stat_summary() operates on unique x or y; stat_summary_bin() operates on binned x or y. They are more flexible versions of stat_bin(): instead of just counting, they can compute any aggregate.

stat_summary_bin(
  mapping = NULL,
  data = NULL,
  geom = "pointrange",
  position = "identity",
  ...,
  fun.data = NULL,
  fun = NULL,
  fun.max = NULL,
  fun.min = NULL,
  fun.args = list(),
  bins = 30,
  binwidth = NULL,
  breaks = NULL,
  na.rm = FALSE,
  orientation = NA,
  show.legend = NA,
  inherit.aes = TRUE,
  fun.y = deprecated(),
  fun.ymin = deprecated(),
  fun.ymax = deprecated()
)

stat_summary(
  mapping = NULL,
  data = NULL,
  geom = "pointrange",
  position = "identity",
  ...,
  fun.data = NULL,
  fun = NULL,
  fun.max = NULL,
  fun.min = NULL,
  fun.args = list(),
  na.rm = FALSE,
  orientation = NA,
  show.legend = NA,
  inherit.aes = TRUE,
  fun.y = deprecated(),
  fun.ymin = deprecated(),
  fun.ymax = deprecated()
)

Arguments

mapping

Set of aesthetic mappings created by aes(). If specified and inherit.aes = TRUE (the default), it is combined with the default mapping at the top level of the plot. You must supply mapping if there is no plot mapping.

data

The data to be displayed in this layer. There are three options:

If NULL, the default, the data is inherited from the plot data as specified in the call to ggplot().

A data.frame, or other object, will override the plot data. All objects will be fortified to produce a data frame. See fortify() for which variables will be created.

A function will be called with a single argument, the plot data. The return value must be a data.frame, and will be used as the layer data. A function can be created from a formula (e.g. ~ head(.x, 10)).

geom

The geometric object to use to display the data for this layer. When using a stat_*() function to construct a layer, the geom argument can be used to override the default coupling between stats and geoms. The geom argument accepts the following:

  • A Geom ggproto subclass, for example GeomPoint.

  • A string naming the geom. To give the geom as a string, strip the function name of the geom_ prefix. For example, to use geom_point(), give the geom as "point".

  • For more information and other ways to specify the geom, see the layer geom documentation.

position

A position adjustment to use on the data for this layer. This can be used in various ways, including to prevent overplotting and improving the display. The position argument accepts the following:

  • The result of calling a position function, such as position_jitter(). This method allows for passing extra arguments to the position.

  • A string naming the position adjustment. To give the position as a string, strip the function name of the position_ prefix. For example, to use position_jitter(), give the position as "jitter".

  • For more information and other ways to specify the position, see the layer position documentation.

...

Other arguments passed on to layer()'s params argument. These arguments broadly fall into one of 4 categories below. Notably, further arguments to the position argument, or aesthetics that are required can not be passed through .... Unknown arguments that are not part of the 4 categories below are ignored.

  • Static aesthetics that are not mapped to a scale, but are at a fixed value and apply to the layer as a whole. For example, colour = "red" or linewidth = 3. The geom's documentation has an Aesthetics section that lists the available options. The 'required' aesthetics cannot be passed on to the params. Please note that while passing unmapped aesthetics as vectors is technically possible, the order and required length is not guaranteed to be parallel to the input data.

  • When constructing a layer using a stat_*() function, the ... argument can be used to pass on parameters to the geom part of the layer. An example of this is stat_density(geom = "area", outline.type = "both"). The geom's documentation lists which parameters it can accept.

  • Inversely, when constructing a layer using a geom_*() function, the ... argument can be used to pass on parameters to the stat part of the layer. An example of this is geom_area(stat = "density", adjust = 0.5). The stat's documentation lists which parameters it can accept.

