transace is ace packaged for easily automatically transforming all variables in a formula without a left-hand side. transace is a fast one-iteration version of transcan without imputation of NAs. The ggplot method makes nice transformation plots using ggplot2. Binary variables are automatically kept linear, and character or factor variables are automatically treated as categorical.

areg.boot uses areg or avas to fit additive regression models allowing all variables in the model (including the left-hand-side) to be transformed, with transformations chosen so as to optimize certain criteria. The default method uses areg whose goal it is to maximize \(R^2\). method="avas" explicity tries to transform the response variable so as to stabilize the variance of the residuals. All-variables-transformed models tend to inflate R^2 and it can be difficult to get confidence limits for each transformation. areg.boot solves both of these problems using the bootstrap. As with the validate function in the rms library, the Efron bootstrap is used to estimate the optimism in the apparent \(R^2\), and this optimism is subtracted from the apparent \(R^2\) to optain a bias-corrected \(R^2\). This is done however on the transformed response variable scale.

Tests with 3 predictors show that the avas and ace estimates are unstable unless the sample size exceeds 350. Apparent \(R^2\) with low sample sizes can be very inflated, and bootstrap estimates of \(R^2\) can be even more unstable in such cases, resulting in optimism-corrected \(R^2\) that are much lower even than the actual \(R^2\). The situation can be improved a little by restricting predictor transformations to be monotonic. On the other hand, the areg approach allows one to control overfitting by specifying the number of knots to use for each continuous variable in a restricted cubic spline function.

For method="avas" the response transformation is restricted to be monotonic. You can specify restrictions for transformations of predictors (and linearity for the response). When the first argument is a formula, the function automatically determines which variables are categorical (i.e., factor, category, or character vectors). Specify linear transformations by enclosing variables by the identify function (I()), and specify monotonicity by using monotone(variable). Monotonicity restrictions are not allowed with method="areg".

The summary method for areg.boot computes bootstrap estimates of standard errors of differences in predicted responses (usually on the original scale) for selected levels of each predictor against the lowest level of the predictor. The smearing estimator (see below) can be used here to estimate differences in predicted means, medians, or many other statistics. By default, quartiles are used for continuous predictors and all levels are used for categorical ones. See Details below. There is also a plot method for plotting transformation estimates, transformations for individual bootstrap re-samples, and pointwise confidence limits for transformations. Unless you already have a par(mfrow=) in effect with more than one row or column, plot will try to fit the plots on one page. A predict method computes predicted values on the original or transformed response scale, or a matrix of transformed predictors. There is a Function method for producing a list of R functions that perform the final fitted transformations. There is also a print method for areg.boot objects.

When estimated means (or medians or other statistical parameters) are requested for models fitted with areg.boot (by summary.areg.boot or predict.areg.boot), the “smearing” estimator of Duan (1983) is used. Here we estimate the mean of the untransformed response by computing the arithmetic mean of \(ginverse(lp + residuals)\), where ginverse is the inverse of the nonparametric transformation of the response (obtained by reverse linear interpolation), lp is the linear predictor for an individual observation on the transformed scale, and residuals is the entire vector of residuals estimated from the fitted model, on the transformed scales (n residuals for n original observations). The smearingEst function computes the general smearing estimate. For efficiency smearingEst recognizes that quantiles are transformation-preserving, i.e., when one wishes to estimate a quantile of the untransformed distribution one just needs to compute the inverse transformation of the transformed estimate after the chosen quantile of the vector of residuals is added to it. When the median is desired, the estimate is \(ginverse(lp + \mbox{median}(residuals))\). See the last example for how smearingEst can be used outside of areg.boot.

Mean is a generic function that returns an R function to compute the estimate of the mean of a variable. Its input is typically some kind of model fit object. Likewise, Quantile is a generic quantile function-producing function. Mean.areg.boot and Quantile.areg.boot create functions of a vector of linear predictors that transform them into the smearing estimates of the mean or quantile of the response variable, respectively. Quantile.areg.boot produces exactly the same value as predict.areg.boot or smearingEst. Mean approximates the mapping of linear predictors to means over an evenly spaced grid of by default 200 points. Linear interpolation is used between these points. This approximate method is much faster than the full smearing estimator once Mean creates the function. These functions are especially useful in nomogram (see the example on hypothetical data).

transace(formula, trim=0.01, data=environment(formula))

