vignettes/v23-auc-integration-methods.Rmd
v23-auc-integration-methods.RmdThere are 3 methods for choosing how to integrate the AUC between two concentration measurements in PKNCA. They are lin up/log down, linear and lin-log. Additionally, there are 3 methods for extrapolating after the last concentration above the limit of quantification. They are AUCinf, AUClast and AUCall. Other methods of calculating AUC (such as AUCtau and AUCint) are made with variants of these.
Note that other NCA tools may not describe interpolation as zero. The zero-interpolation rules are used by PKNCA to assist with other methods used across the suite of tools for interpolation and data cleaning within PKNCA. The zero-interpolation rules could be swapped for linear trapezoidal rules with the same effects here.
"lin up/log down") interpolation
Linear up/logarithmic down interpolation is the most commonly used method for PK, and it is the default for PKNCA.
Linear up/logarithmic down interpolation is often used when an exogenous substance is dosed and measured, and when the elimination likely occurs by first-order elimination from the body.
Linear up/logarithmic down interpolation uses the following rules in order for each pair of concentrations through Tlast:
"linear") interpolation
Linear trapezoidal interpolation is often used when an endogenous substance is measured (and possibly dosed), and when the elimination may not occur by first-order elimination processes.
Linear trapezoidal interpolation uses the following rules in order for each pair of concentrations through Tlast:
"lin-log") interpolation
Linear to Tmax/logarithmic after Tmax interpolation is infrequently used. It uses the following rules in order for each pair of concentrations through Tlast:
"AUClast" extrapolation
AUClast extrapolation after Tlast is the simplest. It is no extrapolation; the extrapolated AUC integral is zero.
"AUCall" extrapolation
AUCall extrapolation after Tlast has two rules:

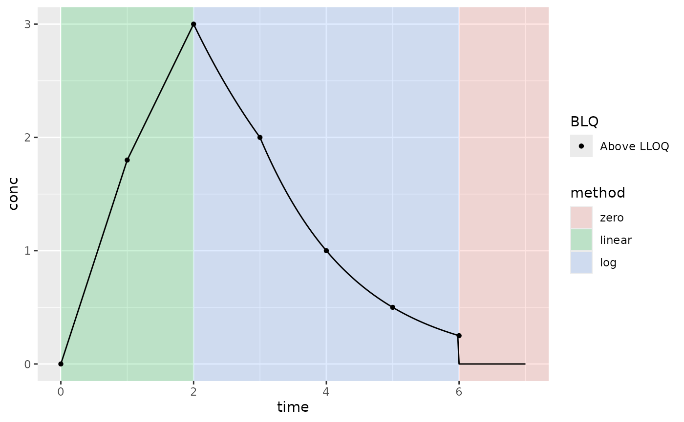
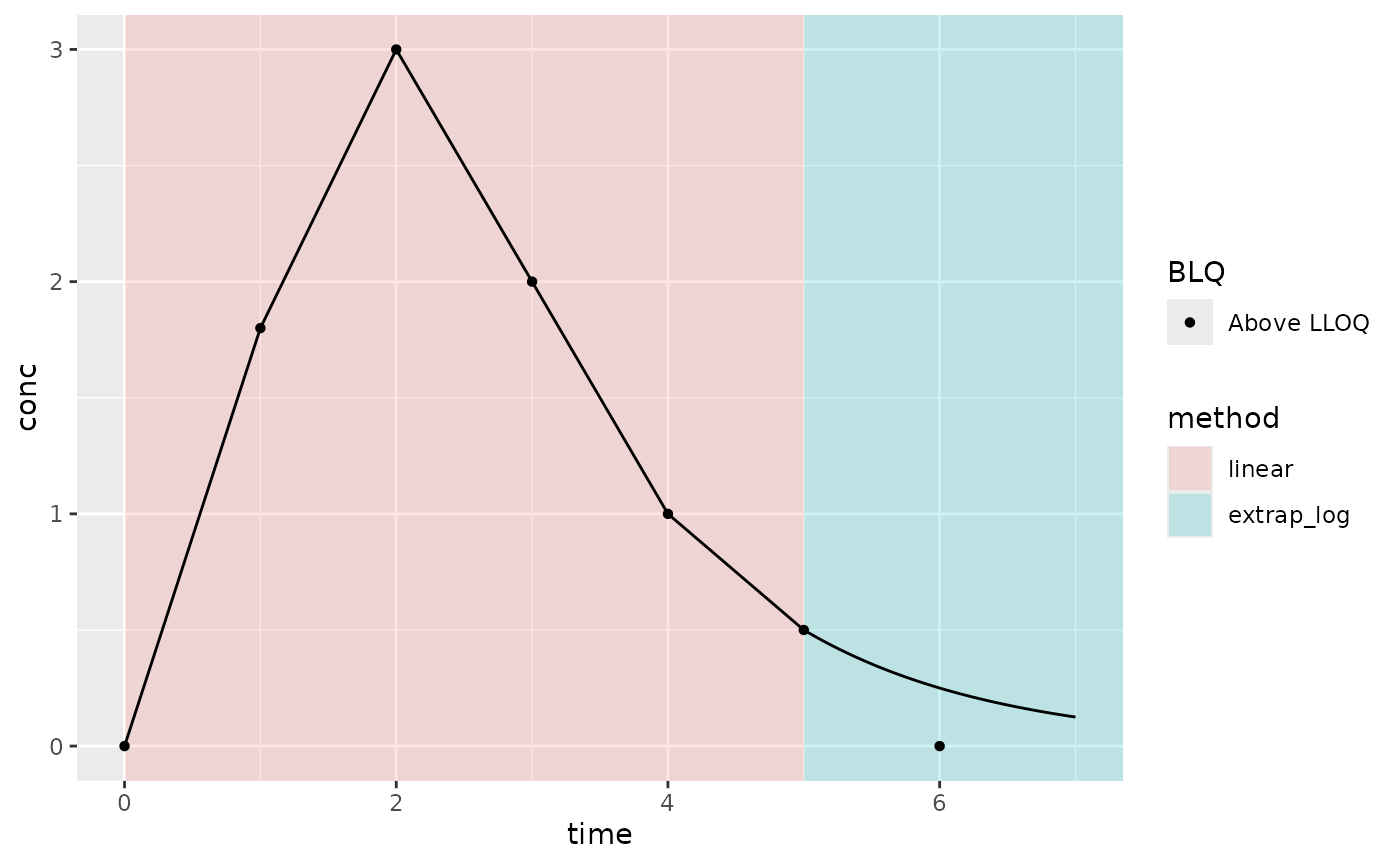
Example PK where Clast is above the LLOQ; lin up/log down interpolation method; AUCinf extrapolation method (AUC type); and keeping all BLQ values (not default BLQ handling)

