Just like aes(), vars() is a quoting function that takes inputs to be evaluated in the context of a dataset. These inputs can be:

  • variable names

  • complex expressions

In both cases, the results (the vectors that the variable represents or the results of the expressions) are used to form faceting groups.

vars(...)

Arguments

...

<data-masking> Variables or expressions automatically quoted. These are evaluated in the context of the data to form faceting groups. Can be named (the names are passed to a labeller).

Examples

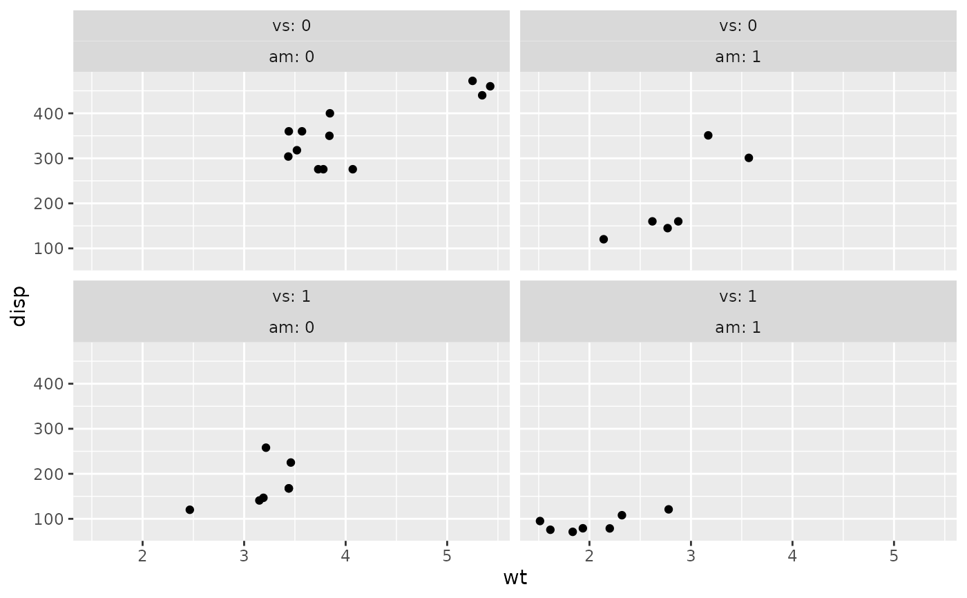
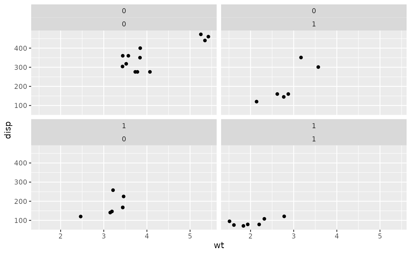
p <- ggplot(mtcars, aes(wt, disp)) + geom_point()
p + facet_wrap(vars(vs, am))


# vars() makes it easy to pass variables from wrapper functions:
wrap_by <- function(...) {
  facet_wrap(vars(...), labeller = label_both)
}
p + wrap_by(vs)

p + wrap_by(vs, am)


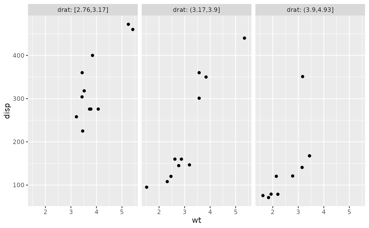
# You can also supply expressions to vars(). In this case it's often a
# good idea to supply a name as well:
p + wrap_by(drat = cut_number(drat, 3))


# Let's create another function for cutting and wrapping a
# variable. This time it will take a named argument instead of dots,
# so we'll have to use the "enquote and unquote" pattern:
wrap_cut <- function(var, n = 3) {
  # Let's enquote the named argument `var` to make it auto-quoting:
  var <- enquo(var)

  # `as_label()` will create a nice default name:
  nm <- as_label(var)

  # Now let's unquote everything at the right place. Note that we also
  # unquote `n` just in case the data frame has a column named
  # `n`. The latter would have precedence over our local variable
  # because the data is always masking the environment.
  wrap_by(!!nm := cut_number(!!var, !!n))
}

# Thanks to tidy eval idioms we now have another useful wrapper:
p + wrap_cut(drat)