# S3 method for class 'transace'
print(x, ...)

# S3 method for class 'transace'
ggplot(data, mapping, ..., environment, nrow=NULL)

areg.boot(x, data, weights, subset, na.action=na.delete, 
          B=100, method=c("areg","avas"), nk=4, evaluation=100, valrsq=TRUE, 
          probs=c(.25,.5,.75), tolerance=NULL)

# S3 method for class 'areg.boot'
print(x, ...)

# S3 method for class 'areg.boot'
plot(x, ylim, boot=TRUE, col.boot=2, lwd.boot=.15,
     conf.int=.95, ...)

smearingEst(transEst, inverseTrans, res,
            statistic=c('median','quantile','mean','fitted','lp'),
            q)

# S3 method for class 'areg.boot'
summary(object, conf.int=.95, values, adj.to,
        statistic='median', q, ...)

# S3 method for class 'summary.areg.boot'
print(x, ...)

# S3 method for class 'areg.boot'
predict(object, newdata,
        statistic=c("lp", "median",
                    "quantile", "mean", "fitted", "terms"),
        q=NULL, ...) 

# S3 method for class 'areg.boot'
Function(object, type=c('list','individual'),
         ytype=c('transformed','inverse'),
         prefix='.', suffix='', pos=-1, ...)

Mean(object, ...)

Quantile(object, ...)

# S3 method for class 'areg.boot'
Mean(object, evaluation=200, ...)

# S3 method for class 'areg.boot'
Quantile(object, q=.5, ...)

Arguments

formula

a formula without a left-hand-side variable. Variables may be enclosed in monotone(), linear(), categorical() to make certain assumptions about transformations. categorical and linear need not be specified if they can be summized from the variable values.

x

for areg.boot x is a formula. For print or plot, an object created by areg.boot or transace. For print.summary.areg.boot, and object created by summary.areg.boot. For ggplot is the result of transace.

object

an object created by areg.boot, or a model fit object suitable for Mean or Quantile.

transEst

a vector of transformed values. In log-normal regression these could be predicted log(Y) for example.

inverseTrans

a function specifying the inverse transformation needed to change transEst to the original untransformed scale. inverseTrans may also be a 2-element list defining a mapping from the transformed values to untransformed values. Linear interpolation is used in this case to obtain untransform values.

trim

quantile to which to trim original and transformed values for continuous variables for purposes of plotting the transformations with ggplot.transace

nrow

the number of rows to graph for transace transformations, with the default chosen by ggplot2

data

data frame to use if x is a formula and variables are not already in the search list. For ggplot is a transace object.

environment,mapping

ignored

weights

a numeric vector of observation weights. By default, all observations are weighted equally.

subset

an expression to subset data if x is a formula

na.action

a function specifying how to handle NAs. Default is na.delete.

B

number of bootstrap samples (default=100)

method

"areg" (the default) or "avas"

nk

number of knots for continuous variables not restricted to be linear. Default is 4. One or two is not allowed. nk=0 forces linearity for all continuous variables.

evaluation

number of equally-spaced points at which to evaluate (and save) the nonparametric transformations derived by avas or ace. Default is 100. For Mean.areg.boot, evaluation is the number of points at which to evaluate exact smearing estimates, to approximate them using linear interpolation (default is 200).

valrsq

set to TRUE to more quickly do bootstrapping without validating \(R^2\)

probs

vector probabilities denoting the quantiles of continuous predictors to use in estimating effects of those predictors

tolerance

singularity criterion; list source code for the lm.fit.qr.bare function.

res

a vector of residuals from the transformed model. Not required when statistic="lp" or statistic="fitted".

statistic

statistic to estimate with the smearing estimator. For smearingEst, the default results in computation of the sample median of the model residuals, then smearingEst adds the median residual and back-transforms to get estimated median responses on the original scale. statistic="lp" causes predicted transformed responses to be computed. For smearingEst, the result (for statistic="lp") is the input argument transEst. statistic="fitted" gives predicted untransformed responses, i.e., \(ginverse(lp)\), where ginverse is the inverse of the estimated response transformation, estimated by reverse linear interpolation on the tabulated nonparametric response transformation or by using an explicit analytic function. statistic="quantile" generalizes "median" to any single quantile q which must be specified. "mean" causes the population mean response to be estimated. For predict.areg.boot, statistic="terms" returns a matrix of transformed predictors. statistic can also be any R function that computes a single value on a vector of values, such as statistic=var. Note that in this case the function name is not quoted.

q

a single quantile of the original response scale to estimate, when statistic="quantile", or for Quantile.areg.boot.

