There is no step.gam in package mgcv. The mgcv default for model selection is to use either prediction error criteria such as GCV, GACV, Mallows' Cp/AIC/UBRE or the likelihood based methods of REML or ML. Since the smoothness estimation part of model selection is done in this way it is logically most consistent to perform the rest of model selection in the same way. i.e. to decide which terms to include or omit by looking at changes in GCV, AIC, REML etc.

To facilitate fully automatic model selection the package implements two smooth modification techniques which can be used to allow smooths to be shrunk to zero as part of smoothness selection.

Shrinkage smoothers

are smoothers in which a small multiple of the identity matrix is added to the smoothing penalty, so that strong enough penalization will shrink all the coefficients of the smooth to zero. Such smoothers can effectively be penalized out of the model altogether, as part of smoothing parameter estimation. 2 classes of these shrinkage smoothers are implemented: "cs" and "ts", based on cubic regression spline and thin plate regression spline smoothers (see s)

Null space penalization

An alternative is to construct an extra penalty for each smooth which penalizes the space of functions of zero wiggliness according to its existing penalties. If all the smoothing parameters for such a term tend to infinity then the term is penalized to zero, and is effectively dropped from the model. The advantage of this approach is that it can be implemented automatically for any smooth. The select argument to gam causes this latter approach to be used. Unpenalized terms (e.g. s(x,fx=TRUE)) remain unpenalized.

REML and ML smoothness selection are equivalent under this approach, and simulation evidence suggests that they tend to perform a little better than prediction error criteria, for model selection.

Author

Simon N. Wood simon.wood@r-project.org

References

Marra, G. and S.N. Wood (2011) Practical variable selection for generalized additive models Computational Statistics and Data Analysis 55,2372-2387

