label_bquote() offers a flexible way of labelling facet rows or columns with plotmath expressions. Backquoted variables will be replaced with their value in the facet.

label_bquote(rows = NULL, cols = NULL, default)

Arguments

rows

Backquoted labelling expression for rows.

cols

Backquoted labelling expression for columns.

default

Unused, kept for compatibility.

See also

Examples

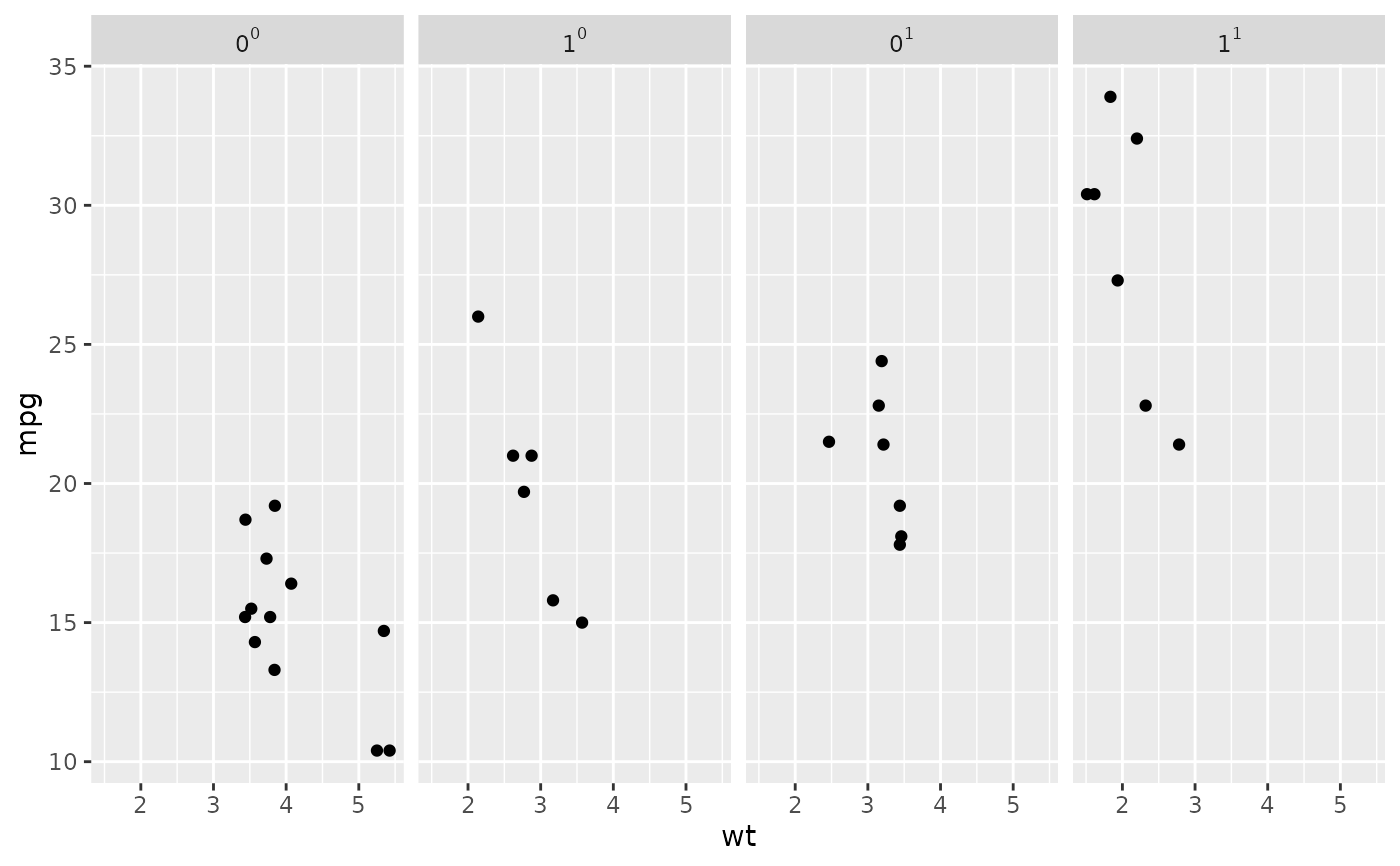
# The variables mentioned in the plotmath expression must be
# backquoted and referred to by their names.
p <- ggplot(mtcars, aes(wt, mpg)) + geom_point()
p + facet_grid(vs ~ ., labeller = label_bquote(alpha ^ .(vs)))

p + facet_grid(. ~ vs, labeller = label_bquote(cols = .(vs) ^ .(vs)))

p + facet_grid(. ~ vs + am, labeller = label_bquote(cols = .(am) ^ .(vs)))