Reweights the design (using calibrate) so that the adjustment variables are uncorrelated with the variables in the model, and then performs predictions by calling predict. When the adjustment model is saturated this is equivalent to direct standardization on the adjustment variables.

The svycoxph and svykmlist methods return survival curves.

marginpred(model, adjustfor, predictat, ...)
# S3 method for class 'svycoxph'
marginpred(model, adjustfor, predictat, se=FALSE, ...)
# S3 method for class 'svykmlist'
marginpred(model, adjustfor, predictat, se=FALSE, ...)
# S3 method for class 'svyglm'
marginpred(model, adjustfor, predictat,  ...)

Arguments

model

A regression model object of a class that has a marginpred method

adjustfor

Model formula specifying adjustment variables, which must be in the design object of the model

predictat

A data frame giving values of the variables in model to predict at

se

Estimate standard errors for the survival curve (uses a lot of memory if the sample size is large)

...

Extra arguments, passed to the predict method for model

See also

svypredmeans for the method of Graubard and Korn implemented in SUDAAN.

calibrate

predict.svycoxph

Examples

## generate data with apparent group effect from confounding
set.seed(42)
df<-data.frame(x=rnorm(100))
df$time<-rexp(100)*exp(df$x-1)
df$status<-1
df$group<-(df$x+rnorm(100))>0
des<-svydesign(id=~1,data=df)
#> Warning: No weights or probabilities supplied, assuming equal probability
newdf<-data.frame(group=c(FALSE,TRUE), x=c(0,0))

## Cox model
m0<-svycoxph(Surv(time,status)~group,design=des)
m1<-svycoxph(Surv(time,status)~group+x,design=des)
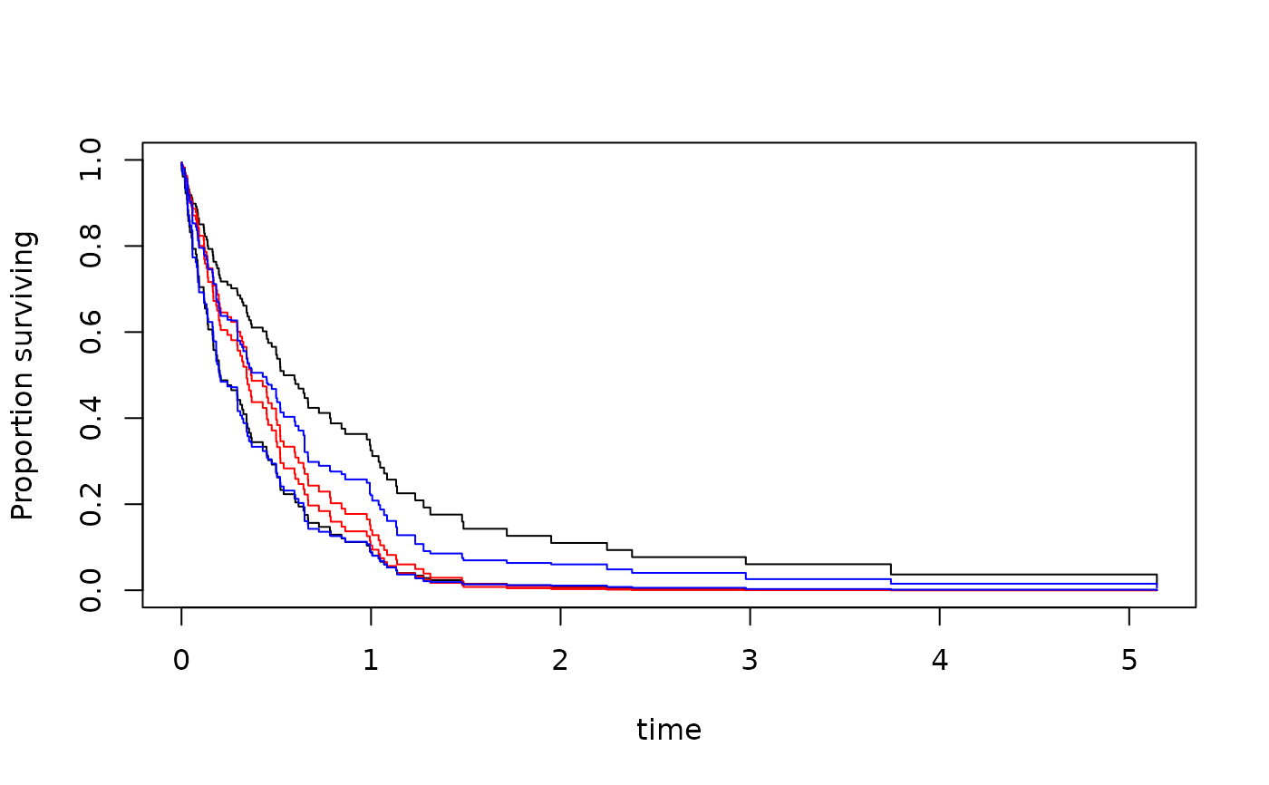
## conditional predictions, unadjusted and adjusted
cpred0<-predict(m0, type="curve", newdata=newdf, se=TRUE)
cpred1<-predict(m1, type="curve", newdata=newdf, se=TRUE)
## adjusted marginal prediction
mpred<-marginpred(m0, adjustfor=~x, predictat=newdf, se=TRUE)

plot(cpred0)
lines(cpred1[[1]],col="red")
lines(cpred1[[2]],col="red")
lines(mpred[[1]],col="blue")
lines(mpred[[2]],col="blue")


## Kaplan--Meier
s2<-svykm(Surv(time,status>0)~group, design=des)
p2<-marginpred(s2, adjustfor=~x, predictat=newdf,se=TRUE)
plot(s2)
lines(p2[[1]],col="green")
lines(p2[[2]],col="green")


## logistic regression
logisticm <- svyglm(group~time, family=quasibinomial, design=des)
newdf$time<-c(0.1,0.8)
logisticpred <- marginpred(logisticm, adjustfor=~x, predictat=newdf)