Density, distribution function, quantile function and random generation for a generalisation of the exponential distribution, in which the rate changes at a series of times.

dpexp(x, rate = 1, t = 0, log = FALSE)

ppexp(q, rate = 1, t = 0, lower.tail = TRUE, log.p = FALSE)

qpexp(p, rate = 1, t = 0, lower.tail = TRUE, log.p = FALSE)

rpexp(n = 1, rate = 1, t = 0, start = min(t))

Arguments

x, q

vector of quantiles.

rate

vector of rates.

t

vector of the same length as rate, giving the times at which the rate changes. The values of t should be in increasing order.

log, log.p

logical; if TRUE, probabilities p are given as log(p), or log density is returned.

lower.tail

logical; if TRUE (default), probabilities are P[X <= x], otherwise, P[X > x].

p

vector of probabilities.

n

number of observations. If length(n) > 1, the length is taken to be the number required.

start

numeric scalar; delayed entry time. The random deviates will be left truncated from this start time.

Value

dpexp gives the density, ppexp gives the distribution function, qpexp gives the quantile function, and rpexp generates random deviates.

Details

Consider the exponential distribution with rates \(r_1, \ldots, \)\( r_n\) changing at times \(t_1, \ldots, t_n\), with \(t_1 = 0\). Suppose \(t_k\) is the maximum \(t_i\) such that \(t_i < x\). The density of this distribution at \(x > 0\) is \(f(x)\) for \(k = 1\), and $$\prod_{i=1}^k (1 - F(t_{i} - t_{i-1}, r_i)) f(x - t_{k}, r_{k})$$ for k > 1.

where \(F()\) and \(f()\) are the distribution and density functions of the standard exponential distribution.

If rate is of length 1, this is just the standard exponential distribution. Therefore, for example, dpexp(x), with no other arguments, is simply equivalent to dexp(x).

Only rpexp is used in the msm package, to simulate from Markov processes with piecewise-constant intensities depending on time-dependent covariates. These functions are merely provided for completion, and are not optimized for numerical stability or speed.

See also

Author

C. H. Jackson chris.jackson@mrc-bsu.cam.ac.uk

Examples


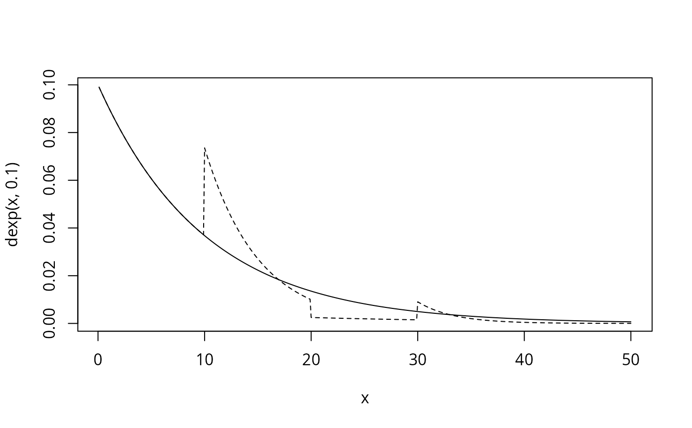
x <- seq(0.1, 50, by=0.1)
rate <- c(0.1, 0.2, 0.05, 0.3)
t <- c(0, 10, 20, 30)
## standard exponential distribution
plot(x, dexp(x, 0.1), type="l")
## distribution with piecewise constant rate
lines(x, dpexp(x, rate, t), type="l", lty=2)

## standard exponential distribution
plot(x, pexp(x, 0.1), type="l")
## distribution with piecewise constant rate
lines(x, ppexp(x, rate, t), type="l", lty=2)