This function computed classical PCNM by the principal coordinate analysis of a truncated distance matrix. These are commonly used to transform (spatial) distances to rectangular data that suitable for constrained ordination or regression.

pcnm(dis, threshold, w, dist.ret = FALSE)

Arguments

dis

A distance matrix.

threshold

A threshold value or truncation distance. If missing, minimum distance giving connected network will be used. This is found as the longest distance in the minimum spanning tree of dis.

w

Prior weights for rows.

dist.ret

Return the distances used to calculate the PCNMs.

Details

Principal Coordinates of Neighbourhood Matrix (PCNM) map distances between rows onto rectangular matrix on rows using a truncation threshold for long distances (Borcard & Legendre 2002). If original distances were Euclidean distances in two dimensions (like normal spatial distances), they could be mapped onto two dimensions if there is no truncation of distances. Because of truncation, there will be a higher number of principal coordinates. The selection of truncation distance has a huge influence on the PCNM vectors. The default is to use the longest distance to keep data connected. The distances above truncation threshold are given an arbitrary value of 4 times threshold. For regular data, the first PCNM vectors show a wide scale variation and later PCNM vectors show smaller scale variation (Borcard & Legendre 2002), but for irregular data the interpretation is not as clear.

The PCNM functions are used to express distances in rectangular form that is similar to normal explanatory variables used in, e.g., constrained ordination (rda, cca and dbrda) or univariate regression (lm) together with environmental variables (row weights should be supplied with cca; see Examples). This is regarded as a more powerful method than forcing rectangular environmental data into distances and using them in partial mantel analysis (mantel.partial) together with geographic distances (Legendre et al. 2008, but see Tuomisto & Ruokolainen 2008).

The function is based on pcnm function in Dray's unreleased spacemakeR package. The differences are that the current function uses spantree as an internal support function. The current function also can use prior weights for rows by using weighted metric scaling of wcmdscale. The use of row weights allows finding orthonormal PCNMs also for correspondence analysis (e.g., cca).

Value

A list of the following elements:

values

Eigenvalues obtained by the principal coordinates analysis.

vectors

Eigenvectors obtained by the principal coordinates analysis. They are scaled to unit norm. The vectors can be extracted with scores function. The default is to return all PCNM vectors, but argument choices selects the given vectors.

threshold

Truncation distance.

dist

The distance matrix where values above threshold are replaced with arbitrary value of four times the threshold. String "pcnm" is added to the method attribute, and new attribute threshold is added to the distances. This is returned only when dist.ret = TRUE.

References

Borcard D. and Legendre P. (2002) All-scale spatial analysis of ecological data by means of principal coordinates of neighbour matrices. Ecological Modelling 153, 51–68.

Legendre, P., Borcard, D and Peres-Neto, P. (2008) Analyzing or explaining beta diversity? Comment. Ecology 89, 3238–3244.

Tuomisto, H. & Ruokolainen, K. (2008) Analyzing or explaining beta diversity? A reply. Ecology 89, 3244–3256.

Author

Jari Oksanen, based on the code of Stephane Dray.

See also

Examples

## Example from Borcard & Legendre (2002)
data(mite.xy)
pcnm1 <- pcnm(dist(mite.xy))
op <- par(mfrow=c(1,3))
## Map of PCNMs in the sample plot
ordisurf(mite.xy, scores(pcnm1, choi=1), bubble = 4, main = "PCNM 1")
#> 
#> Family: gaussian 
#> Link function: identity 
#> 
#> Formula:
#> y ~ s(x1, x2, k = 10, bs = "tp", fx = FALSE)
#> 
#> Estimated degrees of freedom:
#> 8.71  total = 9.71 
#> 
#> REML score: -120.7705     
ordisurf(mite.xy, scores(pcnm1, choi=2), bubble = 4, main = "PCNM 2")
#> 
#> Family: gaussian 
#> Link function: identity 
#> 
#> Formula:
#> y ~ s(x1, x2, k = 10, bs = "tp", fx = FALSE)
#> 
#> Estimated degrees of freedom:
#> 7.18  total = 8.18 
#> 
#> REML score: -103.4662     
ordisurf(mite.xy, scores(pcnm1, choi=3), bubble = 4, main = "PCNM 3")