Example PK where Clast is above the LLOQ; lin up/log down interpolation method; AUClast extrapolation method (AUC type); and keeping all BLQ values (not default BLQ handling)

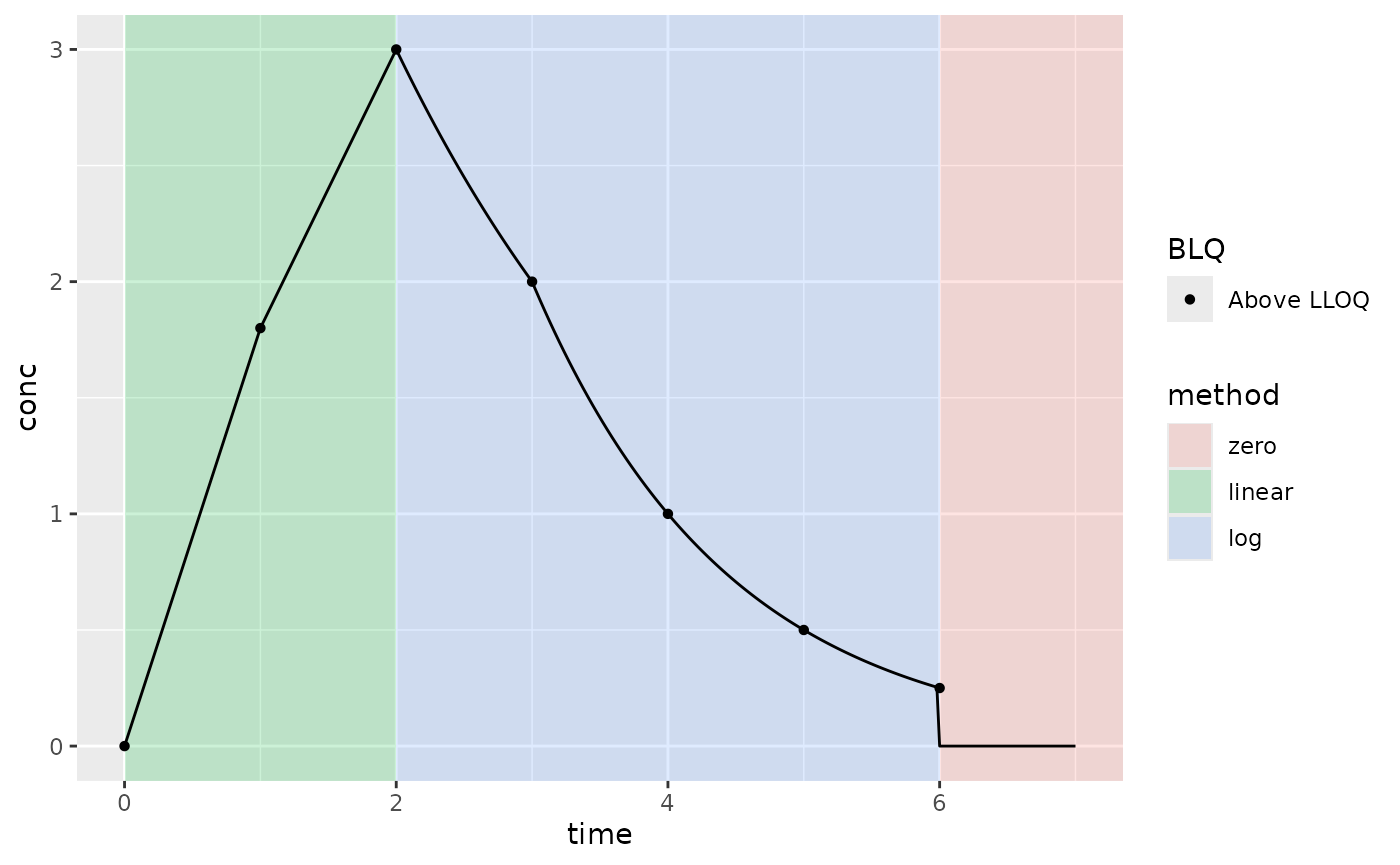
Example PK where Clast is above the LLOQ; lin up/log down interpolation method; AUCall extrapolation method (AUC type); and keeping all BLQ values (not default BLQ handling)

