Regression model for binomial data with unkown group of immortals (zero-inflated binomial regression)

zibreg(
  formula,
  formula.p = ~1,
  data,
  family = stats::binomial(),
  offset = NULL,
  start,
  var = "hessian",
  ...
)

Arguments

formula

Formula specifying

formula.p

Formula for model of disease prevalence

data

data frame

family

Distribution family (see the help page family)

offset

Optional offset

start

Optional starting values

var

Type of variance (robust, expected, hessian, outer)

...

Additional arguments to lower level functions

Author

Klaus K. Holst

Examples


## Simulation
n <- 2e3
x <- runif(n,0,20)
age <- runif(n,10,30)
z0 <- rnorm(n,mean=-1+0.05*age)
z <- cut(z0,breaks=c(-Inf,-1,0,1,Inf))
p0 <- lava:::expit(model.matrix(~z+age) %*% c(-.4, -.4, 0.2, 2, -0.05))
y <- (runif(n)<lava:::tigol(-1+0.25*x-0*age))*1
u <- runif(n)<p0
y[u==0] <- 0
d <- data.frame(y=y,x=x,u=u*1,z=z,age=age)
head(d)
#>   y         x u         z      age
#> 1 1  3.400949 1 (-Inf,-1] 10.29035
#> 2 0 11.764343 0    (-1,0] 21.59965
#> 3 0  6.814083 0     (0,1] 26.49870
#> 4 1 15.448978 1  (1, Inf] 27.59251
#> 5 0 19.809105 0    (-1,0] 22.76442
#> 6 0  6.067391 0    (-1,0] 20.73910

## Estimation
e0 <- zibreg(y~x*z,~1+z+age,data=d)
e <- zibreg(y~x,~1+z+age,data=d)
compare(e,e0)
#> 
#> 	- Likelihood ratio test -
#> 
#> data:  
#> chisq = 7.1372, df = 6, p-value = 0.3083
#> sample estimates:
#> log likelihood (model 1) log likelihood (model 2) 
#>                -861.9251                -858.3565 
#> 
e
#>                   Estimate        2.5%       97.5%      P-value
#> (Intercept)    -1.01890790 -1.65613685 -0.38167895 1.724895e-03
#> x               0.33038862  0.12632148  0.53445575 1.507586e-03
#> pr:(Intercept) -0.47967496 -1.01040085  0.05105093 7.648863e-02
#> pr:z(-1,0]     -0.29790559 -0.70088729  0.10507611 1.473627e-01
#> pr:z(0,1]       0.23269232 -0.16078016  0.62616480 2.464210e-01
#> pr:z(1, Inf]    1.95961251  1.49960070  2.41962432 6.867718e-17
#> pr:age         -0.05470745 -0.07869567 -0.03071923 7.826079e-06
#> 
#> Prevalence probabilities:
#>                              Estimate      2.5%     97.5%
#> {(Intercept)}               0.3823289 0.2669014 0.5127600
#> {(Intercept)} + {z(-1,0]}   0.3148416 0.2111198 0.4410327
#> {(Intercept)} + {z(0,1]}    0.4385663 0.3071482 0.5792074
#> {(Intercept)} + {z(1, Inf]} 0.8145631 0.6882539 0.8973302
#> {(Intercept)} + {age}       0.3694953 0.2597995 0.4945617
PD(e0,intercept=c(1,3),slope=c(2,6))
#>       Estimate  Std.Err      2.5%    97.5%
#> 50% -0.4711308 3.002976 -6.356855 5.414594
#> attr(,"b")
#> [1] 0.2700798 0.5732587

B <- rbind(c(1,0,0,0,20),
           c(1,1,0,0,20),
           c(1,0,1,0,20),
           c(1,0,0,1,20))
prev <- summary(e,pr.contrast=B)$prevalence