  • The key_glyph argument of layer() may also be passed on through .... This can be one of the functions described as key glyphs, to change the display of the layer in the legend.

fun.data

A function that is given the complete data and should return a data frame with variables ymin, y, and ymax.

fun.min, fun, fun.max

Alternatively, supply three individual functions that are each passed a vector of values and should return a single number.

fun.args

Optional additional arguments passed on to the functions.

bins

Number of bins. Overridden by binwidth. Defaults to 30.

binwidth

The width of the bins. Can be specified as a numeric value or as a function that takes x after scale transformation as input and returns a single numeric value. When specifying a function along with a grouping structure, the function will be called once per group. The default is to use the number of bins in bins, covering the range of the data. You should always override this value, exploring multiple widths to find the best to illustrate the stories in your data.

The bin width of a date variable is the number of days in each time; the bin width of a time variable is the number of seconds.

breaks

Alternatively, you can supply a numeric vector giving the bin boundaries. Overrides binwidth and bins.

na.rm

If FALSE, the default, missing values are removed with a warning. If TRUE, missing values are silently removed.

orientation

The orientation of the layer. The default (NA) automatically determines the orientation from the aesthetic mapping. In the rare event that this fails it can be given explicitly by setting orientation to either "x" or "y". See the Orientation section for more detail.

show.legend

logical. Should this layer be included in the legends? NA, the default, includes if any aesthetics are mapped. FALSE never includes, and TRUE always includes. It can also be a named logical vector to finely select the aesthetics to display. To include legend keys for all levels, even when no data exists, use TRUE. If NA, all levels are shown in legend, but unobserved levels are omitted.

inherit.aes

If FALSE, overrides the default aesthetics, rather than combining with them. This is most useful for helper functions that define both data and aesthetics and shouldn't inherit behaviour from the default plot specification, e.g. annotation_borders().

fun.ymin, fun.y, fun.ymax

[Deprecated] Use the versions specified above instead.

Orientation

This geom treats each axis differently and, thus, can thus have two orientations. Often the orientation is easy to deduce from a combination of the given mappings and the types of positional scales in use. Thus, ggplot2 will by default try to guess which orientation the layer should have. Under rare circumstances, the orientation is ambiguous and guessing may fail. In that case the orientation can be specified directly using the orientation parameter, which can be either "x" or "y". The value gives the axis that the geom should run along, "x" being the default orientation you would expect for the geom.

Summary functions

You can either supply summary functions individually (fun, fun.max, fun.min), or as a single function (fun.data):

fun.data

Complete summary function. Should take numeric vector as input and return data frame as output

fun.min

min summary function (should take numeric vector and return single number)

fun

main summary function (should take numeric vector and return single number)

fun.max

max summary function (should take numeric vector and return single number)

A simple vector function is easiest to work with as you can return a single number, but is somewhat less flexible. If your summary function computes multiple values at once (e.g. min and max), use fun.data.

fun.data will receive data as if it was oriented along the x-axis and should return a data.frame that corresponds to that orientation. The layer will take care of flipping the input and output if it is oriented along the y-axis.

If no aggregation functions are supplied, will default to mean_se().

See also

geom_errorbar(), geom_pointrange(), geom_linerange(), geom_crossbar() for geoms to display summarised data

Aesthetics

stat_summary() understands the following aesthetics. Required aesthetics are displayed in bold and defaults are displayed for optional aesthetics:

x
y
group→ inferred

Learn more about setting these aesthetics in vignette("ggplot2-specs").