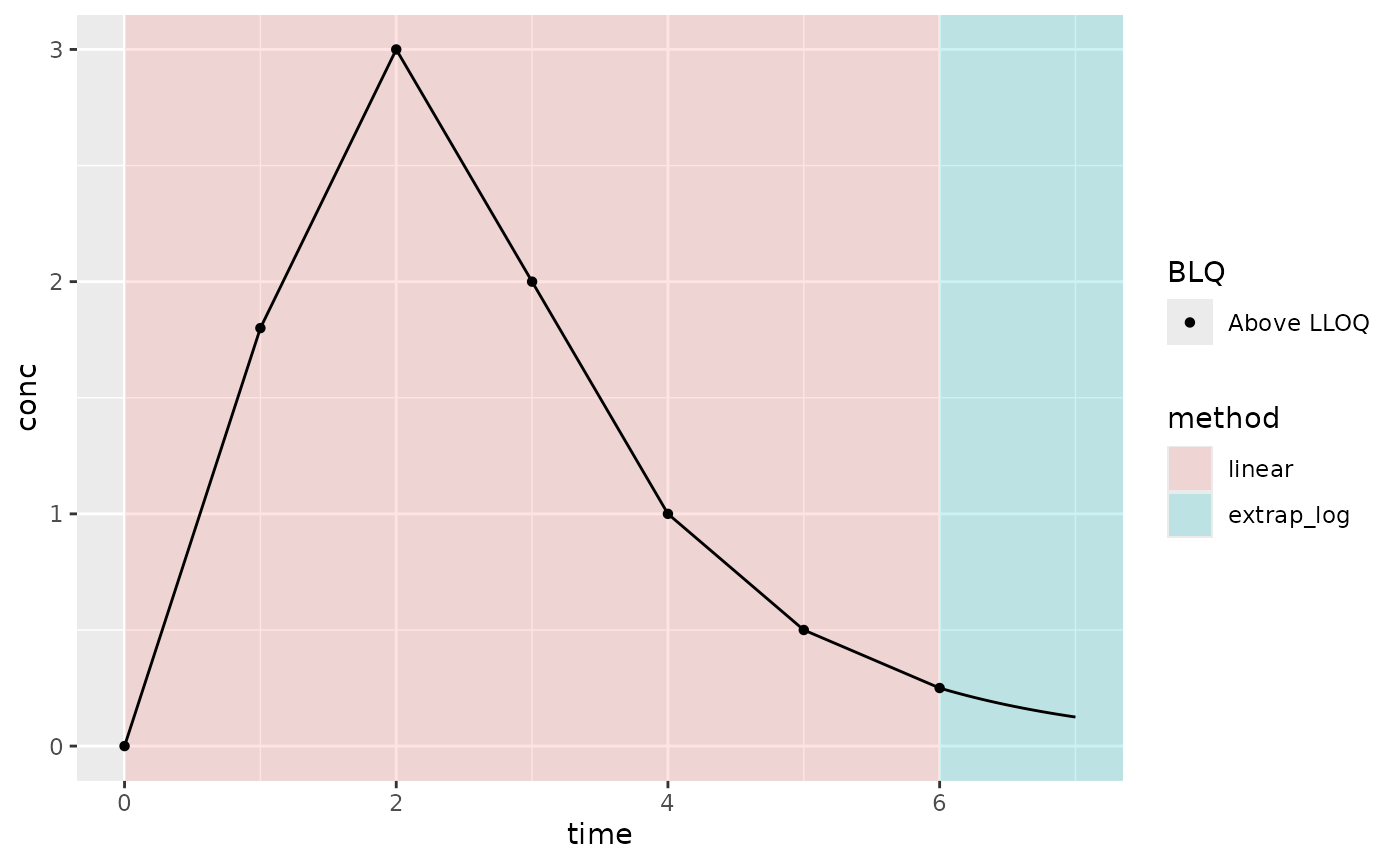
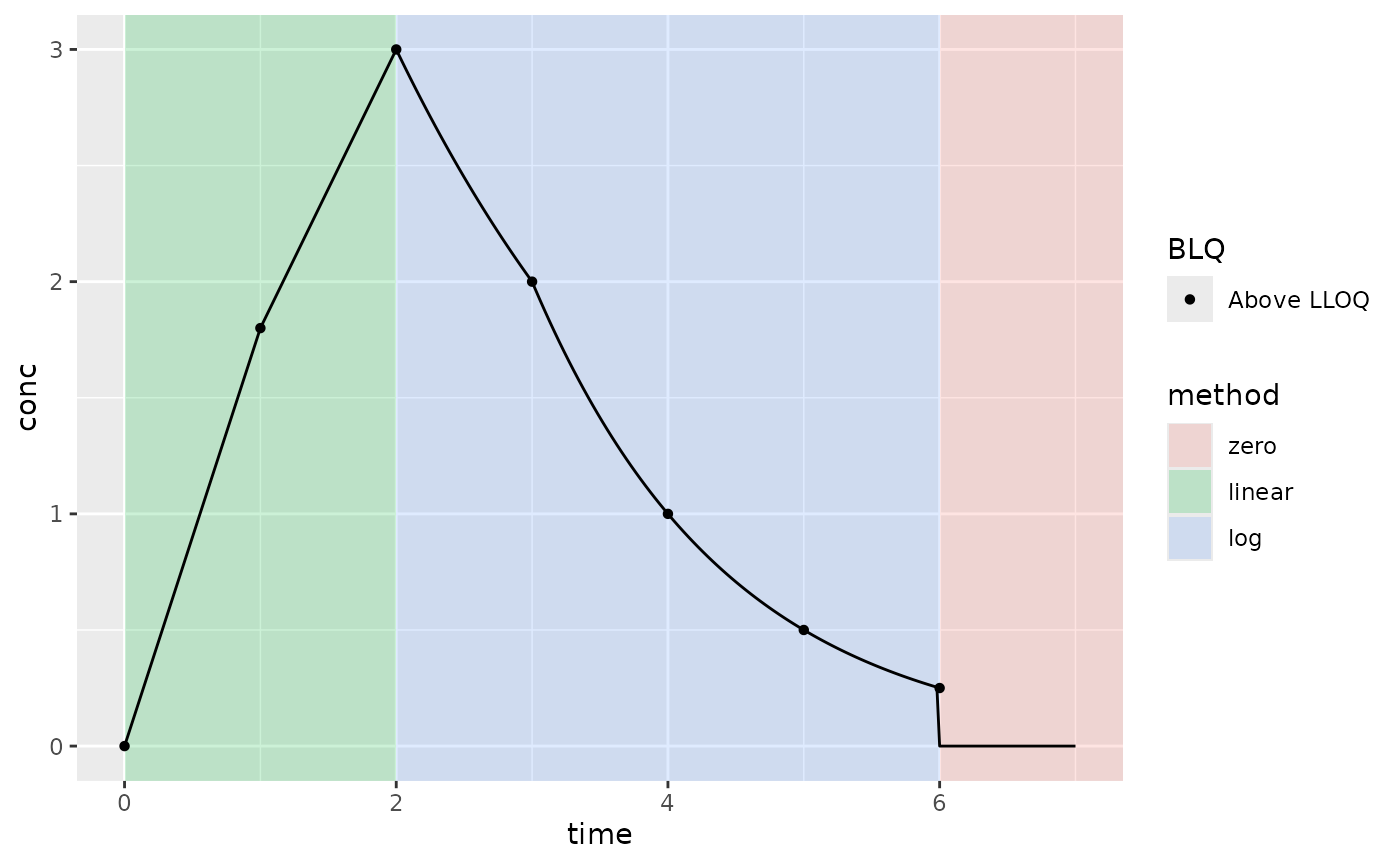
Example PK where Clast is above the LLOQ; linear interpolation method; AUCinf extrapolation method (AUC type); and keeping all BLQ values (not default BLQ handling)

