Fits the specified generalized additive mixed model (GAMM) to data, by making use of the modular fitting functions provided by lme4 (new version). For earlier lme4 versions modelling fitting is via a call to lmer in the normal errors identity link case, or by a call to glmer otherwise (see lmer). Smoothness selection is by REML in the Gaussian additive case and (Laplace approximate) ML otherwise.

gamm4 is based on gamm from package mgcv, but uses lme4 rather than nlme as the underlying fitting engine via a trick due to Fabian Scheipl. gamm4 is more robust numerically than gamm, and by avoiding PQL gives better performance for binary and low mean count data. Its main disadvantage is that it can not handle most multi-penalty smooths (i.e. not te type tensor products or adaptive smooths) and there is no facilty for nlme style correlation structures. Tensor product smoothing is available via t2 terms (Wood, Scheipl and Faraway, 2013).

For fitting generalized additive models without random effects, gamm4 is much slower than gam and has slightly worse MSE performance than gam with REML smoothness selection. For fitting GAMMs with modest numbers of i.i.d. random coefficients then gamm4 is slower than gam (or bam for large data sets). gamm4 is most useful when the random effects are not i.i.d., or when there are large numbers of random coeffecients (more than several hundred), each applying to only a small proportion of the response data.

To use this function effectively it helps to be quite familiar with the use of gam and lmer.

gamm4(formula,random=NULL,family=gaussian(),data=list(),weights=NULL,
      subset=NULL,na.action,knots=NULL,drop.unused.levels=TRUE,
      REML=TRUE,control=NULL,start=NULL,verbose=0L,...)

Arguments

formula

A GAM formula (see also formula.gam and gam.models). This is like the formula for a glm except that smooth terms (s and t2 but not te) can be added to the right hand side of the formula. Note that ids for smooths and fixed smoothing parameters are not supported.

random

An optional formula specifying the random effects structure in lmer style. See example below.

family

A family as used in a call to glm or gam.

data

A data frame or list containing the model response variable and covariates required by the formula. By default the variables are taken from environment(formula), typically the environment from which gamm4 is called.

weights

a vector of prior weights on the observations. NULL is equivalent to a vector of 1s. Used, in particular, to supply the number-of-trials for binomial data, when the response is proportion of successes.

subset

an optional vector specifying a subset of observations to be used in the fitting process.

na.action

a function which indicates what should happen when the data contain `NA's. The default is set by the `na.action' setting of `options', and is `na.fail' if that is unset. The “factory-fresh” default is `na.omit'.

knots

this is an optional list containing user specified knot values to be used for basis construction. Different terms can use different numbers of knots, unless they share a covariate.

drop.unused.levels

by default unused levels are dropped from factors before fitting. For some smooths involving factor variables you might want to turn this off. Only do so if you know what you are doing.

REML

passed on to lmer fitting routines (but not glmer fitting routines) to control whether REML or ML is used.

control

lmerControl or glmerControl list as appropriate (NULL means defaults are used).

start

starting value list as used by lmer or glmer.

verbose

passed on to fitting lme4 fitting routines.

...

further arguments for passing on to model setup routines.

Details

A generalized additive mixed model is a generalized linear mixed model in which the linear predictor depends linearly on unknown smooth functions of some of the covariates (`smooths' for short). gamm4 follows the approach taken by package mgcv and represents the smooths using penalized regression spline type smoothers, of moderate rank. For estimation purposes the penalized component of each smooth is treated as a random effect term, while the unpenalized component is treated as fixed. The wiggliness penalty matrix for the smooth is in effect the precision matrix when the smooth is treated as a random effect. Estimating the degree of smoothness of the term amounts to estimating the variance parameter for the term.

gamm4 uses the same reparameterization trick employed by gamm to allow any single quadratic penalty smoother to be used (see Wood, 2004, or 2006 for details). Given the reparameterization then the modular fitting approach employed in lmer can be used to fit a GAMM. Estimation is by Maximum Likelihood in the generalized case, and REML in the gaussian additive model case. gamm4 allows the random effects specifiable with lmer to be combined with any number of any of the (single penalty) smooth terms available in gam from package mgcv as well as t2 tensor product smooths. Note that the model comparison on the basis of the (Laplace approximate) log likelihood is possible with GAMMs fitted by gamm4.

As in gamm the smooth estimates are assumed to be of interest, and a covariance matrix is returned which enables Bayesian credible intervals for the smooths to be constructed, which treat all the terms in random as random.

For details on how to condition smooths on factors, set up varying coefficient models, do signal regression or set up terms involving linear functionals of smooths, see gam.models, but note that te type tensor product and adaptive smooths are not available with gamm4.

