This page is intended to provide some more information on how to specify GAMs. A GAM is a GLM in which the linear predictor depends, in part, on a sum of smooth functions of predictors and (possibly) linear functionals of smooth functions of (possibly dummy) predictors.

Specifically let \(y_i\) denote an independent random variable with mean \(\mu_i\) and an exponential family distribution, or failing that a known mean variance relationship suitable for use of quasi-likelihood methods. Then the the linear predictor of a GAM has a structure something like

$$g(\mu_i) = {\bf X}_i{\beta} + f_1(x_{1i},x_{2i}) + f_2(x_{3i}) + L_i f_3(x_4) + \ldots$$

where \(g\) is a known smooth monotonic `link' function, \({\bf X}_i\beta\) is the parametric part of the linear predictor, the \(x_j\) are predictor variables, the \(f_j\) are smooth functions and \(L_i\) is some linear functional of \(f_3\). There may of course be multiple linear functional terms, or none.

The key idea here is that the dependence of the response on the predictors can be represented as a parametric sub-model plus the sum of some (functionals of) smooth functions of one or more of the predictor variables. Thus the model is quite flexible relative to strictly parametric linear or generalized linear models, but still has much more structure than the completely general model that says that the response is just some smooth function of all the covariates.

Note one important point. In order for the model to be identifiable the smooth functions usually have to be constrained to have zero mean (usually taken over the set of covariate values). The constraint is needed if the term involving the smooth includes a constant function in its span. gam always applies such constraints unless there is a by variable present, in which case an assessment is made of whether the constraint is needed or not (see below).

The following sections discuss specifying model structures for gam. Specification of the distribution and link function is done using the family argument to gam and works in the same way as for glm. This page therefore concentrates on the model formula for gam.

Models with simple smooth terms

Consider the example model. $$g(\mu_i) = \beta_0 + \beta_1 x_{1i} + \beta_2 x_{2i} + f_1(x_{3i}) + f_2(x_{4i},x_{5i})$$ where the response variables \(y_i\) has expectation \(\mu_i\) and \(g\) is a link function.

The gam formula for this would be
y ~ x1 + x2 + s(x3) + s(x4,x5).
This would use the default basis for the smooths (a thin plate regression spline basis for each), with automatic selection of the effective degrees of freedom for both smooths. The dimension of the smoothing basis is given a default value as well (the dimension of the basis sets an upper limit on the maximum possible degrees of freedom for the basis - the limit is typically one less than basis dimension). Full details of how to control smooths are given in s and te, and further discussion of basis dimension choice can be found in choose.k. For the moment suppose that we would like to change the basis of the first smooth to a cubic regression spline basis with a dimension of 20, while fixing the second term at 25 degrees of freedom. The appropriate formula would be:
y ~ x1 + x2 + s(x3,bs="cr",k=20) + s(x4,x5,k=26,fx=TRUE).

The above assumes that \(x_{4}\) and \(x_5\) are naturally on similar scales (e.g. they might be co-ordinates), so that isotropic smoothing is appropriate. If this assumption is false then tensor product smoothing might be better (see te).
y ~ x1 + x2 + s(x3) + te(x4,x5)
would generate a tensor product smooth of \(x_{4}\) and \(x_5\). By default this smooth would have basis dimension 25 and use cubic regression spline marginals. Varying the defaults is easy. For example
y ~ x1 + x2 + s(x3) + te(x4,x5,bs=c("cr","ps"),k=c(6,7))
specifies that the tensor product should use a rank 6 cubic regression spline marginal and a rank 7 P-spline marginal to create a smooth with basis dimension 42.

Nested terms/functional ANOVA

Sometimes it is interesting to specify smooth models with a main effects + interaction structure such as $$E(y_i) = f_1(x_i) + f_2(z_i) + f_3(x_i,z_i)$$ or $$E(y_i)=f_1(x_i) + f_2(z_i) + f_3(v_i) + f_4(x_i,z_i) + f_5(z_i,v_i) + f_6(z_i,v_i) + f_7(x_i,z_i,v_i) $$ for example. Such models should be set up using ti terms in the model formula. For example:
y ~ ti(x) + ti(z) + ti(x,z), or
y ~ ti(x) + ti(z) + ti(v) + ti(x,z) + ti(x,v) + ti(z,v)+ti(x,z,v).
The ti terms produce interactions with the component main effects excluded appropriately. (There is in fact no need to use ti terms for the main effects here, s terms could also be used.)

gam allows nesting (or `overlap') of te and s smooths, and automatically generates side conditions to make such models identifiable, but the resulting models are much less stable and interpretable than those constructed using ti terms.