Example PK where Clast is above the LLOQ; linear interpolation method; AUClast extrapolation method (AUC type); and keeping all BLQ values (not default BLQ handling)

Example PK where Clast is above the LLOQ; linear interpolation method; AUCall extrapolation method (AUC type); and keeping all BLQ values (not default BLQ handling)

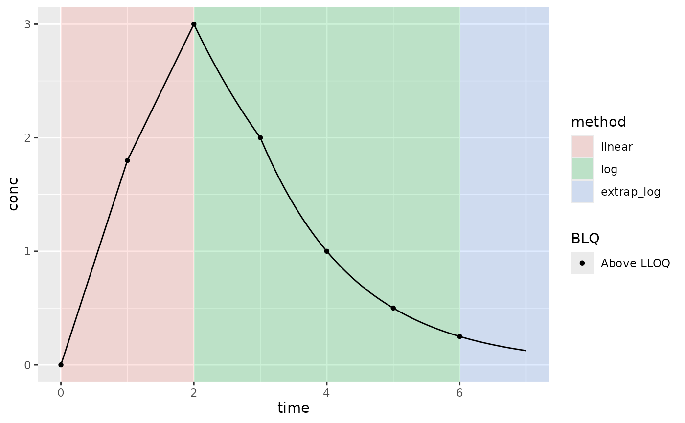
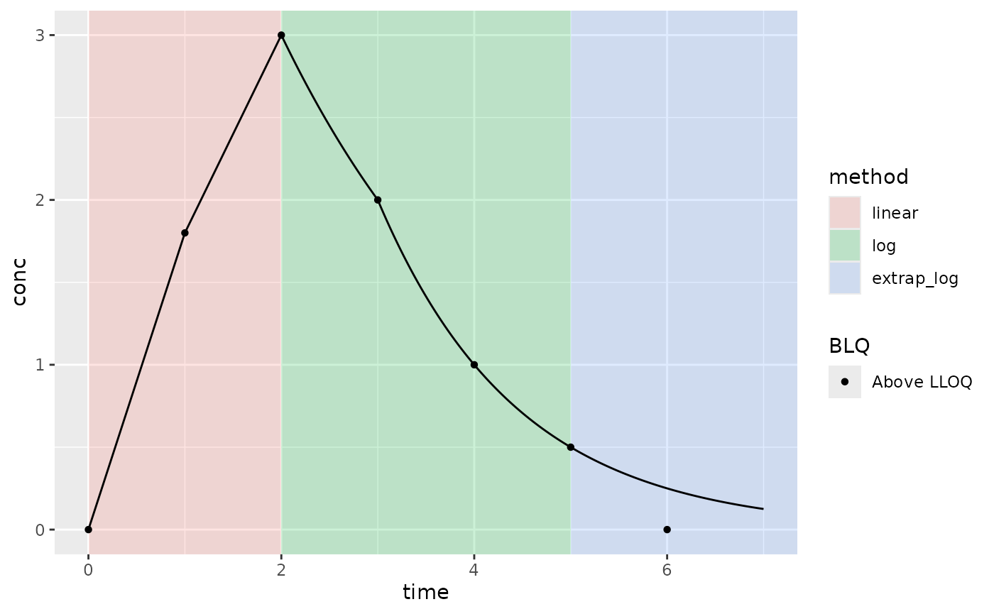
Example PK where Clast is above the LLOQ; lin-log interpolation method; AUCinf extrapolation method (AUC type); and keeping all BLQ values (not default BLQ handling)

