Tidy summarizes information about the components of a model. A model component might be a single term in a regression, a single hypothesis, a cluster, or a class. Exactly what tidy considers to be a model component varies across models but is usually self-evident. If a model has several distinct types of components, you will need to specify which components to return.

# S3 method for class 'cld'
tidy(x, ...)

Arguments

x

A cld object created by calling multcomp::cld() on a glht, confint.glht() or summary.glht() object.

...

Additional arguments. Not used. Needed to match generic signature only. Cautionary note: Misspelled arguments will be absorbed in ..., where they will be ignored. If the misspelled argument has a default value, the default value will be used. For example, if you pass conf.lvel = 0.9, all computation will proceed using conf.level = 0.95. Two exceptions here are:

  • tidy() methods will warn when supplied an exponentiate argument if it will be ignored.

  • augment() methods will warn when supplied a newdata argument if it will be ignored.

Value

A tibble::tibble() with columns:

contrast

Levels being compared.

letters

Compact letter display denoting all pair-wise comparisons.

Examples


# load libraries for models and data
library(multcomp)
#> Loading required package: mvtnorm
#> 
#> Attaching package: ‘mvtnorm’
#> The following object is masked from ‘package:mclust’:
#> 
#>     dmvnorm
#> Loading required package: TH.data
#> 
#> Attaching package: ‘TH.data’
#> The following object is masked from ‘package:MASS’:
#> 
#>     geyser
library(ggplot2)

amod <- aov(breaks ~ wool + tension, data = warpbreaks)
wht <- glht(amod, linfct = mcp(tension = "Tukey"))

tidy(wht)
#> # A tibble: 3 × 7
#>   term    contrast null.value estimate std.error statistic adj.p.value
#>   <chr>   <chr>         <dbl>    <dbl>     <dbl>     <dbl>       <dbl>
#> 1 tension M - L             0   -10.0       3.87     -2.58     0.0336 
#> 2 tension H - L             0   -14.7       3.87     -3.80     0.00110
#> 3 tension H - M             0    -4.72      3.87     -1.22     0.447  

ggplot(wht, aes(lhs, estimate)) +
  geom_point()
#> Warning: `fortify(<glht>)` was deprecated in ggplot2 3.6.0.
#>  Please use `broom::tidy(<glht>)` instead.
#>  The deprecated feature was likely used in the ggplot2 package.
#>   Please report the issue at <https://github.com/tidyverse/ggplot2/issues>.


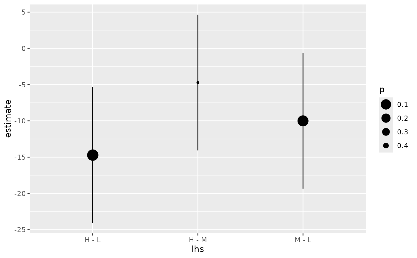
CI <- confint(wht)

tidy(CI)
#> # A tibble: 3 × 5
#>   term    contrast estimate conf.low conf.high
#>   <chr>   <chr>       <dbl>    <dbl>     <dbl>
#> 1 tension M - L      -10.0     -19.4    -0.645
#> 2 tension H - L      -14.7     -24.1    -5.37 
#> 3 tension H - M       -4.72    -14.1     4.63 

ggplot(CI, aes(lhs, estimate, ymin = lwr, ymax = upr)) +
  geom_pointrange()
#> Warning: `fortify(<confint.glht>)` was deprecated in ggplot2 3.6.0.
#>  Please use `broom::tidy(<confint.glht>)` instead.
#>  The deprecated feature was likely used in the ggplot2 package.
#>   Please report the issue at <https://github.com/tidyverse/ggplot2/issues>.


tidy(summary(wht))
#> # A tibble: 3 × 7
#>   term    contrast null.value estimate std.error statistic adj.p.value
#>   <chr>   <chr>         <dbl>    <dbl>     <dbl>     <dbl>       <dbl>
#> 1 tension M - L             0   -10.0       3.87     -2.58     0.0336 
#> 2 tension H - L             0   -14.7       3.87     -3.80     0.00111
#> 3 tension H - M             0    -4.72      3.87     -1.22     0.447  
ggplot(mapping = aes(lhs, estimate)) +
  geom_linerange(aes(ymin = lwr, ymax = upr), data = CI) +
  geom_point(aes(size = p), data = summary(wht)) +
  scale_size(trans = "reverse")
#> Warning: `fortify(<summary.glht>)` was deprecated in ggplot2 3.6.0.
#>  Please use `broom::tidy(<summary.glht>)` instead.
#>  The deprecated feature was likely used in the ggplot2 package.
#>   Please report the issue at <https://github.com/tidyverse/ggplot2/issues>.


cld <- cld(wht)
tidy(cld)
#> # A tibble: 3 × 2
#>   tension letters
#>   <chr>   <chr>  
#> 1 L       a      
#> 2 M       b      
#> 3 H       b