA, alpha = 0.3)


# predict on new data without outcome variable. Output does not include .resid
newdata <- newdata |>
  select(-mpg)
#> Error in select(newdata, -mpg): unused argument (-mpg)

augment(mod, newdata = newdata)
#> # A tibble: 6 × 14
#>   .rownames      mpg   cyl  disp    hp  drat    wt  qsec    vs    am  gear  carb
#>   <chr>        <dbl> <dbl> <dbl> <dbl> <dbl> <dbl> <dbl> <dbl> <dbl> <dbl> <dbl>
#> 1 Mazda RX4     21       6   160   110  3.9   3.62  16.5     0     1     4     4
#> 2 Mazda RX4 W…  21       6   160   110  3.9   3.88  17.0     0     1     4     4
#> 3 Datsun 710    22.8     4   108    93  3.85  3.32  18.6     1     1     4     1
#> 4 Hornet 4 Dr…  21.4     6   258   110  3.08  4.22  19.4     1     0     3     1
#> 5 Hornet Spor…  18.7     8   360   175  3.15  4.44  17.0     0     0     3     2
#> 6 Valiant       18.1     6   225   105  2.76  4.46  20.2     1     0     3     1
#> # ℹ 2 more variables: .fitted <dbl>, .resid <dbl>

au <- augment(mod, data = mtcars)

ggplot(au, aes(.hat, .std.resid)) +
  geom_vline(size = 2, colour = "white", xintercept = 0) +
  geom_hline(size = 2, colour = "white", yintercept = 0) +
  geom_point() +
  geom_smooth(se = FALSE)
#> Warning: Using `size` aesthetic for lines was deprecated in ggplot2 3.4.0.
#>  Please use `linewidth` instead.
#> `geom_smooth()` using method = 'loess' and formula = 'y ~ x'


plot(mod, which = 6)


ggplot(au, aes(.hat, .cooksd)) +
  geom_vline(xintercept = 0, colour = NA) +
  geom_abline(slope = seq(0, 3, by = 0.5), colour = "white") +
  geom_smooth(se = FALSE) +
  geom_point()
#> `geom_smooth()` using method = 'loess' and formula = 'y ~ x'


# column-wise models
a <- matrix(rnorm(20), nrow = 10)
b <- a + rnorm(length(a))
result <- lm(b ~ a)

tidy(result)
#> # A tibble: 6 × 6
#>   response term        estimate std.error statistic p.value
#>   <chr>    <chr>          <dbl>     <dbl>     <dbl>   <dbl>
#> 1 Y1       (Intercept)   0.133      0.241    0.551  0.599  
#> 2 Y1       a1            0.867      0.244    3.55   0.00936
#> 3 Y1       a2            0.0174     0.345    0.0506 0.961  
#> 4 Y2       (Intercept)  -0.137      0.371   -0.370  0.723  
#> 5 Y2       a1            0.133      0.376    0.353  0.735  
#> 6 Y2       a2            0.921      0.531    1.74   0.126