Value

Returns a list with two items:

gam

an object of class gam. At present this contains enough information to use predict, plot, summary and print methods and vis.gam, from package mgcv but not to use e.g. the anova method function to compare models.

mer

the fitted model object returned by lmer or glmer. Extra random and fixed effect terms will appear relating to the estimation of the smooth terms. Note that unlike lme objects returned by gamm, everything in this object always relates to the fitted model itself, and never to a PQL working approximation: hence the usual methods of model comparison are entirely legitimate.

References

Bates D., M. Maechler, B. Bolker & S. Walker (2013). lme4: Linear mixed-effects models using Eigen and S4. https://cran.r-project.org/package=lme4

Wood S.N., Scheipl, F. and Faraway, J.J. (2013/2011 online) Straightforward intermediate rank tensor product smoothing in mixed models. Statistics and Computing 23(3): 341-360

Wood, S.N. (2004) Stable and efficient multiple smoothing parameter estimation for generalized additive models. Journal of the American Statistical Association. 99:673-686

Wood S.N. (2006) Generalized Additive Models: An Introduction with R. Chapman and Hall/CRC Press.

For more GAMM references see gamm

https://www.maths.ed.ac.uk/~swood34/

Author

Simon N. Wood simon.wood@r-project.org

WARNINGS

If you don't need random effects in addition to the smooths, then gam is substantially faster, gives fewer convergence warnings, and slightly better MSE performance (based on simulations).

Models must contain at least one random effect: either a smooth with non-zero smoothing parameter, or a random effect specified in argument random.

Note that the gam object part of the returned object is not complete in the sense of having all the elements defined in gamObject and does not inherit from glm: hence e.g. multi-model anova calls will not work.

Linked smoothing parameters, adaptive smoothing and te terms are not supported.

This routine is obviously less well tested than gamm.

Examples

## NOTE: most examples are flagged as 'do not run' simply to
## save time in package checking on CRAN.

###################################
## A simple additive mixed model...
###################################
library(gamm4)

set.seed(0) 
dat <- gamSim(1,n=400,scale=2) ## simulate 4 term additive truth
#> Gu & Wahba 4 term additive model
## Now add 20 level random effect `fac'...
dat$fac <- fac <- as.factor(sample(1:20,400,replace=TRUE))
dat$y <- dat$y + model.matrix(~fac-1)%*%rnorm(20)*.5

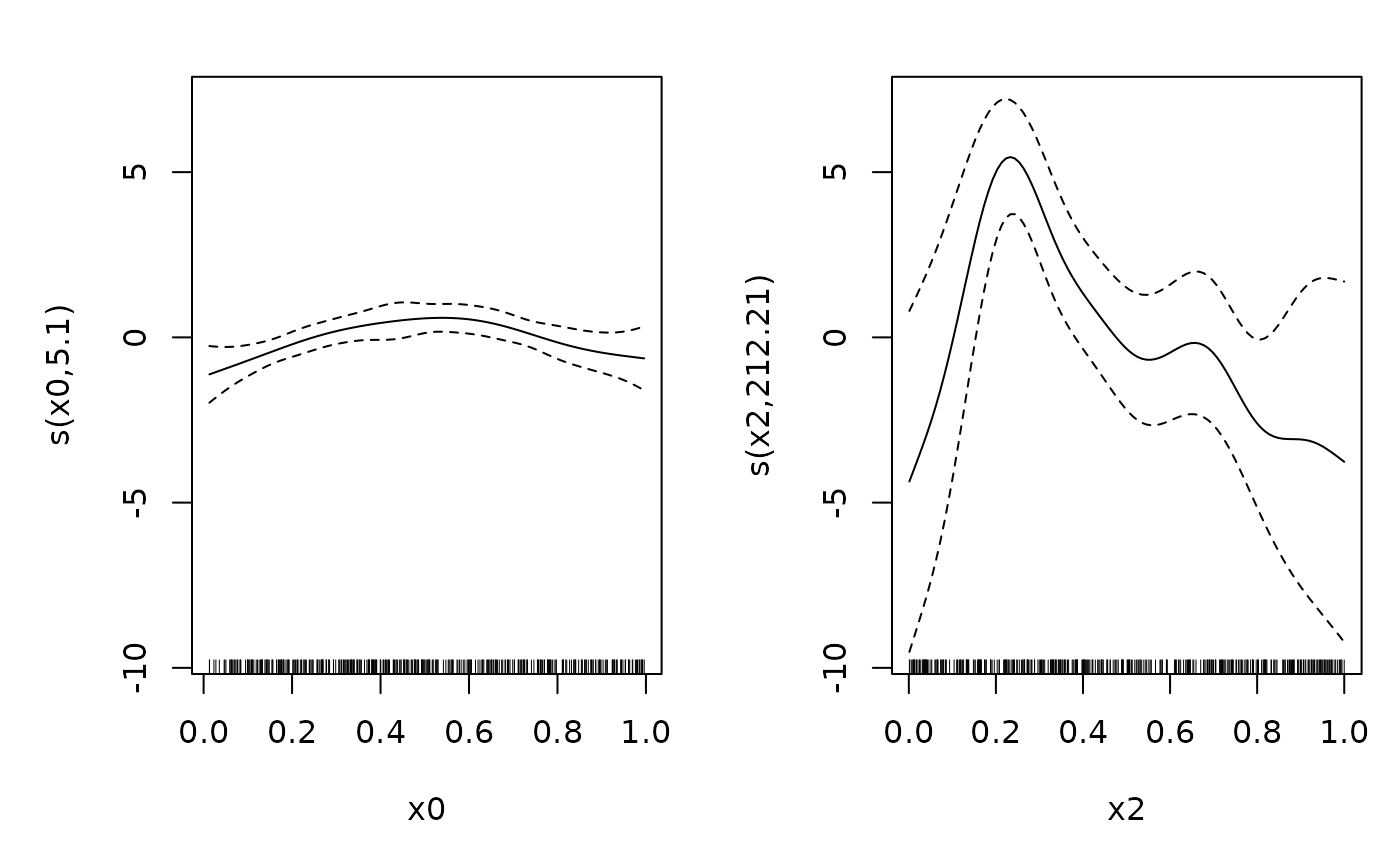
br <- gamm4(y~s(x0)+x1+s(x2),data=dat,random=~(1|fac))
plot(br$gam,pages=1)