#> 
#> Family: gaussian 
#> Link function: identity 
#> 
#> Formula:
#> y ~ s(x1, x2, k = 10, bs = "tp", fx = FALSE)
#> 
#> Estimated degrees of freedom:
#> 8.32  total = 9.32 
#> 
#> REML score: -94.19053     
par(op)
## Weighted PCNM for CCA
data(mite)
rs <- rowSums(mite)/sum(mite)
pcnmw <- pcnm(dist(mite.xy), w = rs)
ord <- cca(mite ~ scores(pcnmw))
## Multiscale ordination: residual variance should have no distance
## trend
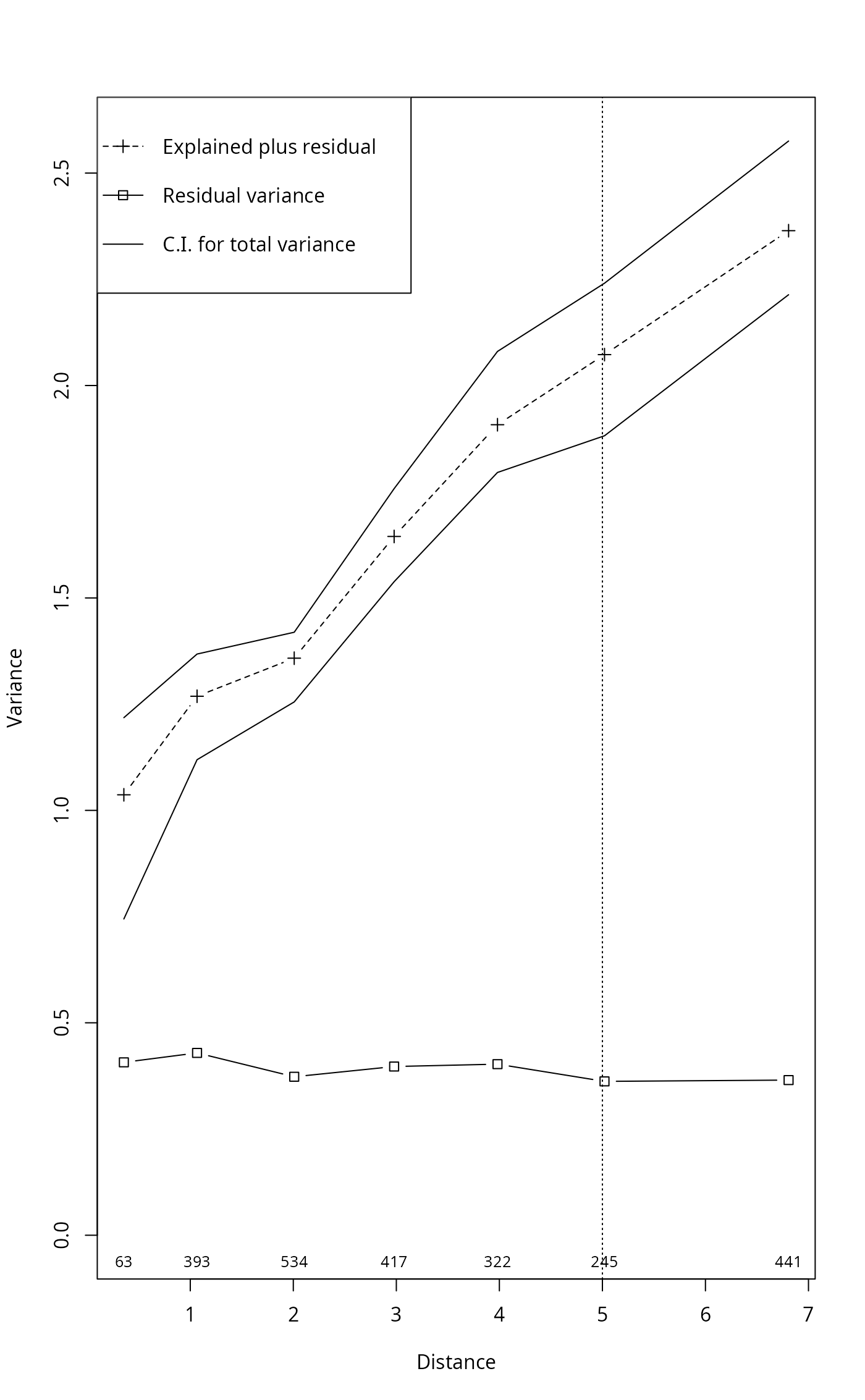
msoplot(mso(ord, mite.xy))