Example PK where Clast is above the LLOQ; lin-log interpolation method; AUClast extrapolation method (AUC type); and keeping all BLQ values (not default BLQ handling)

Example PK where Clast is above the LLOQ; lin-log interpolation method; AUCall extrapolation method (AUC type); and keeping all BLQ values (not default BLQ handling)

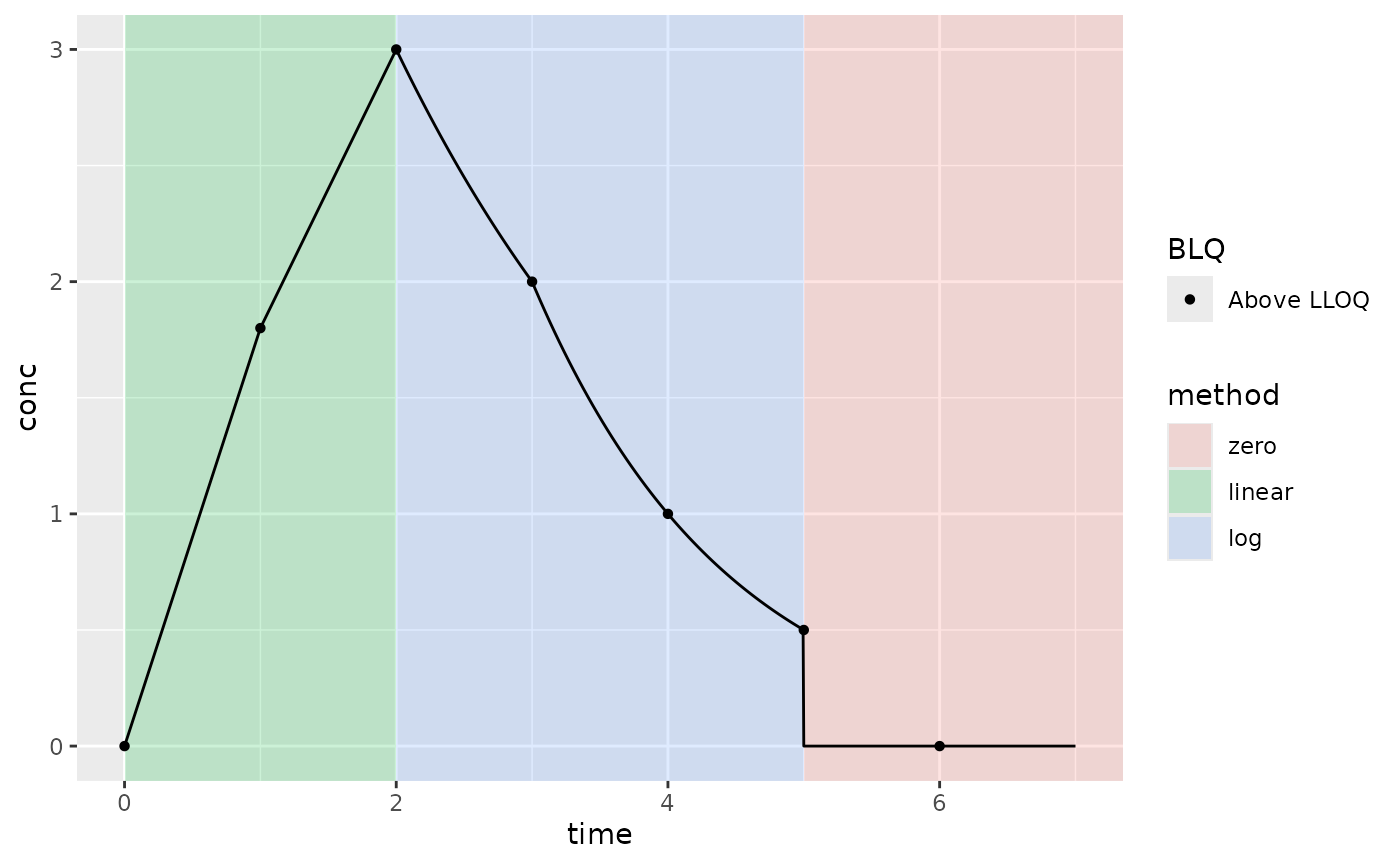
Example PK where Clast is below the LLOQ; lin up/log down interpolation method; AUCinf extrapolation method (AUC type); and keeping all BLQ values (not default BLQ handling)