summary(br$gam) ## summary of gam
#> 
#> Family: gaussian 
#> Link function: identity 
#> 
#> Formula:
#> y ~ s(x0) + x1 + s(x2)
#> <environment: 0x556b000d18c8>
#> 
#> Parametric coefficients:
#>             Estimate Std. Error t value Pr(>|t|)    
#> (Intercept)   4.5619     0.7150    6.38 1.58e-09 ***
#> x1            6.3558     0.4164   15.26  < 2e-16 ***
#> ---
#> Signif. codes:  0 ‘***’ 0.001 ‘**’ 0.01 ‘*’ 0.05 ‘.’ 0.1 ‘ ’ 1
#> 
#> Approximate significance of smooth terms:
#>           edf Ref.df      F p-value    
#> s(x0)   5.097  5.097   2.59  0.0289 *  
#> s(x2) 212.213  9.000 496.96  <2e-16 ***
#> ---
#> Signif. codes:  0 ‘***’ 0.001 ‘**’ 0.01 ‘*’ 0.05 ‘.’ 0.1 ‘ ’ 1
#> 
#> R-sq.(adj) =  0.317   
#> lmer.REML = 1795.8  Scale est. = 4.477     n = 400
summary(br$mer) ## underlying mixed model
#> Linear mixed model fit by REML ['lmerMod']
#> 
#> REML criterion at convergence: 1795.8
#> 
#> Scaled residuals: 
#>      Min       1Q   Median       3Q      Max 
#> -2.68724 -0.67388  0.00775  0.69047  2.57887 
#> 
#> Random effects:
#>  Groups   Name        Variance Std.Dev.
#>  fac      (Intercept)   0.5906  0.7685 
#>  Xr.0     s(x2)       697.4980 26.4102 
#>  Xr       s(x0)         4.2352  2.0580 
#>  Residual               4.4770  2.1159 
#> Number of obs: 400, groups:  fac, 20; Xr.0, 8; Xr, 8
#> 
#> Fixed effects:
#>              Estimate Std. Error t value
#> X(Intercept)   4.5619     0.2812  16.224
#> Xx1            6.3558     0.3798  16.733
#> Xs(x0)Fx1      0.4348     0.6421   0.677
#> Xs(x2)Fx1      3.6767     2.2349   1.645
#> 
#> Correlation of Fixed Effects:
#>           X(Int) Xx1    X(0)F1
#> Xx1       -0.694              
#> Xs(x0)Fx1  0.031 -0.045       
#> Xs(x2)Fx1  0.064 -0.088 -0.015
anova(br$gam) 
#> 
#> Family: gaussian 
#> Link function: identity 
#> 
#> Formula:
#> y ~ s(x0) + x1 + s(x2)
#> <environment: 0x556b000d18c8>
#> 
#> Parametric Terms:
#>    df   F p-value
#> x1  1 233  <2e-16
#> 
#> Approximate significance of smooth terms:
#>           edf  Ref.df      F p-value
#> s(x0)   5.097   5.097   2.59  0.0289
#> s(x2) 212.213   9.000 496.96  <2e-16