ylim

2-vector of y-axis limits

boot

set to FALSE to not plot any bootstrapped transformations. Set it to an integer k to plot the first k bootstrap estimates.

col.boot

color for bootstrapped transformations

lwd.boot

line width for bootstrapped transformations

conf.int

confidence level (0-1) for pointwise bootstrap confidence limits and for estimated effects of predictors in summary.areg.boot. The latter assumes normality of the estimated effects.

values

a list of vectors of settings of the predictors, for predictors for which you want to overide settings determined from probs. The list must have named components, with names corresponding to the predictors. Example: values=list(x1=c(2,4,6,8), x2=c(-1,0,1)) specifies that summary is to estimate the effect on y of changing x1 from 2 to 4, 2 to 6, 2 to 8, and separately, of changing x2 from -1 to 0 and -1 to 1.

adj.to

a named vector of adjustment constants, for setting all other predictors when examining the effect of a single predictor in summary. The more nonlinear is the transformation of y the more the adjustment settings will matter. Default values are the medians of the values defined by values or probs. You only need to name the predictors for which you are overriding the default settings. Example: adj.to=c(x2=0,x5=10) will set x2 to 0 and x5 to 10 when assessing the impact of variation in the other predictors.

newdata

a data frame or list containing the same number of values of all of the predictors used in the fit. For factor predictors the levels attribute do not need to be in the same order as those used in the original fit, and not all levels need to be represented. If newdata is omitted, you can still obtain linear predictors (on the transformed response scale) and fitted values (on the original response scale), but not "terms".

type

specifies how Function is to return the series of functions that define the transformations of all variables. By default a list is created, with the names of the list elements being the names of the variables. Specify type="individual" to have separate functions created in the current environment (pos=-1, the default) or in location defined by pos if where is specified. For the latter method, the names of the objects created are the names of the corresponding variables, prefixed by prefix and with suffix appended to the end. If any of pos, prefix, or suffix is specified, type is automatically set to "individual".

ytype

By default the first function created by Function is the y-transformation. Specify ytype="inverse" to instead create the inverse of the transformation, to be able to obtain originally scaled y-values.

prefix

character string defining the prefix for function names created when type="individual". By default, the function specifying the transformation for variable x will be named .x.

suffix

character string defining the suffix for the function names

pos

See assign.

...

arguments passed to other functions. Ignored for print.transace and ggplot.transace.

Value

transace returns a list of class transace containing these elements: n (number of non-missing observations used), transformed (a matrix containing transformed values), rsq (vector of \(R^2\) with which each variable can be predicted from the others), omitted (row numbers of data that were deleted due to NAs), trantab (compact transformation lookups), levels (original levels of character and factor varibles if the input was a data frame), trim (value of trim passed to transace), limits (the limits for plotting raw and transformed variables, computed from trim), and type (a vector of transformation types used for the variables).

areg.boot returns a list of class areg.boot containing many elements, including (if valrsq is TRUE) rsquare.app and rsquare.val. summary.areg.boot returns a list of class summary.areg.boot containing a matrix of results for each predictor and a vector of adjust-to settings. It also contains the call and a label for the statistic that was computed. A print method for these objects handles the printing. predict.areg.boot returns a vector unless statistic="terms", in which case it returns a matrix. Function.areg.boot returns by default a list of functions whose argument is one of the variables (on the original scale) and whose returned values are the corresponding transformed values. The names of the list of functions correspond to the names of the original variables. When type="individual", Function.areg.boot invisibly returns the vector of names of the created function objects. Mean.areg.boot and Quantile.areg.boot also return functions.

smearingEst returns a vector of estimates of distribution parameters of class labelled so that print.labelled wil print a label documenting the estimate that was used (see label). This label can be retrieved for other purposes by using e.g. label(obj), where obj was the vector returned by smearingEst.

Details

As transace only does one iteration over the predictors, it may not find optimal transformations and it will be dependent on the order of the predictors in x.

ace and avas standardize transformed variables to have mean zero and variance one for each bootstrap sample, so if a predictor is not important it will still consistently have a positive regression coefficient. Therefore using the bootstrap to estimate standard errors of the additive least squares regression coefficients would not help in drawing inferences about the importance of the predictors. To do this, summary.areg.boot computes estimates of, e.g., the inter-quartile range effects of predictors in predicting the response variable (after untransforming it). As an example, at each bootstrap repetition the estimated transformed value of one of the predictors is computed at the lower quartile, median, and upper quartile of the raw value of the predictor. These transformed x values are then multipled by the least squares estimate of the partial regression coefficient for that transformed predictor in predicting transformed y. Then these weighted transformed x values have the weighted transformed x value corresponding to the lower quartile subtracted from them, to estimate an x effect accounting for nonlinearity. The last difference computed is then the standardized effect of raising x from its lowest to its highest quartile. Before computing differences, predicted values are back-transformed to be on the original y scale in a way depending on statistic and q. The sample standard deviation of these effects (differences) is taken over the bootstrap samples, and this is used to compute approximate confidence intervals for effects andapproximate P-values, both assuming normality.