Examples

d <- ggplot(mtcars, aes(cyl, mpg)) + geom_point()
d + stat_summary(fun.data = "mean_cl_boot", colour = "red", linewidth = 2, size = 3)


# Orientation follows the discrete axis
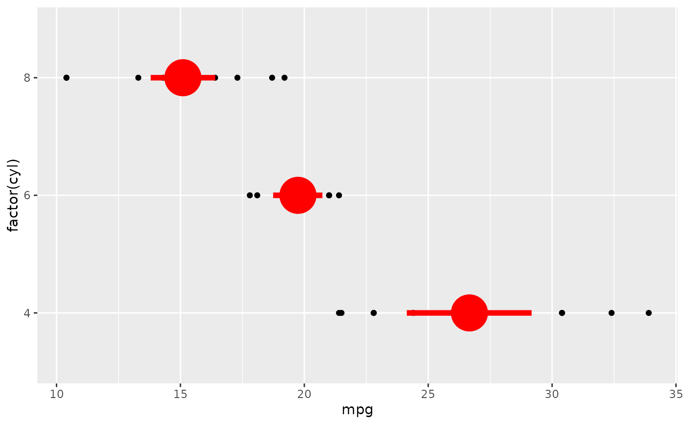
ggplot(mtcars, aes(mpg, factor(cyl))) +
  geom_point() +
  stat_summary(fun.data = "mean_cl_boot", colour = "red", linewidth = 2, size = 3)


# You can supply individual functions to summarise the value at
# each x:
d + stat_summary(fun = "median", colour = "red", size = 2, geom = "point")

d + stat_summary(fun = "mean", colour = "red", size = 2, geom = "point")

d + aes(colour = factor(vs)) + stat_summary(fun = mean, geom="line")


d + stat_summary(fun = mean, fun.min = min, fun.max = max, colour = "red")


d <- ggplot(diamonds, aes(cut))
d + geom_bar()

d + stat_summary(aes(y = price), fun = "mean", geom = "bar")


# Orientation of stat_summary_bin is ambiguous and must be specified directly
ggplot(diamonds, aes(carat, price)) +
  stat_summary_bin(fun = "mean", geom = "bar", orientation = 'y')


# \donttest{
# Don't use ylim to zoom into a summary plot - this throws the
# data away
p <- ggplot(mtcars, aes(cyl, mpg)) +
  stat_summary(fun = "mean", geom = "point")
p

p + ylim(15, 30)
#> Warning: Removed 9 rows containing non-finite outside the scale range
#> (`stat_summary()`).

# Instead use coord_cartesian
p + coord_cartesian(ylim = c(15, 30))


# A set of useful summary functions is provided from the Hmisc package:
stat_sum_df <- function(fun, geom="crossbar", ...) {
  stat_summary(fun.data = fun, colour = "red", geom = geom, width = 0.2, ...)
}
d <- ggplot(mtcars, aes(cyl, mpg)) + geom_point()
# The crossbar geom needs grouping to be specified when used with
# a continuous x axis.
d + stat_sum_df("mean_cl_boot", mapping = aes(group = cyl))

d + stat_sum_df("mean_sdl", mapping = aes(group = cyl))

d + stat_sum_df("mean_sdl", fun.args = list(mult = 1), mapping = aes(group = cyl))

d + stat_sum_df("median_hilow", mapping = aes(group = cyl))