## compare gam fit of the same
bg <- gam(y~s(x0)+x1+s(x2)+s(fac,bs="re"),
          data=dat,method="REML")
#> Warning: Fitting terminated with step failure - check results carefully
plot(bg,pages=1)

gam.vcomp(bg)
#> 
#> Standard deviations and 0.95 confidence intervals:
#> 
#>          std.dev     lower     upper
#> s(x0)  29.289654 26.104755 32.863125
#> s(x2)  36.315472 33.450566 39.425746
#> s(fac)  2.715024  2.496164  2.953073
#> scale  12.057971 11.083650 13.117940
#> 
#> Rank: 4/4

##########################
## Poisson example GAMM...
##########################
## simulate data...
x <- runif(100)
fac <- sample(1:20,100,replace=TRUE)
eta <- x^2*3 + fac/20; fac <- as.factor(fac)
y <- rpois(100,exp(eta))

## fit model and examine it...
bp <- gamm4(y~s(x),family=poisson,random=~(1|fac))
#> Error in eval(predvars, data, env): object 'y' not found
plot(bp$gam)
#> Error: object 'bp' not found
bp$mer
#> Error: object 'bp' not found

if (FALSE) { # \dontrun{
#################################################################
## Add a factor to the linear predictor, to be modelled as random
## and make response Poisson. Again compare `gamm' and `gamm4'
#################################################################
set.seed(6)
dat <- gamSim(1,n=400,scale=2) ## simulate 4 term additive truth
## add random effect...
g <- as.factor(sample(1:20,400,replace=TRUE))
dat$f <- dat$f + model.matrix(~ g-1)%*%rnorm(20)*2
dat$y <- rpois(400,exp(dat$f/7+1))

b2<-gamm(y~s(x0)+s(x1)+s(x2)+s(x3),family=poisson,
         data=dat,random=list(g=~1))
plot(b2$gam,pages=1)

b2r<-gamm4(y~s(x0)+s(x1)+s(x2)+s(x3),family=poisson,
         data=dat,random = ~ (1|g))

plot(b2r$gam,pages=1)

rm(dat)
vis.gam(b2r$gam,theta=35)


##################################
# Multivariate varying coefficient
# With crossed and nested random 
# effects.
##################################

## Start by simulating data...

f0 <- function(x, z, sx = 0.3, sz = 0.4) {
            (pi^sx * sz) * (1.2 * exp(-(x - 0.2)^2/sx^2 - (z -
                0.3)^2/sz^2) + 0.8 * exp(-(x - 0.7)^2/sx^2 -
                (z - 0.8)^2/sz^2))
        }
f1 <- function(x2) 2 * sin(pi * x2)
f2 <- function(x2) exp(2 * x2) - 3.75887
f3 <- function (x2) 0.2 * x2^11 * (10 * (1 - x2))^6 + 10 * (10 * x2)^3 *
            (1 - x2)^10

n <- 1000

## first set up a continuous-within-group effect...

g <- factor(sample(1:50,n,replace=TRUE)) ## grouping factor
x <- runif(n)                       ## continuous covariate
X <- model.matrix(~g-1)
mu <- X%*%rnorm(50)*.5 + (x*X)%*%rnorm(50)

## now add nested factors...
a <- factor(rep(1:20,rep(50,20)))
b <- factor(rep(rep(1:25,rep(2,25)),rep(20,50)))
Xa <- model.matrix(~a-1)
Xb <- model.matrix(~a/b-a-1)
mu <- mu + Xa%*%rnorm(20) + Xb%*%rnorm(500)*.5

## finally simulate the smooth terms
v <- runif(n);w <- runif(n);z <- runif(n)
r <- runif(n)
mu <- mu + f0(v,w)*z*10 + f3(r) 

y <- mu + rnorm(n)*2 ## response data

## First compare gamm and gamm4 on a reduced model

br <- gamm4(y ~ s(v,w,by=z) + s(r,k=20,bs="cr"),random = ~ (1|a/b))

ba <- gamm(y ~ s(v,w,by=z) + s(r,k=20,bs="cr"),random = list(a=~1,b=~1),method="REML")


par(mfrow=c(2,2))
plot(br$gam)

plot(ba$gam)

## now fit the full model

br <- gamm4(y ~ s(v,w,by=z) + s(r,k=20,bs="cr"),random = ~ (x+0|g) + (1|g) + (1|a/b))

br$mer
br$gam
plot(br$gam)

