Multiple Response Permutation Procedure (MRPP) provides a test of whether there is a significant difference between two or more groups of sampling units. Function meandist finds the mean within and between block dissimilarities.

mrpp(dat, grouping, permutations = 999, distance = "euclidean",
     weight.type = 1, strata = NULL, parallel = getOption("mc.cores"))
meandist(dist, grouping, ...)
# S3 method for class 'mrpp'
summary(object, ...)
# S3 method for class 'meandist'
summary(object, ...)
# S3 method for class 'meandist'
plot(x, kind = c("dendrogram", "histogram"),  cluster = "average", 
     ylim, axes = TRUE, ...)

Arguments

dat

data matrix or data frame in which rows are samples and columns are response variable(s), or a dissimilarity object or a symmetric square matrix of dissimilarities.

grouping

Factor or numeric index for grouping observations.

permutations

a list of control values for the permutations as returned by the function how, or the number of permutations required, or a permutation matrix where each row gives the permuted indices. These are used to assess the significance of the MRPP statistic, \(delta\).

distance

Choice of distance metric that measures the dissimilarity between two observations . See vegdist for options. This will be used if dat was not a dissimilarity structure of a symmetric square matrix.

weight.type

choice of group weights. See Details below for options.

strata

An integer vector or factor specifying the strata for permutation. If supplied, observations are permuted only within the specified strata.

parallel

Number of parallel processes or a predefined socket cluster. With parallel = 1 uses ordinary, non-parallel processing. The parallel processing is done with parallel package.

dist

A dist object of dissimilarities, such as produced by functions dist, vegdist or designdist.

.

object, x

A mrpp or meandist result object.

kind

Draw a dendrogram or a histogram; see Details.

cluster

A clustering method for the hclust function for kind = "dendrogram". Any hclust method can be used, but perhaps only "average" and "single" make sense.

ylim

Limits for vertical axes (optional).

axes

Draw scale for the vertical axis.

...

Further arguments passed to functions.

Details

Multiple Response Permutation Procedure (MRPP) provides a test of whether there is a significant difference between two or more groups of sampling units. This difference may be one of location (differences in mean) or one of spread (differences in within-group distance; cf. Warton et al. 2012). Function mrpp operates on a data.frame matrix where rows are observations and responses data matrix. The response(s) may be uni- or multivariate. The method is philosophically and mathematically allied with analysis of variance, in that it compares dissimilarities within and among groups. If two groups of sampling units are really different (e.g. in their species composition), then average of the within-group compositional dissimilarities ought to be less than the average of the dissimilarities between two random collection of sampling units drawn from the entire population.

The mrpp statistic \(\delta\) is the overall weighted mean of within-group means of the pairwise dissimilarities among sampling units. The choice of group weights is currently not clear. The mrpp function offers three choices: (1) group size (\(n\)), (2) a degrees-of-freedom analogue (\(n-1\)), and (3) a weight that is the number of unique distances calculated among \(n\) sampling units (\(n(n-1)/2\)).

The mrpp algorithm first calculates all pairwise distances in the entire dataset, then calculates \(\delta\). It then permutes the sampling units and their associated pairwise distances, and recalculates \(\delta\) based on the permuted data. It repeats the permutation step permutations times. The significance test is the fraction of permuted deltas that are less than the observed delta, with a small sample correction. The function also calculates the change-corrected within-group agreement \(A = 1 -\delta/E(\delta)\), where \(E(\delta)\) is the expected \(\delta\) assessed as the average of dissimilarities. The summary method is based on summary.permustats.

If the first argument dat can be interpreted as dissimilarities, they will be used directly. In other cases the function treats dat as observations, and uses vegdist to find the dissimilarities. The default distance is Euclidean as in the traditional use of the method, but other dissimilarities in vegdist also are available.