Example PK where Clast is below the LLOQ; lin up/log down interpolation method; AUClast extrapolation method (AUC type); and keeping all BLQ values (not default BLQ handling)

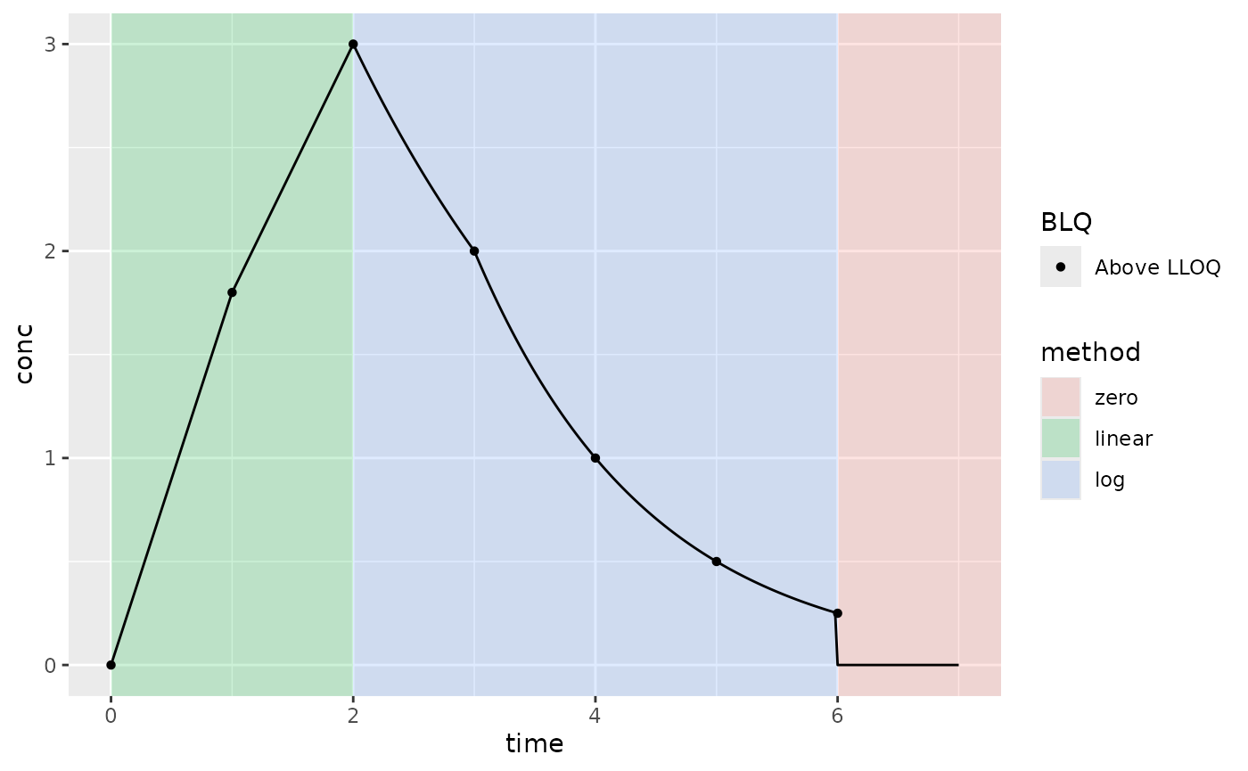
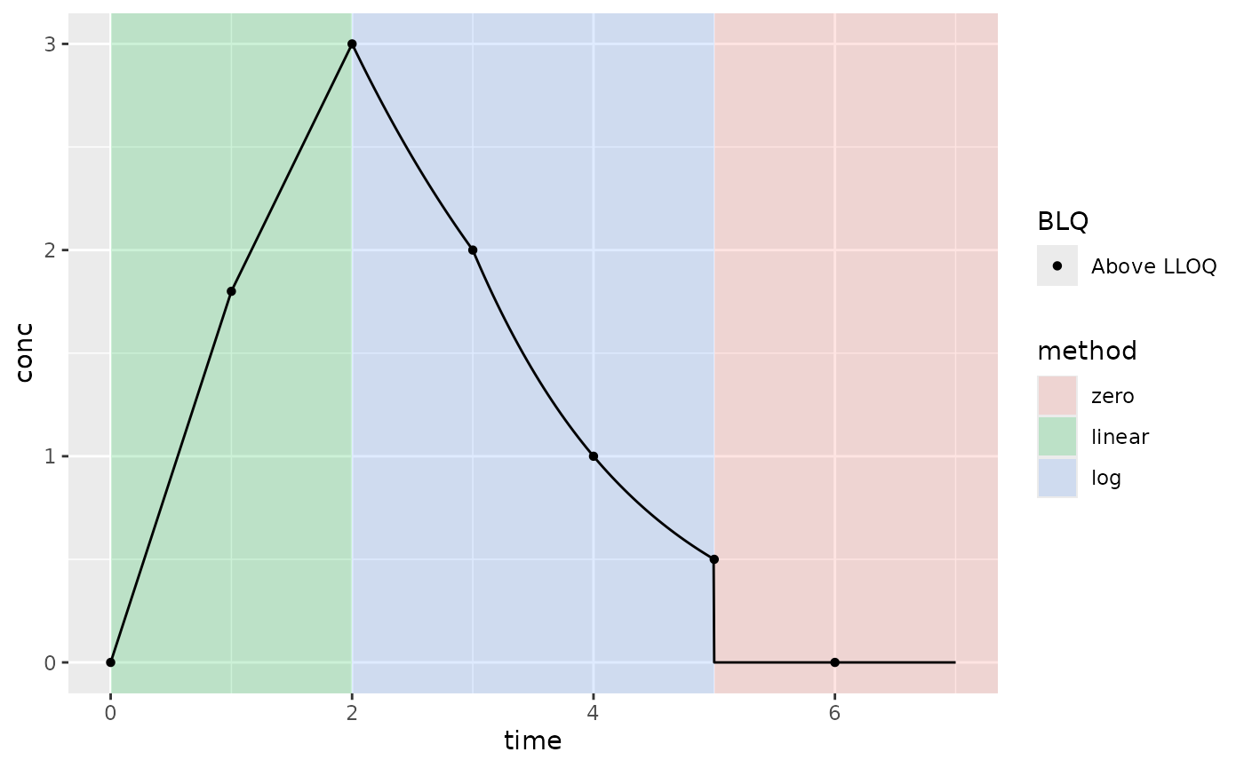
Example PK where Clast is below the LLOQ; lin up/log down interpolation method; AUCall extrapolation method (AUC type); and keeping all BLQ values (not default BLQ handling)

Example PK where Clast is below the LLOQ; linear interpolation method; AUCinf extrapolation method (AUC type); and keeping all BLQ values (not default BLQ handling)

Example PK where Clast is below the LLOQ; linear interpolation method; AUClast extrapolation method (AUC type); and keeping all BLQ values (not default BLQ handling)

Example PK where Clast is below the LLOQ; linear interpolation method; AUCall extrapolation method (AUC type); and keeping all BLQ values (not default BLQ handling)

Example PK where Clast is below the LLOQ; lin-log interpolation method; AUCinf extrapolation method (AUC type); and keeping all BLQ values (not default BLQ handling)

Example PK where Clast is below the LLOQ; lin-log interpolation method; AUClast extrapolation method (AUC type); and keeping all BLQ values (not default BLQ handling)

Example PK where Clast is below the LLOQ; lin-log interpolation method; AUCall extrapolation method (AUC type); and keeping all BLQ values (not default BLQ handling)

