Just like aes(), vars() is a quoting function
that takes inputs to be evaluated in the context of a dataset.
These inputs can be:
variable names
complex expressions
In both cases, the results (the vectors that the variable represents or the results of the expressions) are used to form faceting groups.
Arguments
- ...
<
data-masking> Variables or expressions automatically quoted. These are evaluated in the context of the data to form faceting groups. Can be named (the names are passed to a labeller).
Examples
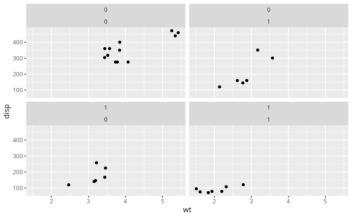
p <- ggplot(mtcars, aes(wt, disp)) + geom_point()
p + facet_wrap(vars(vs, am))
# vars() makes it easy to pass variables from wrapper functions:
wrap_by <- function(...) {
facet_wrap(vars(...), labeller = label_both)
}
p + wrap_by(vs)
p + wrap_by(vs, am)
# You can also supply expressions to vars(). In this case it's often a
# good idea to supply a name as well:
p + wrap_by(drat = cut_number(drat, 3))
# Let's create another function for cutting and wrapping a
# variable. This time it will take a named argument instead of dots,
# so we'll have to use the "enquote and unquote" pattern:
wrap_cut <- function(var, n = 3) {
# Let's enquote the named argument `var` to make it auto-quoting:
var <- enquo(var)
# `as_label()` will create a nice default name:
nm <- as_label(var)
# Now let's unquote everything at the right place. Note that we also
# unquote `n` just in case the data frame has a column named
# `n`. The latter would have precedence over our local variable
# because the data is always masking the environment.
wrap_by(!!nm := cut_number(!!var, !!n))
}
# Thanks to tidy eval idioms we now have another useful wrapper:
p + wrap_cut(drat)