predict does not re-insert NAs corresponding to observations that were dropped before the fit, when newdata is omitted.

statistic="fitted" estimates the same quantity as statistic="median" if the residuals on the transformed response have a symmetric distribution. The two provide identical estimates when the sample median of the residuals is exactly zero. The sample mean of the residuals is constrained to be exactly zero although this does not simplify anything.

Author

Frank Harrell
Department of Biostatistics
Vanderbilt University School of Medicine
fh@fharrell.com

References

Harrell FE, Lee KL, Mark DB (1996): Stat in Med 15:361–387.

Duan N (1983): Smearing estimate: A nonparametric retransformation method. JASA 78:605–610.

Wang N, Ruppert D (1995): Nonparametric estimation of the transformation in the transform-both-sides regression model. JASA 90:522–534.

See avas, ace for primary references.

Examples

# xtrans <- transace(~ monotone(age) + sex + blood.pressure + categorical(race.code))
# print(xtrans)  # show R^2s and a few other things
# ggplot(xtrans) # show transformations

# Generate random data from the model y = exp(x1 + epsilon/3) where
# x1 and epsilon are Gaussian(0,1)
set.seed(171)  # to be able to reproduce example
x1 <- rnorm(200)
x2 <- runif(200)  # a variable that is really unrelated to y]
x3 <- factor(sample(c('cat','dog','cow'), 200,TRUE))  # also unrelated to y
y  <- exp(x1 + rnorm(200)/3)
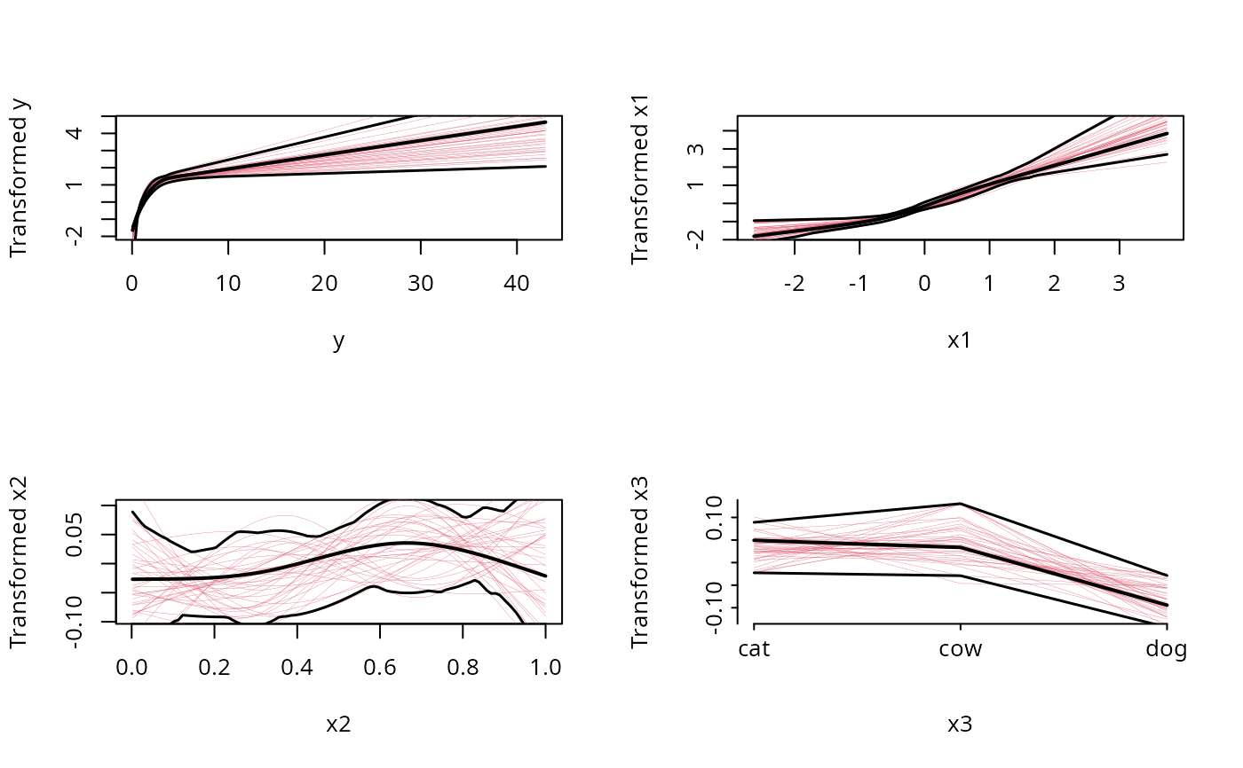
f  <- areg.boot(y ~ x1 + x2 + x3, B=40)
#> 1 
2 
3 
4 
5 
6 
7 
8 
9 
10 
11 
12 
13 
14 
15 
16 
17 
18 
19 
20 
21 
22 
23 
24 
25 
26 
27 
28 
29 
30 
31 
32 
33 
34 
35 
36 
37 
38 
39 
40 

