GAM formulae with repeated variables may only correspond to identifiable models given some side conditions. This routine works out appropriate side conditions, based on zeroing redundant parameters. It is called from mgcv:::gam.setup and is not intended to be called by users.

The method identifies nested and repeated variables by their names, but numerically evaluates which constraints need to be imposed. Constraints are always applied to smooths of more variables in preference to smooths of fewer variables. The numerical approach allows appropriate constraints to be applied to models constructed using any smooths, including user defined smooths.

gam.side(sm,Xp,tol=.Machine$double.eps^.5,with.pen=TRUE)

Arguments

sm

A list of smooth objects as returned by smooth.construct.

Xp

The model matrix for the strictly parametric model components.

tol

The tolerance to use when assessing linear dependence of smooths.

with.pen

Should the computation of dependence consider the penalties or not. Doing so will lead to fewer constraints.

Details

Models such as y~s(x)+s(z)+s(x,z) can be estimated by gam, but require identifiability constraints to be applied, to make them identifiable. This routine does this, effectively setting redundant parameters to zero. When the redundancy is between smooths of lower and higher numbers of variables, the constraint is always applied to the smooth of the higher number of variables.

Dependent smooths are identified symbolically, but which constraints are needed to ensure identifiability of these smooths is determined numerically, using fixDependence. This makes the routine rather general, and not dependent on any particular basis.

Xp is used to check whether there is a constant term in the model (or columns that can be linearly combined to give a constant). This is because centred smooths can appear independent, when they would be dependent if there is a constant in the model, so dependence testing needs to take account of this.

Value

A list of smooths, with model matrices and penalty matrices adjusted to automatically impose the required constraints. Any smooth that has been modified will have an attribute "del.index", listing the columns of its model matrix that were deleted. This index is used in the creation of prediction matrices for the term.

Author

Simon N. Wood simon.wood@r-project.org

WARNINGS

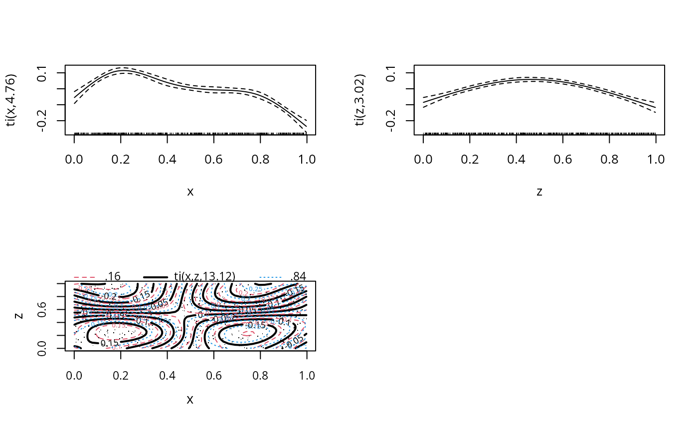
Much better statistical stability will be obtained by using models like y~s(x)+s(z)+ti(x,z) or y~ti(x)+ti(z)+ti(x,z) rather than y~s(x)+s(z)+s(x,z), since the former are designed not to require further constraint.