`by' variables

by variables are the means for constructing `varying-coefficient models' (geographic regression models) and for letting smooths `interact' with factors or parametric terms. They are also the key to specifying general linear functionals of smooths.

The s and te terms used to specify smooths accept an argument by, which is a numeric or factor variable of the same dimension as the covariates of the smooth. If a by variable is numeric, then its \(i^{th}\) element multiples the \(i^{th}\) row of the model matrix corresponding to the smooth term concerned.

Factor smooth interactions (see also factor.smooth.interaction). If a by variable is a factor then it generates an indicator vector for each level of the factor, unless it is an ordered factor. In the non-ordered case, the model matrix for the smooth term is then replicated for each factor level, and each copy has its rows multiplied by the corresponding rows of its indicator variable. The smoothness penalties are also duplicated for each factor level. In short a different smooth is generated for each factor level (the id argument to s and te can be used to force all such smooths to have the same smoothing parameter). ordered by variables are handled in the same way, except that no smooth is generated for the first level of the ordered factor (see b3 example below). This is useful for setting up identifiable models when the same smooth occurs more than once in a model, with different factor by variables.

As an example, consider the model $$E(y_i) = \beta_0+ f(x_i)z_i$$ where \(f\) is a smooth function, and \(z_i\) is a numeric variable. The appropriate formula is:
y ~ s(x,by=z)
- the by argument ensures that the smooth function gets multiplied by covariate z. Note that when using factor by variables, centering constraints are applied to the smooths, which usually means that the by variable should be included as a parametric term, as well.

The example code below also illustrates the use of factor by variables.

by variables may be supplied as numeric matrices as part of specifying general linear functional terms.

If a by variable is present and numeric (rather than a factor) then the corresponding smooth is only subjected to an identifiability constraint if (i) the by variable is a constant vector, or, (ii) for a matrix by variable, L, if L%*%rep(1,ncol(L)) is constant or (iii) if a user defined smooth constructor supplies an identifiability constraint explicitly, and that constraint has an attibute "always.apply".

Linking smooths with `id'

It is sometimes desirable to insist that different smooth terms have the same degree of smoothness. This can be done by using the id argument to s or te terms. Smooths which share an id will have the same smoothing parameter. Really this only makes sense if the smooths use the same basis functions, and the default behaviour is to force this to happen: all smooths sharing an id have the same basis functions as the first smooth occurring with that id. Note that if you want exactly the same function for each smooth, then this is best achieved by making use of the summation convention covered under `linear functional terms'.

As an example suppose that \(E(y_i)\equiv\mu_i\) and $$g(\mu_i) = f_1(x_{1i}) + f_2(x_{2i},x_{3i}) + f_3(x_{4i})$$ but that \(f_1\) and \(f_3\) should have the same smoothing parameters (and \(x_2\) and \(x_3\) are on different scales). Then the gam formula
y ~ s(x1,id=1) + te(x_2,x3) + s(x4,id=1)
would achieve the desired result. id can be numbers or character strings. Giving an id to a term with a factor by variable causes the smooths at each level of the factor to have the same smoothing parameter.

Smooth term ids are not supported by gamm.

Linear functional terms

General linear functional terms have a long history in the spline literature including in the penalized GLM context (see e.g. Wahba 1990). Such terms encompass varying coefficient models/ geographic regression, functional GLMs (i.e. GLMs with functional predictors), GLASS models, etc, and allow smoothing with respect to aggregated covariate values, for example.

Such terms are implemented in mgcv using a simple `summation convention' for smooth terms: If the covariates of a smooth are supplied as matrices, then summation of the evaluated smooth over the columns of the matrices is implied. Each covariate matrix and any by variable matrix must be of the same dimension. Consider, for example the term
s(X,Z,by=L)
where X, Z and L are \(n \times p\) matrices. Let \(f\) denote the thin plate regression spline specified. The resulting contibution to the \(i^{\rm th}\) element of the linear predictor is $$\sum_{j=1}^p L_{ij}f(X_{ij},Z_{ij})$$ If no L is supplied then all its elements are taken as 1. In R code terms, let F denote the \(n \times p\) matrix obtained by evaluating the smooth at the values in X and Z. Then the contribution of the term to the linear predictor is rowSums(L*F) (note that it's element by element multiplication here!).

The summation convention applies to te terms as well as s terms. More details and examples are provided in linear.functional.terms.

Random effects

Random effects can be added to gam models using s(...,bs="re") terms (see smooth.construct.re.smooth.spec), or the paraPen argument to gam covered below. See gam.vcomp, random.effects and smooth.construct.re.smooth.spec for further details. An alternative is to use the approach of gamm.