f
#> 
#> areg Additive Regression Model
#> 
#> areg.boot(x = y ~ x1 + x2 + x3, B = 40)
#> 
#> 
#> Predictor Types
#> 
#>    type d.f.
#> x1    s    3
#> x2    s    3
#> x3    c    2
#> 
#> y type: s	d.f.: 3
#> 
#> n= 200   p= 3 
#> 
#> Apparent R2 on transformed Y scale: 0.905
#> Bootstrap validated R2            : 0.862
#> 
#> Coefficients of standardized transformations:
#> 
#> Intercept        x1        x2        x3 
#>  1.25e-16  9.51e-01  9.51e-01  9.51e-01 
#> 
#> 
#> Residuals on transformed scale:
#> 
#>       Min        1Q    Median        3Q       Max      Mean      S.D. 
#> -7.12e-01 -2.08e-01 -7.07e-03  1.70e-01  9.52e-01 -4.49e-18  3.09e-01 
#> 
plot(f)

# Note that the fitted transformation of y is very nearly log(y)
# (the appropriate one), the transformation of x1 is nearly linear,
# and the transformations of x2 and x3 are essentially flat 
# (specifying monotone(x2) if method='avas' would have resulted
# in a smaller confidence band for x2)


summary(f)
#> summary.areg.boot(object = f)
#> 
#> Estimates based on 40 resamples
#> 
#> 
#> 
#> Values to which predictors are set when estimating
#> effects of other predictors:
#> 
#>      y     x1     x2     x3 
#> 1.0004 0.0528 0.5117 2.0000 
#> 
#> Estimates of differences of effects on Median Y (from first X
#> value), and bootstrap standard errors of these differences.
#> Settings for X are shown as row headings.
#> 
#> 
#> Predictor: x1 
#>          
#> x         Differences    S.E Lower 0.95 Upper 0.95    Z  Pr(|Z|)
#>   -0.6289       0.000     NA         NA         NA   NA       NA
#>    0.0528       0.511 0.0453      0.422       0.60 11.3 1.49e-29
#>    0.6979       1.400 0.1282      1.148       1.65 10.9 9.75e-28
#> 
#> 
#> Predictor: x2 
#>        
#> x       Differences    S.E Lower 0.95 Upper 0.95     Z Pr(|Z|)
#>   0.223      0.0000     NA         NA         NA    NA      NA
#>   0.512      0.0362 0.0435    -0.0491      0.121 0.832   0.405
#>   0.768      0.0427 0.0699    -0.0942      0.180 0.612   0.541
#> 
#> 
#> Predictor: x3 
#>      
#> x     Differences    S.E Lower 0.95 Upper 0.95      Z Pr(|Z|)
#>   cat      0.0000     NA         NA         NA     NA      NA
#>   cow     -0.0135 0.0605     -0.132     0.1050 -0.223 0.82357
#>   dog     -0.1184 0.0409     -0.198    -0.0383 -2.898 0.00376


# use summary(f, values=list(x2=c(.2,.5,.8))) for example if you
# want to use nice round values for judging effects


# Plot Y hat vs. Y (this doesn't work if there were NAs)
plot(fitted(f), y)  # or: plot(predict(f,statistic='fitted'), y)