See also

Examples

## an example of GCV based model selection as
## an alternative to stepwise selection, using
## shrinkage smoothers...
library(mgcv)
set.seed(0);n <- 400
dat <- gamSim(1,n=n,scale=2)
#> Gu & Wahba 4 term additive model
dat$x4 <- runif(n, 0, 1)
dat$x5 <- runif(n, 0, 1)
attach(dat)
## Note the increased gamma parameter below to favour
## slightly smoother models...
b<-gam(y~s(x0,bs="ts")+s(x1,bs="ts")+s(x2,bs="ts")+
   s(x3,bs="ts")+s(x4,bs="ts")+s(x5,bs="ts"),gamma=1.4)
summary(b)
#> 
#> Family: gaussian 
#> Link function: identity 
#> 
#> Formula:
#> y ~ s(x0, bs = "ts") + s(x1, bs = "ts") + s(x2, bs = "ts") + 
#>     s(x3, bs = "ts") + s(x4, bs = "ts") + s(x5, bs = "ts")
#> 
#> Parametric coefficients:
#>             Estimate Std. Error t value Pr(>|t|)    
#> (Intercept)   7.9150     0.1051   75.28   <2e-16 ***
#> ---
#> Signif. codes:  0 ‘***’ 0.001 ‘**’ 0.01 ‘*’ 0.05 ‘.’ 0.1 ‘ ’ 1
#> 
#> Approximate significance of smooth terms:
#>             edf Ref.df      F  p-value    
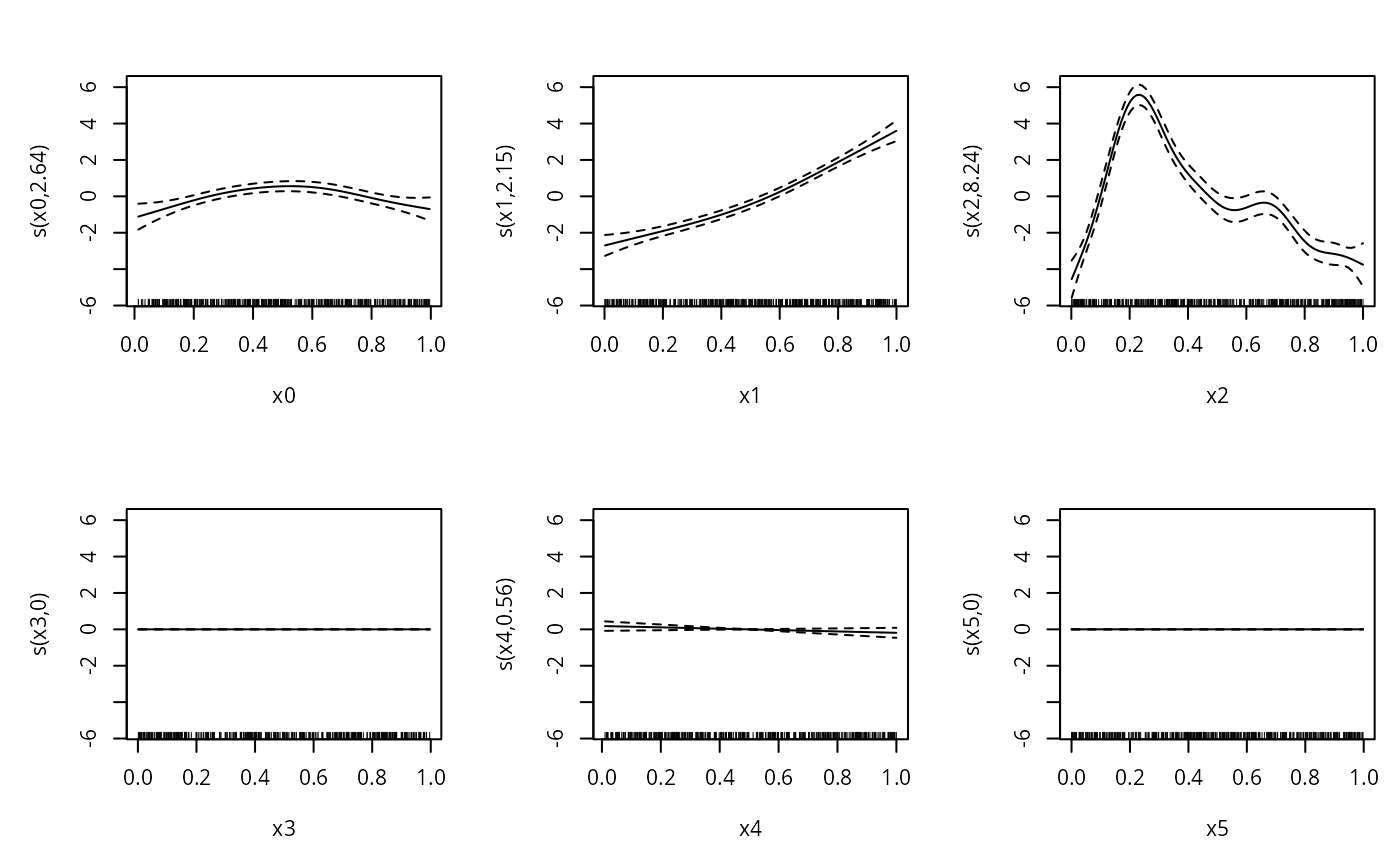
#> s(x0) 2.640e+00      9  2.390 2.46e-05 ***
#> s(x1) 2.151e+00      9 33.466  < 2e-16 ***
#> s(x2) 8.238e+00      9 83.322  < 2e-16 ***
#> s(x3) 1.675e-05      9  0.000   0.6331    
#> s(x4) 5.613e-01      9  0.204   0.0696 .  
#> s(x5) 1.331e-05      9  0.000   0.4676    
#> ---
#> Signif. codes:  0 ‘***’ 0.001 ‘**’ 0.01 ‘*’ 0.05 ‘.’ 0.1 ‘ ’ 1
#> 
#> R-sq.(adj) =  0.724   Deviance explained = 73.4%
#> GCV = 4.7318  Scale est. = 4.4222    n = 400
plot(b,pages=1)