See also

Examples

## The first two examples here iluustrate models that cause
## gam.side to impose constraints, but both are a bad way 
## of estimating such models. The 3rd example is the right
## way.... 
set.seed(7)
require(mgcv)
dat <- gamSim(n=400,scale=2) ## simulate data
#> Gu & Wahba 4 term additive model
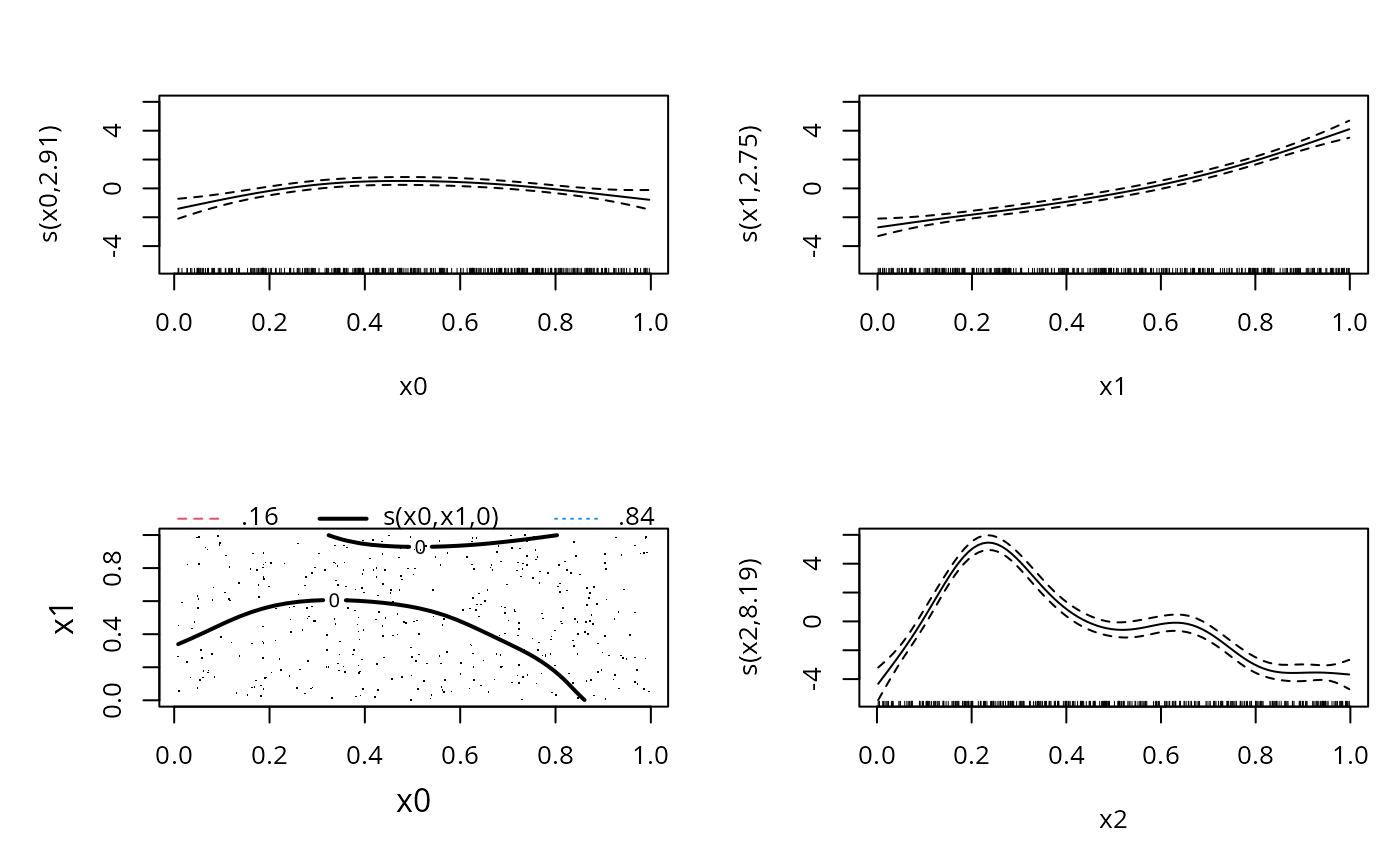
## estimate model with redundant smooth interaction (bad idea).
b<-gam(y~s(x0)+s(x1)+s(x0,x1)+s(x2),data=dat)
plot(b,pages=1)


## Simulate data with real interation...
dat <- gamSim(2,n=500,scale=.1)
#> Bivariate smoothing example
old.par<-par(mfrow=c(2,2))

## a fully nested tensor product example (bad idea)
b <- gam(y~s(x,bs="cr",k=6)+s(z,bs="cr",k=6)+te(x,z,k=6),
       data=dat$data)
plot(b)

old.par<-par(mfrow=c(2,2))

## A fully nested tensor product example, done properly,
## so that gam.side is not needed to ensure identifiability.
## ti terms are designed to produce interaction smooths
## suitable for adding to main effects (we could also have
## used s(x) and s(z) without a problem, but not s(z,x) 
## or te(z,x)).
b <- gam(y ~ ti(x,k=6) + ti(z,k=6) + ti(x,z,k=6),
       data=dat$data)
plot(b)

par(old.par)

rm(dat)