Penalizing the parametric terms

In case the ability to add smooth classes, smooth identities, by variables and the summation convention are still not sufficient to implement exactly the penalized GLM that you require, gam also allows you to penalize the parametric terms in the model formula. This is mostly useful in allowing one or more matrix terms to be included in the formula, along with a sequence of quadratic penalty matrices for each.

Suppose that you have set up a model matrix \(\bf X\), and want to penalize the corresponding coefficients, \(\beta\) with two penalties \(\beta^T {\bf S}_1 \beta\) and \(\beta^T {\bf S}_2 \beta\). Then something like the following would be appropriate:
gam(y ~ X - 1,paraPen=list(X=list(S1,S2)))
The paraPen argument should be a list with elements having names corresponding to the terms being penalized. Each element of paraPen is itself a list, with optional elements L, rank and sp: all other elements must be penalty matrices. If present, rank is a vector giving the rank of each penalty matrix (if absent this is determined numerically). L is a matrix that maps underlying log smoothing parameters to the log smoothing parameters that actually multiply the individual quadratic penalties: taken as the identity if not supplied. sp is a vector of (underlying) smoothing parameter values: positive values are taken as fixed, negative to signal that the smoothing parameter should be estimated. Taken as all negative if not supplied.

An obvious application of paraPen is to incorporate random effects, and an example of this is provided below. In this case the supplied penalty matrices will be (generalized) inverse covariance matrices for the random effects — i.e. precision matrices. The final estimate of the covariance matrix corresponding to one of these penalties is given by the (generalized) inverse of the penalty matrix multiplied by the estimated scale parameter and divided by the estimated smoothing parameter for the penalty. For example, if you use an identity matrix to penalize some coefficients that are to be viewed as i.i.d. Gaussian random effects, then their estimated variance will be the estimated scale parameter divided by the estimate of the smoothing parameter, for this penalty. See the `rail' example below.

P-values for penalized parametric terms should be treated with caution. If you must have them, then use the option freq=TRUE in anova.gam and summary.gam, which will tend to give reasonable results for random effects implemented this way, but not for terms with a rank defficient penalty (or penalties with a wide eigen-spectrum).

References

Wahba (1990) Spline Models of Observational Data SIAM.

Wood S.N. (2017) Generalized Additive Models: An Introduction with R (2nd edition). Chapman and Hall/CRC Press.

Author

Simon N. Wood simon.wood@r-project.org

Examples

require(mgcv)
set.seed(10)
## simulate date from y = f(x2)*x1 + error
dat <- gamSim(3,n=400)
#> Continuous `by' variable example

b<-gam(y ~ s(x2,by=x1),data=dat)
plot(b,pages=1)

summary(b)
#> 
#> Family: gaussian 
#> Link function: identity 
#> 
#> Formula:
#> y ~ s(x2, by = x1)
#> 
#> Parametric coefficients:
#>             Estimate Std. Error t value Pr(>|t|)
#> (Intercept)  -0.1317     0.2128  -0.619    0.536
#> 
#> Approximate significance of smooth terms:
#>            edf Ref.df     F p-value    
#> s(x2):x1 9.199  9.822 32.29  <2e-16 ***
#> ---
#> Signif. codes:  0 ‘***’ 0.001 ‘**’ 0.01 ‘*’ 0.05 ‘.’ 0.1 ‘ ’ 1
#> 
#> R-sq.(adj) =  0.439   Deviance explained = 45.2%
#> GCV = 4.5182  Scale est. = 4.403     n = 400