# An example with highly skewed distributions:
if (require("ggplot2movies")) {
set.seed(596)
mov <- movies[sample(nrow(movies), 1000), ]
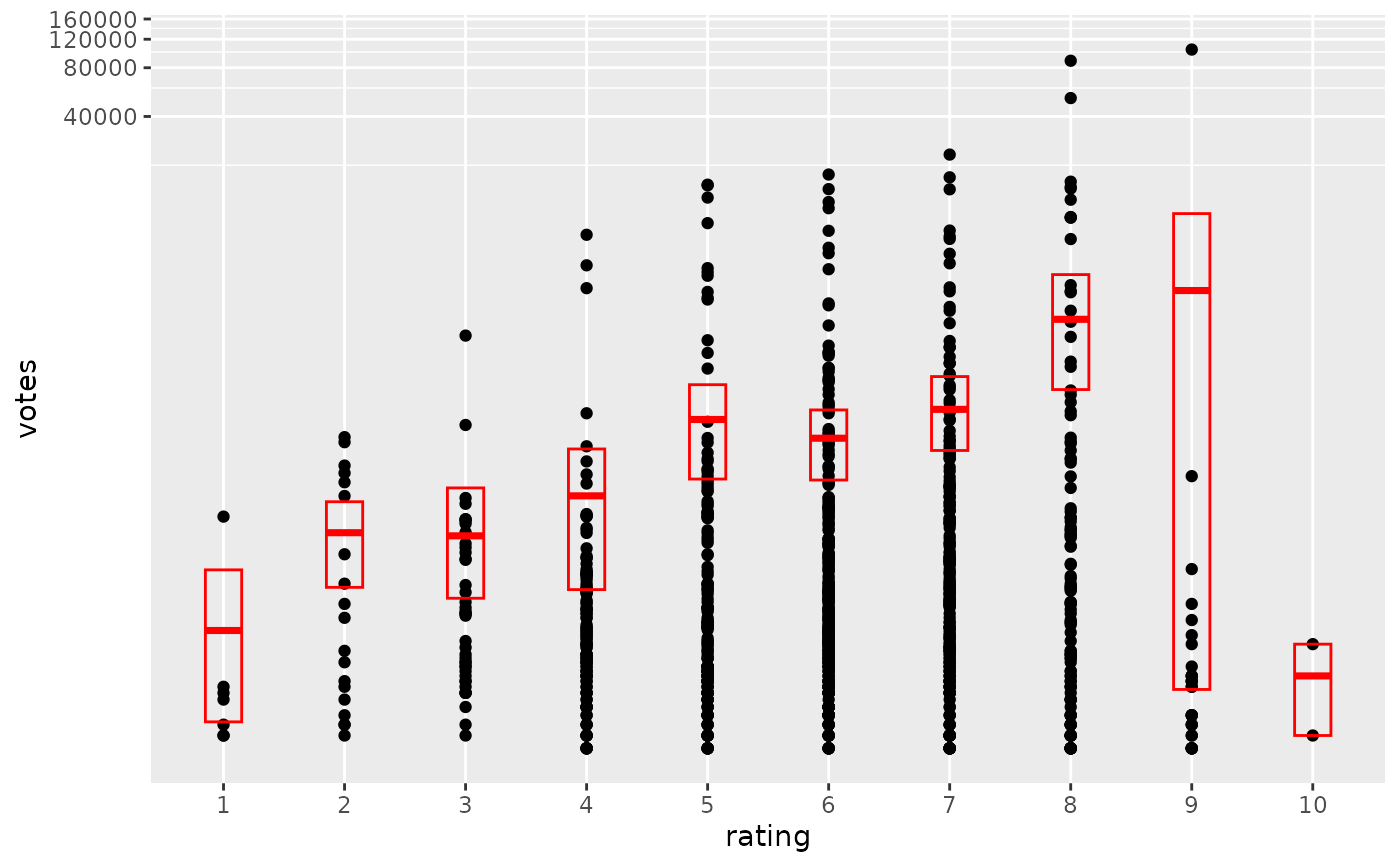
 m2 <-
   ggplot(mov, aes(x = factor(round(rating)), y = votes)) +
   geom_point()
 m2 <-
   m2 +
   stat_summary(
     fun.data = "mean_cl_boot",
     geom = "crossbar",
     colour = "red", width = 0.3
   ) +
   xlab("rating")
m2
# Notice how the overplotting skews off visual perception of the mean
# supplementing the raw data with summary statistics is _very_ important

# Next, we'll look at votes on a log scale.

# Transforming the scale means the data are transformed
# first, after which statistics are computed:
m2 + scale_y_log10()
# Transforming the coordinate system occurs after the
# statistic has been computed. This means we're calculating the summary on the raw data
# and stretching the geoms onto the log scale.  Compare the widths of the
# standard errors.
m2 + coord_transform(y="log10")
}

# }