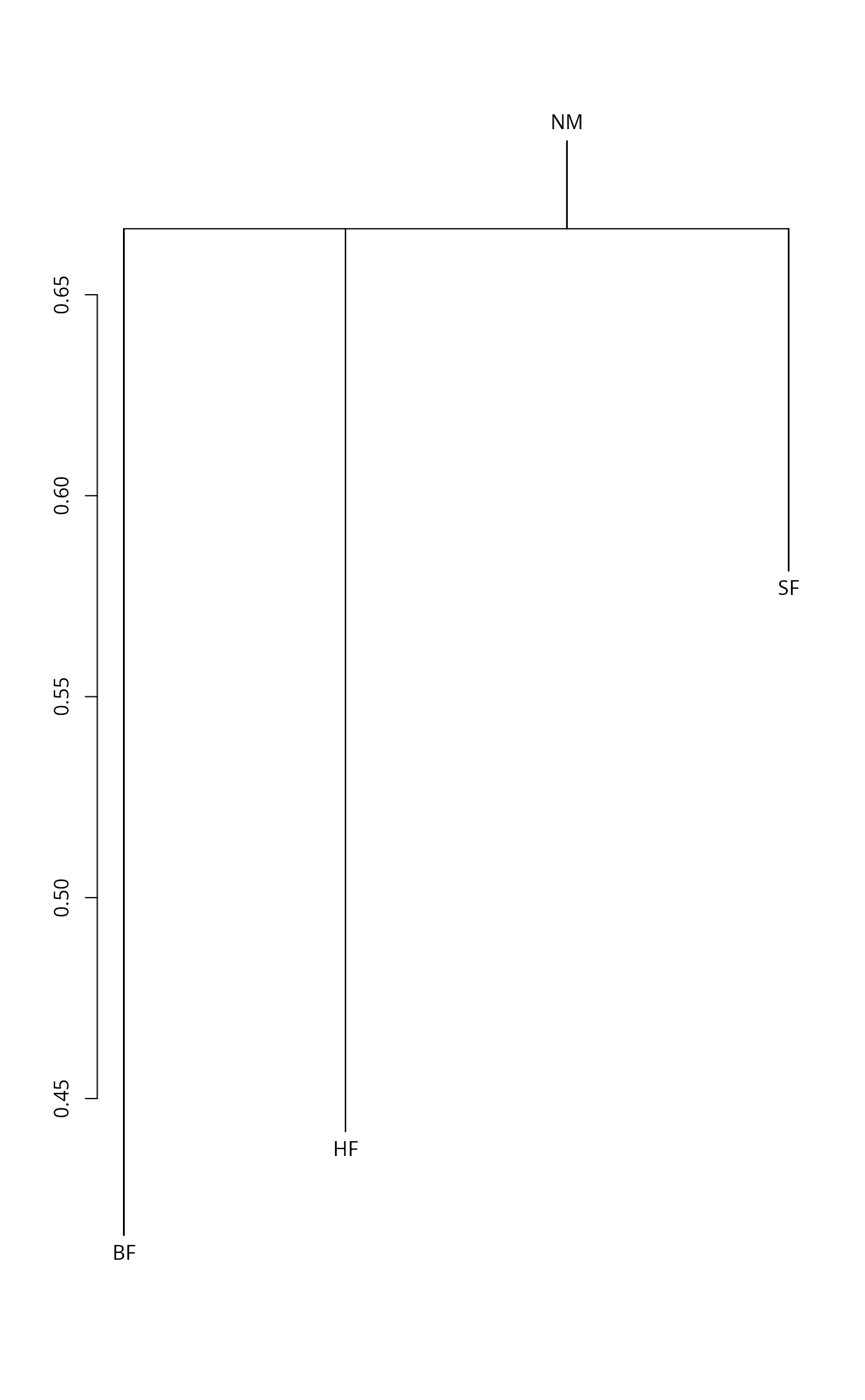
Function meandist calculates a matrix of mean within-cluster dissimilarities (diagonal) and between-cluster dissimilarities (off-diagonal elements), and an attribute n of grouping counts. Function summary finds the within-class, between-class and overall means of these dissimilarities, and the MRPP statistics with all weight.type options and the Classification Strength, CS (Van Sickle and Hughes, 2000). CS is defined for dissimilarities as \(\bar{B} - \bar{W}\), where \(\bar{B}\) is the mean between cluster dissimilarity and \(\bar{W}\) is the mean within cluster dissimilarity with weight.type = 1. The function does not perform significance tests for these statistics, but you must use mrpp with appropriate weight.type. There is currently no significance test for CS, but mrpp with weight.type = 1 gives the correct test for \(\bar{W}\) and a good approximation for CS. Function plot draws a dendrogram or a histogram of the result matrix based on the within-group and between group dissimilarities. The dendrogram is found with the method given in the cluster argument using function hclust. The terminal segments hang to within-cluster dissimilarity. If some of the clusters are more heterogeneous than the combined class, the leaf segment are reversed. The histograms are based on dissimilarities, but ore otherwise similar to those of Van Sickle and Hughes (2000): horizontal line is drawn at the level of mean between-cluster dissimilarity and vertical lines connect within-cluster dissimilarities to this line.

Value

The function returns a list of class mrpp with following items:

call

Function call.

delta

The overall weighted mean of group mean distances.