## Same again using REML/ML
b<-gam(y~s(x0,bs="ts")+s(x1,bs="ts")+s(x2,bs="ts")+
   s(x3,bs="ts")+s(x4,bs="ts")+s(x5,bs="ts"),method="REML")
summary(b)
#> 
#> Family: gaussian 
#> Link function: identity 
#> 
#> Formula:
#> y ~ s(x0, bs = "ts") + s(x1, bs = "ts") + s(x2, bs = "ts") + 
#>     s(x3, bs = "ts") + s(x4, bs = "ts") + s(x5, bs = "ts")
#> 
#> Parametric coefficients:
#>             Estimate Std. Error t value Pr(>|t|)    
#> (Intercept)   7.9150     0.1051   75.32   <2e-16 ***
#> ---
#> Signif. codes:  0 ‘***’ 0.001 ‘**’ 0.01 ‘*’ 0.05 ‘.’ 0.1 ‘ ’ 1
#> 
#> Approximate significance of smooth terms:
#>            edf Ref.df      F  p-value    
#> s(x0) 2.885762      9  2.522 1.88e-05 ***
#> s(x1) 2.400354      9 33.539  < 2e-16 ***
#> s(x2) 8.020248      9 83.252  < 2e-16 ***
#> s(x3) 0.000138      9  0.000    0.654    
#> s(x4) 0.696364      9  0.245    0.074 .  
#> s(x5) 0.001376      9  0.000    0.461    
#> ---
#> Signif. codes:  0 ‘***’ 0.001 ‘**’ 0.01 ‘*’ 0.05 ‘.’ 0.1 ‘ ’ 1
#> 
#> R-sq.(adj) =  0.725   Deviance explained = 73.4%
#> -REML = 896.49  Scale est. = 4.4173    n = 400
plot(b,pages=1)


## And once more, but using the null space penalization
b<-gam(y~s(x0,bs="cr")+s(x1,bs="cr")+s(x2,bs="cr")+
   s(x3,bs="cr")+s(x4,bs="cr")+s(x5,bs="cr"),
   method="REML",select=TRUE)
summary(b)
#> 
#> Family: gaussian 
#> Link function: identity 
#> 
#> Formula:
#> y ~ s(x0, bs = "cr") + s(x1, bs = "cr") + s(x2, bs = "cr") + 
#>     s(x3, bs = "cr") + s(x4, bs = "cr") + s(x5, bs = "cr")
#> 
#> Parametric coefficients:
#>             Estimate Std. Error t value Pr(>|t|)    
#> (Intercept)   7.9150     0.1052   75.24   <2e-16 ***
#> ---
#> Signif. codes:  0 ‘***’ 0.001 ‘**’ 0.01 ‘*’ 0.05 ‘.’ 0.1 ‘ ’ 1
#> 
#> Approximate significance of smooth terms:
#>             edf Ref.df      F  p-value    
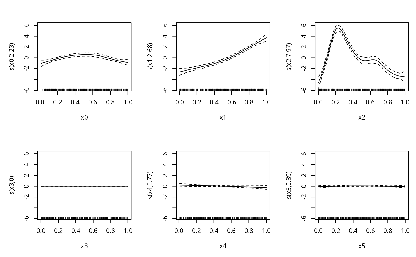
#> s(x0) 2.2254365      9  2.563 3.49e-06 ***
#> s(x1) 2.6764675      9 33.409  < 2e-16 ***
#> s(x2) 7.9724407      9 81.746  < 2e-16 ***
#> s(x3) 0.0005948      9  0.000   0.9794    
#> s(x4) 0.7706253      9  0.237   0.0824 .  
#> s(x5) 0.3861344      9  0.059   0.2319    
#> ---
#> Signif. codes:  0 ‘***’ 0.001 ‘**’ 0.01 ‘*’ 0.05 ‘.’ 0.1 ‘ ’ 1
#> 
#> R-sq.(adj) =  0.724   Deviance explained = 73.4%
#> -REML = 889.08  Scale est. = 4.4268    n = 400
plot(b,pages=1)



detach(dat);rm(dat)