## try a Poisson example, based on the same linear predictor...

lp <- mu/5
y <- rpois(exp(lp),exp(lp)) ## simulated response

## again compare gamm and gamm4 on reduced model

br <- gamm4(y ~ s(v,w,by=z) + s(r,k=20,bs="cr"),family=poisson,random = ~ (1|a/b))

ba <- gamm(y ~ s(v,w,by=z) + s(r,k=20,bs="cr"),family=poisson,random = list(a=~1,b=~1))

par(mfrow=c(2,2))
plot(br$gam)
plot(ba$gam)

## and now fit full version (very slow)...

br <- gamm4(y ~ s(v,w,by=z) + s(r,k=20,bs="cr"),family=poisson,random = ~ (x|g) + (1|a/b))
br$mer
br$gam
plot(br$gam)


####################################
# Different smooths of x2 depending 
# on factor `fac'...
####################################
dat <- gamSim(4)

br <- gamm4(y ~ fac+s(x2,by=fac)+s(x0),data=dat)
plot(br$gam,pages=1)
summary(br$gam)


####################################
# Timing comparison with `gam'...  #                                      
####################################

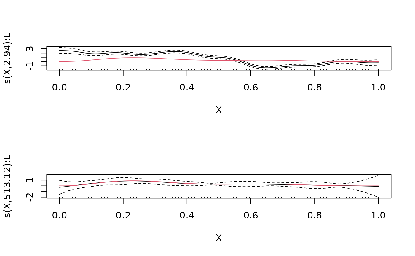
dat <- gamSim(1,n=600,dist="binary",scale=.33)

system.time(lr.fit0 <- gam(y~s(x0)+s(x1)+s(x2),
            family=binomial,data=dat,method="ML"))

system.time(lr.fit <- gamm4(y~s(x0)+s(x1)+s(x2),
            family=binomial,data=dat))

lr.fit0;lr.fit$gam
cor(fitted(lr.fit0),fitted(lr.fit$gam))

## plot model components with truth overlaid in red
op <- par(mfrow=c(2,2))
fn <- c("f0","f1","f2","f3");xn <- c("x0","x1","x2","x3")
for (k in 1:3) {
  plot(lr.fit$gam,select=k)
  ff <- dat[[fn[k]]];xx <- dat[[xn[k]]]
  ind <- sort.int(xx,index.return=TRUE)$ix
  lines(xx[ind],(ff-mean(ff))[ind]*.33,col=2)
}
par(op)
} # }

######################################
## A "signal" regression example, in
## which a univariate response depends
## on functional predictors.
######################################

## simulate data first....

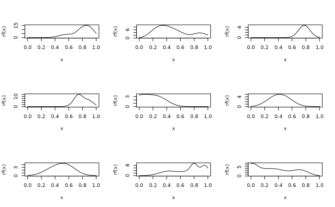
rf <- function(x=seq(0,1,length=100)) {
## generates random functions...
  m <- ceiling(runif(1)*5) ## number of components
  f <- x*0;
  mu <- runif(m,min(x),max(x));sig <- (runif(m)+.5)*(max(x)-min(x))/10
  for (i in 1:m) f <- f+ dnorm(x,mu[i],sig[i])
  f
}

x <- seq(0,1,length=100) ## evaluation points

## example functional predictors...
par(mfrow=c(3,3));for (i in 1:9) plot(x,rf(x),type="l",xlab="x")


## simulate 200 functions and store in rows of L...
L <- matrix(NA,200,100) 
for (i in 1:200) L[i,] <- rf()  ## simulate the functional predictors

f2 <- function(x) { ## the coefficient function
  (0.2*x^11*(10*(1-x))^6+10*(10*x)^3*(1-x)^10)/10 
}

f <- f2(x) ## the true coefficient function

y <- L%*%f + rnorm(200)*20 ## simulated response data

## Now fit the model E(y) = L%*%f(x) where f is a smooth function.
## The summation convention is used to evaluate smooth at each value
## in matrix X to get matrix F, say. Then rowSum(L*F) gives E(y).

## create matrix of eval points for each function. Note that
## `smoothCon' is smart and will recognize the duplication...
X <- matrix(x,200,100,byrow=TRUE) 

## compare `gam' and `gamm4' this time

b <- gam(y~s(X,by=L,k=20),method="REML")
#> Warning: Fitting terminated with step failure - check results carefully
br <- gamm4(y~s(X,by=L,k=20))
par(mfrow=c(2,1))
plot(b,shade=TRUE);lines(x,f,col=2)
plot(br$gam,shade=TRUE);lines(x,f,col=2)