# Show fit of model by varying x1 on the x-axis and creating separate
# panels for x2 and x3.  For x2 using only a few discrete values
newdat <- expand.grid(x1=seq(-2,2,length=100),x2=c(.25,.75),
                      x3=c('cat','dog','cow'))
yhat <- predict(f, newdat, statistic='fitted')  
# statistic='mean' to get estimated mean rather than simple inverse trans.
xYplot(yhat ~ x1 | x2, groups=x3, type='l', data=newdat)
#> Error in eval(parse(text = yvname), data): object 'yhat' not found


if (FALSE) { # \dontrun{
# Another example, on hypothetical data
f <- areg.boot(response ~ I(age) + monotone(blood.pressure) + race)
# use I(response) to not transform the response variable
plot(f, conf.int=.9)
# Check distribution of residuals
plot(fitted(f), resid(f))
qqnorm(resid(f))
# Refit this model using ols so that we can draw a nomogram of it.
# The nomogram will show the linear predictor, median, mean.
# The last two are smearing estimators.
Function(f, type='individual')  # create transformation functions
f.ols <- ols(.response(response) ~ age + 
             .blood.pressure(blood.pressure) + .race(race))
# Note: This model is almost exactly the same as f but there
# will be very small differences due to interpolation of
# transformations
meanr <- Mean(f)      # create function of lp computing mean response
medr  <- Quantile(f)  # default quantile is .5
nomogram(f.ols, fun=list(Mean=meanr,Median=medr))


# Create S functions that will do the transformations
# This is a table look-up with linear interpolation
g <- Function(f)
plot(blood.pressure, g$blood.pressure(blood.pressure))
# produces the central curve in the last plot done by plot(f)
} # }


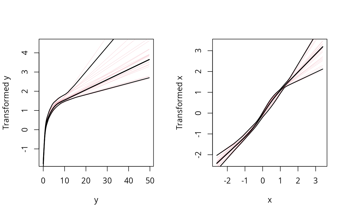
# Another simulated example, where y has a log-normal distribution
# with mean x and variance 1.  Untransformed y thus has median
# exp(x) and mean exp(x + .5sigma^2) = exp(x + .5)
# First generate data from the model y = exp(x + epsilon),
# epsilon ~ Gaussian(0, 1)


set.seed(139)
n <- 1000
x <- rnorm(n)
y <- exp(x + rnorm(n))
f <- areg.boot(y ~ x, B=20)
#> 1 
2 
3 
4 
5 
6 
7 
8 
9 
10 
11 
12 
13 
14 
15 
16 
17 
18 
19 
20 

plot(f)       # note log shape for y, linear for x.  Good!

xs <- c(-2, 0, 2)
d <- data.frame(x=xs)
predict(f, d, 'fitted')
#> Inverse Transformation 
#> [1] 0.217 0.945 6.427
predict(f, d, 'median')   # almost same; median residual=-.001
#> Median 
#> [1] 0.216 0.944 6.412
exp(xs)                   # population medians
#> [1] 0.135 1.000 7.389
predict(f, d, 'mean')
#> Mean 
#> [1]  0.261  1.675 10.113
exp(xs + .5)              # population means
#> [1]  0.223  1.649 12.182


# Show how smearingEst works
res <- c(-1,0,1)          # define residuals
y <- 1:5
ytrans <- log(y)
ys <- seq(.1,15,length=50)
trans.approx <- list(x=log(ys), y=ys)
options(digits=4)
smearingEst(ytrans, exp, res, 'fitted')          # ignores res
#> Inverse Transformation 
#> [1] 1 2 3 4 5
smearingEst(ytrans, trans.approx, res, 'fitted') # ignores res 
#> Inverse Transformation 
#> [1] 1.002 2.004 3.004 4.002 5.001
smearingEst(ytrans, exp, res, 'median')          # median res=0
#> Median 
#> [1] 1 2 3 4 5
smearingEst(ytrans, exp, res+.1, 'median')       # median res=.1
#> Median 
#> [1] 1.105 2.210 3.316 4.421 5.526
smearingEst(ytrans, trans.approx, res, 'median')
#> Median 
#> [1] 1.002 2.004 3.004 4.002 5.001
smearingEst(ytrans, exp, res, 'mean')
#> Mean 
#> [1] 1.362 2.724 4.086 5.448 6.810
mean(exp(ytrans[2] + res))                       # should equal 2nd # above
#> [1] 2.724
smearingEst(ytrans, trans.approx, res, 'mean')
#> Mean 
#> [1] 1.369 2.728 4.091 5.452 6.813
smearingEst(ytrans, trans.approx, res, mean)
#> mean 
#> [1] 1.369 2.728 4.091 5.452 6.813
# Last argument can be any statistical function operating
# on a vector that returns a single value