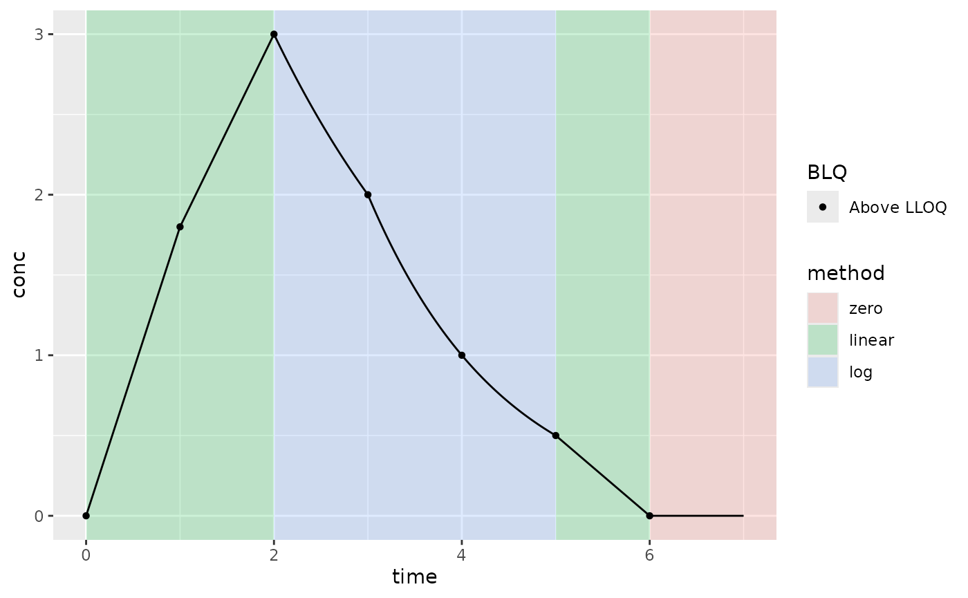
Example PK where Concentrations increase and decrease after Tmax with zeros in the middle; lin up/log down interpolation method; AUCinf extrapolation method (AUC type); and keeping all BLQ values (not default BLQ handling)

Example PK where Concentrations increase and decrease after Tmax with zeros in the middle; lin up/log down interpolation method; AUClast extrapolation method (AUC type); and keeping all BLQ values (not default BLQ handling)

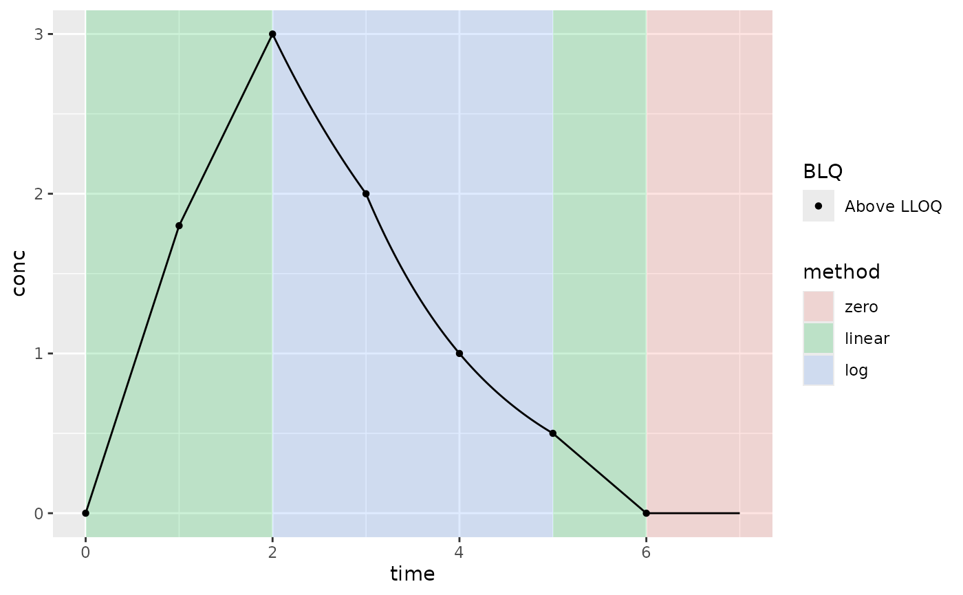
Example PK where Concentrations increase and decrease after Tmax with zeros in the middle; lin up/log down interpolation method; AUCall extrapolation method (AUC type); and keeping all BLQ values (not default BLQ handling)

Example PK where Concentrations increase and decrease after Tmax with zeros in the middle; linear interpolation method; AUCinf extrapolation method (AUC type); and keeping all BLQ values (not default BLQ handling)

Example PK where Concentrations increase and decrease after Tmax with zeros in the middle; linear interpolation method; AUClast extrapolation method (AUC type); and keeping all BLQ values (not default BLQ handling)

Example PK where Concentrations increase and decrease after Tmax with zeros in the middle; linear interpolation method; AUCall extrapolation method (AUC type); and keeping all BLQ values (not default BLQ handling)

Example PK where Concentrations increase and decrease after Tmax with zeros in the middle; lin-log interpolation method; AUCinf extrapolation method (AUC type); and keeping all BLQ values (not default BLQ handling)

Example PK where Concentrations increase and decrease after Tmax with zeros in the middle; lin-log interpolation method; AUClast extrapolation method (AUC type); and keeping all BLQ values (not default BLQ handling)

Example PK where Concentrations increase and decrease after Tmax with zeros in the middle; lin-log interpolation method; AUCall extrapolation method (AUC type); and keeping all BLQ values (not default BLQ handling)