E.delta

expected delta, under the null hypothesis of no group structure. This is the mean of original dissimilarities.

CS

Classification strength (Van Sickle and Hughes, 2000). Currently not implemented and always NA.

n

Number of observations in each class.

classdelta

Mean dissimilarities within classes. The overall \(\delta\) is the weighted average of these values with given weight.type

.

Pvalue

Significance of the test.

A

A chance-corrected estimate of the proportion of the distances explained by group identity; a value analogous to a coefficient of determination in a linear model.

distance

Choice of distance metric used; the "method" entry of the dist object.

weight.type

The choice of group weights used.

boot.deltas

The vector of "permuted deltas," the deltas calculated from each of the permuted datasets. The distribution of this item can be inspected with permustats function.

permutations

The number of permutations used.

control

A list of control values for the permutations as returned by the function how.

References

B. McCune and J. B. Grace. 2002. Analysis of Ecological Communities. MjM Software Design, Gleneden Beach, Oregon, USA.

P. W. Mielke and K. J. Berry. 2001. Permutation Methods: A Distance Function Approach. Springer Series in Statistics. Springer.

J. Van Sickle and R. M. Hughes 2000. Classification strengths of ecoregions, catchments, and geographic clusters of aquatic vertebrates in Oregon. J. N. Am. Benthol. Soc. 19:370–384.

Warton, D.I., Wright, T.W., Wang, Y. 2012. Distance-based multivariate analyses confound location and dispersion effects. Methods in Ecology and Evolution, 3, 89–101

Author

M. Henry H. Stevens HStevens@muohio.edu and Jari Oksanen.

Note

This difference may be one of location (differences in mean) or one of spread (differences in within-group distance). That is, it may find a significant difference between two groups simply because one of those groups has a greater dissimilarities among its sampling units. Most mrpp models can be analysed with adonis2 which seems not suffer from the same problems as mrpp and is a more robust alternative.

See also

anosim for a similar test based on ranks, and mantel for comparing dissimilarities against continuous variables, and vegdist for obtaining dissimilarities, adonis2 is a more robust alternative in most cases.

Examples

data(dune)
data(dune.env)
dune.mrpp <- with(dune.env, mrpp(dune, Management))
dune.mrpp
#> 
#> Call:
#> mrpp(dat = dune, grouping = Management) 
#> 
#> Dissimilarity index: euclidean 
#> Weights for groups:  n 
#> 
#> Class means and counts:
#> 
#>       BF    HF    NM    SF   
#> delta 10.03 11.08 10.66 12.27
#> n     3     5     6     6    
#> 
#> Chance corrected within-group agreement A: 0.1246 
#> Based on observed delta 11.15 and expected delta 12.74 
#> 
#> Significance of delta: 0.001 
#> Permutation: free
#> Number of permutations: 999
#> 

# Save and change plotting parameters
def.par <- par(no.readonly = TRUE)
layout(matrix(1:2,nr=1))

plot(dune.ord <- metaMDS(dune, trace=0), type="text", display="sites" )
with(dune.env, ordihull(dune.ord, Management))

with(dune.mrpp, {
  fig.dist <- hist(boot.deltas, xlim=range(c(delta,boot.deltas)), 
                 main="Test of Differences Among Groups")
  abline(v=delta); 
  text(delta, 2*mean(fig.dist$counts), adj = -0.5,
     expression(bold(delta)), cex=1.5 )  }
)

par(def.par)
## meandist
dune.md <- with(dune.env, meandist(vegdist(dune), Management))
dune.md
#>           BF        HF        NM        SF
#> BF 0.4159972 0.4736637 0.7296979 0.6247169
#> HF 0.4736637 0.4418115 0.7217933 0.5673664
#> NM 0.7296979 0.7217933 0.6882438 0.7723367
#> SF 0.6247169 0.5673664 0.7723367 0.5813015
#> attr(,"class")
#> [1] "meandist" "matrix"  
#> attr(,"n")
#> grouping
#> BF HF NM SF 
#>  3  5  6  6 
summary(dune.md)
#> 
#> Mean distances:
#>                  Average
#> within groups  0.5746346
#> between groups 0.6664172
#> overall        0.6456454
#> 
#> Summary statistics:
#>                         Statistic
#> MRPP A weights n        0.1423836
#> MRPP A weights n-1      0.1339124
#> MRPP A weights n(n-1)   0.1099842
#> Classification strength 0.1127012
plot(dune.md)

plot(dune.md, kind="histogram")