Tidy summarizes information about the components of a model. A model component might be a single term in a regression, a single hypothesis, a cluster, or a class. Exactly what tidy considers to be a model component varies across models but is usually self-evident. If a model has several distinct types of components, you will need to specify which components to return.

# S3 method for class 'survreg'
tidy(x, conf.level = 0.95, conf.int = FALSE, ...)

Arguments

x

An survreg object returned from survival::survreg().

conf.level

The confidence level to use for the confidence interval if conf.int = TRUE. Must be strictly greater than 0 and less than 1. Defaults to 0.95, which corresponds to a 95 percent confidence interval.

conf.int

Logical indicating whether or not to include a confidence interval in the tidied output. Defaults to FALSE.

...

Additional arguments. Not used. Needed to match generic signature only. Cautionary note: Misspelled arguments will be absorbed in ..., where they will be ignored. If the misspelled argument has a default value, the default value will be used. For example, if you pass conf.lvel = 0.9, all computation will proceed using conf.level = 0.95. Two exceptions here are:

  • tidy() methods will warn when supplied an exponentiate argument if it will be ignored.

  • augment() methods will warn when supplied a newdata argument if it will be ignored.

Value

A tibble::tibble() with columns:

conf.high

Upper bound on the confidence interval for the estimate.

conf.low

Lower bound on the confidence interval for the estimate.

estimate

The estimated value of the regression term.

p.value

The two-sided p-value associated with the observed statistic.

statistic

The value of a T-statistic to use in a hypothesis that the regression term is non-zero.

std.error

The standard error of the regression term.

term

The name of the regression term.

Examples


# load libraries for models and data
library(survival)

# fit model
sr <- survreg(
  Surv(futime, fustat) ~ ecog.ps + rx,
  ovarian,
  dist = "exponential"
)

# summarize model fit with tidiers + visualization
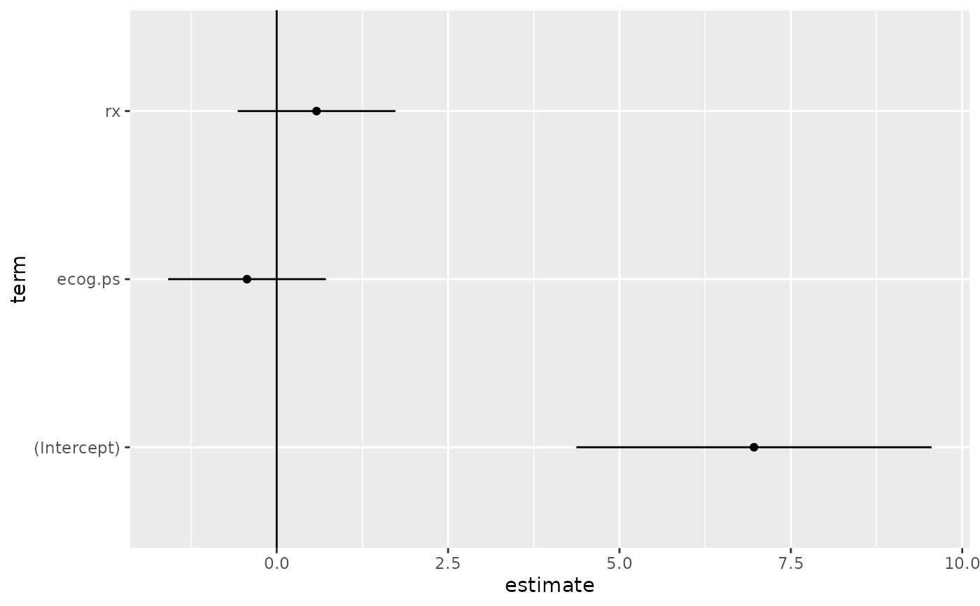
tidy(sr)
#> # A tibble: 3 × 5
#>   term        estimate std.error statistic     p.value
#>   <chr>          <dbl>     <dbl>     <dbl>       <dbl>
#> 1 (Intercept)    6.96      1.32      5.27  0.000000139
#> 2 ecog.ps       -0.433     0.587    -0.738 0.461      
#> 3 rx             0.582     0.587     0.991 0.322      
augment(sr, ovarian)
#> # A tibble: 26 × 9
#>    futime fustat   age resid.ds    rx ecog.ps .fitted .se.fit .resid
#>     <dbl>  <dbl> <dbl>    <dbl> <dbl>   <dbl>   <dbl>   <dbl>  <dbl>
#>  1     59      1  72.3        2     1       1   1224.    639. -1165.
#>  2    115      1  74.5        2     1       1   1224.    639. -1109.
#>  3    156      1  66.5        2     1       2    794.    350.  -638.
#>  4    421      0  53.4        2     2       1   2190.   1202. -1769.
#>  5    431      1  50.3        2     1       1   1224.    639.  -793.
#>  6    448      0  56.4        1     1       2    794.    350.  -346.
#>  7    464      1  56.9        2     2       2   1420.    741.  -956.
#>  8    475      1  59.9        2     2       2   1420.    741.  -945.
#>  9    477      0  64.2        2     1       1   1224.    639.  -747.
#> 10    563      1  55.2        1     2       2   1420.    741.  -857.
#> # ℹ 16 more rows
glance(sr)
#> # A tibble: 1 × 9
#>    iter    df statistic logLik   AIC   BIC df.residual  nobs p.value
#>   <int> <int>     <dbl>  <dbl> <dbl> <dbl>       <int> <int>   <dbl>
#> 1     4     3      1.67  -97.2  200.  204.          23    26   0.434

# coefficient plot
td <- tidy(sr, conf.int = TRUE)

library(ggplot2)

ggplot(td, aes(estimate, term)) +
  geom_point() +
  geom_errorbarh(aes(xmin = conf.low, xmax = conf.high), height = 0) +
  geom_vline(xintercept = 0)