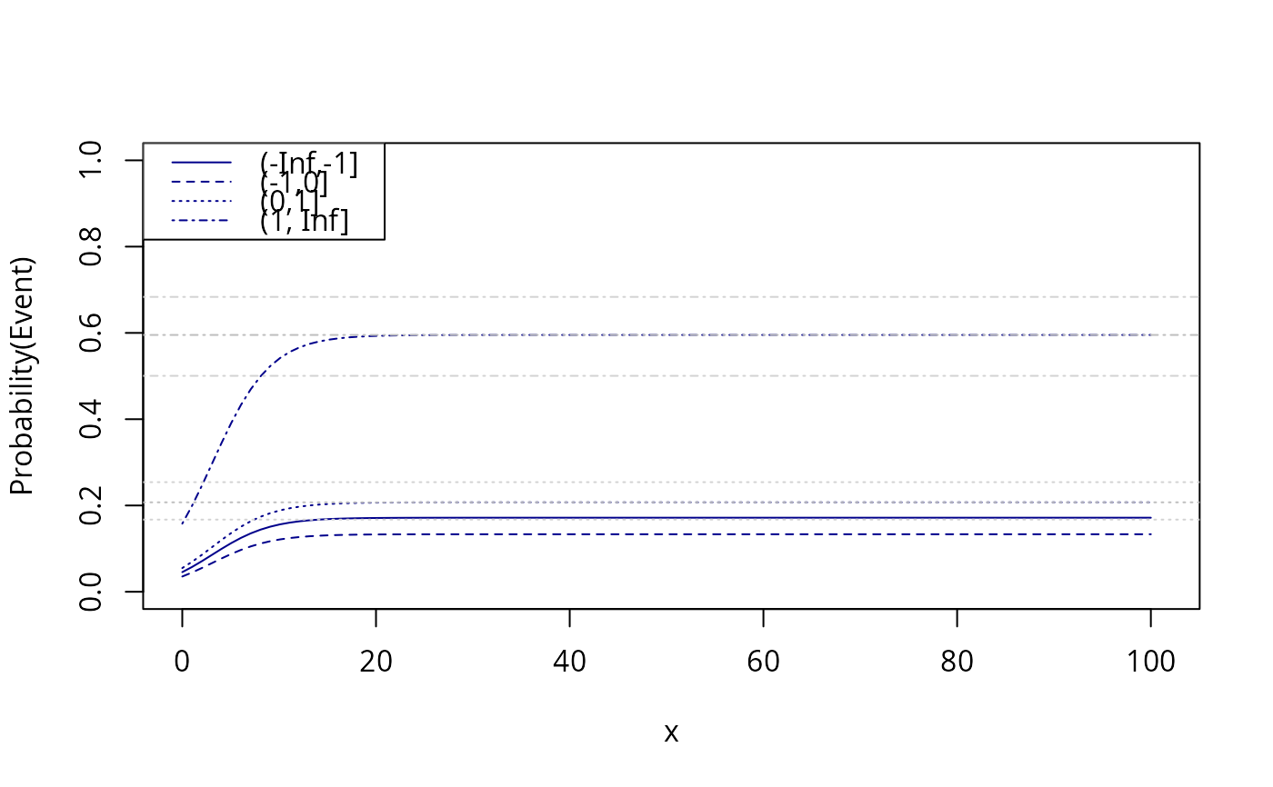
x <- seq(0,100,length.out=100)
newdata <- expand.grid(x=x,age=20,z=levels(d$z))
fit <- predict(e,newdata=newdata)
plot(0,0,type="n",xlim=c(0,101),ylim=c(0,1),xlab="x",ylab="Probability(Event)")
count <- 0
for (i in levels(newdata$z)) {
  count <- count+1
  lines(x,fit[which(newdata$z==i)],col="darkblue",lty=count)
}
abline(h=prev[3:4,1],lty=3:4,col="gray")
abline(h=prev[3:4,2],lty=3:4,col="lightgray")
abline(h=prev[3:4,3],lty=3:4,col="lightgray")
legend("topleft",levels(d$z),col="darkblue",lty=seq_len(length(levels(d$z))))