Function stepacross tries to replace dissimilarities with shortest paths stepping across intermediate sites while regarding dissimilarities above a threshold as missing data (NA). With path = "shortest" this is the flexible shortest path (Williamson 1978, Bradfield & Kenkel 1987), and with path = "extended" an approximation known as extended dissimilarities (De'ath 1999). The use of stepacross should improve the ordination with high beta diversity, when there are many sites with no species in common.

stepacross(dis, path = "shortest", toolong = 1, trace = TRUE, ...)

Arguments

dis

Dissimilarity data inheriting from class dist or a an object, such as a matrix, that can be converted to a dissimilarity matrix. Functions vegdist and dist are some functions producing suitable dissimilarity data.

path

The method of stepping across (partial match) Alternative "shortest" finds the shortest paths, and "extended" their approximation known as extended dissimilarities.

toolong

Shortest dissimilarity regarded as NA. The function uses a fuzz factor, so that dissimilarities close to the limit will be made NA, too.

trace

Trace the calculations.

...

Other parameters (ignored).

Details

Williamson (1978) suggested using flexible shortest paths to estimate dissimilarities between sites which have nothing in common, or no shared species. With path = "shortest" function stepacross replaces dissimilarities that are toolong or longer with NA, and tries to find shortest paths between all sites using remaining dissimilarities. Several dissimilarity indices are semi-metric which means that they do not obey the triangle inequality \(d_{ij} \leq d_{ik} + d_{kj}\), and shortest path algorithm can replace these dissimilarities as well, even when they are shorter than toolong.

De'ath (1999) suggested a simplified method known as extended dissimilarities, which are calculated with path = "extended". In this method, dissimilarities that are toolong or longer are first made NA, and then the function tries to replace these NA dissimilarities with a path through single stepping stone points. If not all NA could be replaced with one pass, the function will make new passes with updated dissimilarities as long as all NA are replaced with extended dissimilarities. This mean that in the second and further passes, the remaining NA dissimilarities are allowed to have more than one stepping stone site, but previously replaced dissimilarities are not updated. Further, the function does not consider dissimilarities shorter than toolong, although some of these could be replaced with a shorter path in semi-metric indices, and used as a part of other paths. In optimal cases, the extended dissimilarities are equal to shortest paths, but they may be longer.

As an alternative to defining too long dissimilarities with parameter toolong, the input dissimilarities can contain NAs. If toolong is zero or negative, the function does not make any dissimilarities into NA. If there are no NAs in the input and toolong = 0, path = "shortest" will find shorter paths for semi-metric indices, and path = "extended" will do nothing. Function no.shared can be used to set dissimilarities to NA.

If the data are disconnected or there is no path between all points, the result will contain NAs and a warning is issued. Several methods cannot handle NA dissimilarities, and this warning should be taken seriously. Function distconnected can be used to find connected groups and remove rare outlier observations or groups of observations.

Alternative path = "shortest" uses Dijkstra's method for finding flexible shortest paths, implemented as priority-first search for dense graphs (Sedgewick 1990). Alternative path = "extended" follows De'ath (1999), but implementation is simpler than in his code.

Value

Function returns an object of class dist with extended dissimilarities (see functions vegdist and dist). The value of path is appended to the method attribute.

References

Bradfield, G.E. & Kenkel, N.C. (1987). Nonlinear ordination using flexible shortest path adjustment of ecological distances. Ecology 68, 750–753.

De'ath, G. (1999). Extended dissimilarity: a method of robust estimation of ecological distances from high beta diversity data. Plant Ecol. 144, 191–199.

Sedgewick, R. (1990). Algorithms in C. Addison Wesley.

Williamson, M.H. (1978). The ordination of incidence data. J. Ecol. 66, 911-920.

Author

Jari Oksanen

Note

The function changes the original dissimilarities, and not all like this. It may be best to use the function only when you really must: extremely high beta diversity where a large proportion of dissimilarities are at their upper limit (no species in common).

Semi-metric indices vary in their degree of violating the triangle inequality. Morisita and Horn–Morisita indices of vegdist may be very strongly semi-metric, and shortest paths can change these indices very much. Mountford index violates basic rules of dissimilarities: non-identical sites have zero dissimilarity if species composition of the poorer site is a subset of the richer. With Mountford index, you can find three sites \(i, j, k\) so that \(d_{ik} = 0\) and \(d_{jk} = 0\), but \(d_{ij} > 0\). The results of stepacross on Mountford index can be very weird. If stepacross is needed, it is best to try to use it with more metric indices only.

See also

Function distconnected can find connected groups in disconnected data, and function no.shared can be used to set dissimilarities as NA. See swan for an alternative approach. Function stepacross is an essential component in isomap and cophenetic.spantree.

Examples

# There are no data sets with high beta diversity in vegan, but this
# should give an idea.
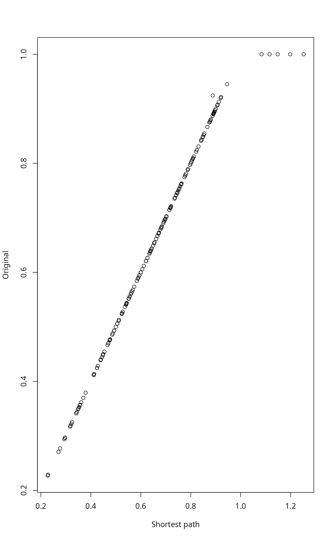
data(dune)
dis <- vegdist(dune)
edis <- stepacross(dis)
#> Too long or NA distances: 5 out of 190 (2.6%)
#> Stepping across 190 dissimilarities...
plot(edis, dis, xlab = "Shortest path", ylab = "Original")

## Manhattan distance have no fixed upper limit.
dis <- vegdist(dune, "manhattan")
is.na(dis) <- no.shared(dune)
dis <- stepacross(dis, toolong=0)
#> Too long or NA distances: 5 out of 190 (2.6%)
#> Stepping across 190 dissimilarities...