## Factor `by' variable example (with a spurious covariate x0)
## simulate data...

dat <- gamSim(4)
#> Factor `by' variable example

## fit model...
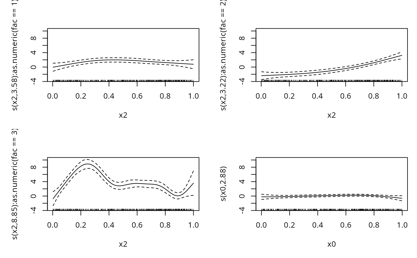
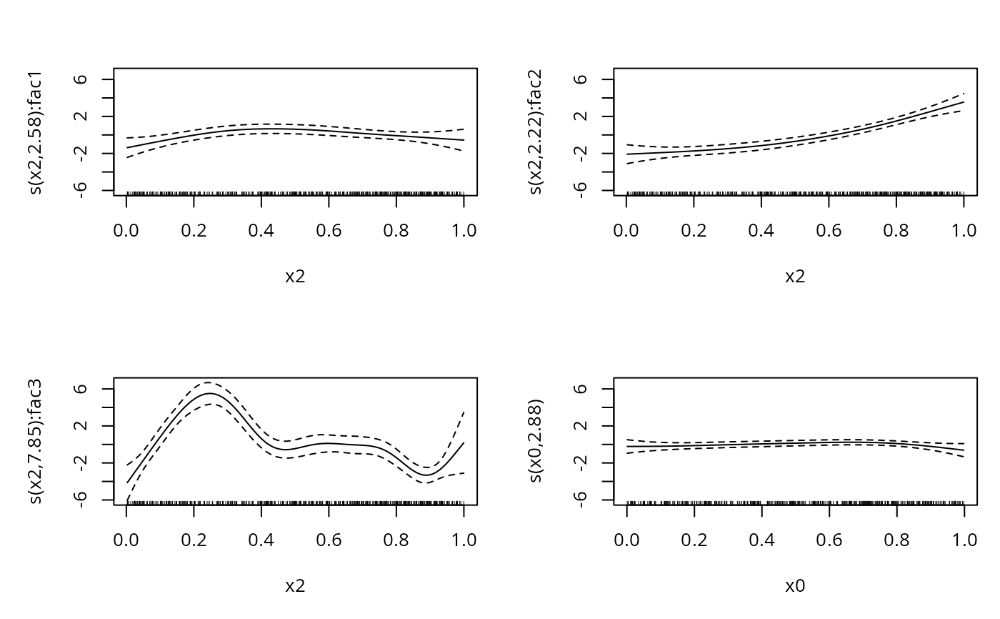
b <- gam(y ~ fac+s(x2,by=fac)+s(x0),data=dat)
plot(b,pages=1)

summary(b)
#> 
#> Family: gaussian 
#> Link function: identity 
#> 
#> Formula:
#> y ~ fac + s(x2, by = fac) + s(x0)
#> 
#> Parametric coefficients:
#>             Estimate Std. Error t value Pr(>|t|)    
#> (Intercept)   1.3294     0.1872   7.100 6.14e-12 ***
#> fac2         -1.6389     0.2624  -6.247 1.12e-09 ***
#> fac3          2.0614     0.2644   7.797 6.11e-14 ***
#> ---
#> Signif. codes:  0 ‘***’ 0.001 ‘**’ 0.01 ‘*’ 0.05 ‘.’ 0.1 ‘ ’ 1
#> 
#> Approximate significance of smooth terms:
#>              edf Ref.df      F p-value    
#> s(x2):fac1 2.585  3.223  3.125  0.0224 *  
#> s(x2):fac2 2.222  2.757 33.526  <2e-16 ***
#> s(x2):fac3 7.853  8.638 20.604  <2e-16 ***
#> s(x0)      2.877  3.580  1.069  0.3049    
#> ---
#> Signif. codes:  0 ‘***’ 0.001 ‘**’ 0.01 ‘*’ 0.05 ‘.’ 0.1 ‘ ’ 1
#> 
#> R-sq.(adj) =  0.532   Deviance explained = 55.3%
#> GCV = 4.6776  Scale est. = 4.4609    n = 400

## note that the preceding fit is the same as....
b1<-gam(y ~ s(x2,by=as.numeric(fac==1))+s(x2,by=as.numeric(fac==2))+
            s(x2,by=as.numeric(fac==3))+s(x0)-1,data=dat)
## ... the `-1' is because the intercept is confounded with the 
## *uncentred* smooths here.
plot(b1,pages=1)

summary(b1)
#> 
#> Family: gaussian 
#> Link function: identity 
#> 
#> Formula:
#> y ~ s(x2, by = as.numeric(fac == 1)) + s(x2, by = as.numeric(fac == 
#>     2)) + s(x2, by = as.numeric(fac == 3)) + s(x0) - 1
#> 
#> Approximate significance of smooth terms:
#>                              edf Ref.df      F p-value    
#> s(x2):as.numeric(fac == 1) 3.585  4.223 14.731  <2e-16 ***
#> s(x2):as.numeric(fac == 2) 3.222  3.757 24.607  <2e-16 ***
#> s(x2):as.numeric(fac == 3) 8.853  9.638 50.709  <2e-16 ***
#> s(x0)                      2.877  3.580  1.069   0.305    
#> ---
#> Signif. codes:  0 ‘***’ 0.001 ‘**’ 0.01 ‘*’ 0.05 ‘.’ 0.1 ‘ ’ 1
#> 
#> R-sq.(adj) =  0.532   Deviance explained = 63.5%
#> GCV = 4.6776  Scale est. = 4.4609    n = 400

## repeat forcing all s(x2) terms to have the same smoothing param
## (not a very good idea for these data!)
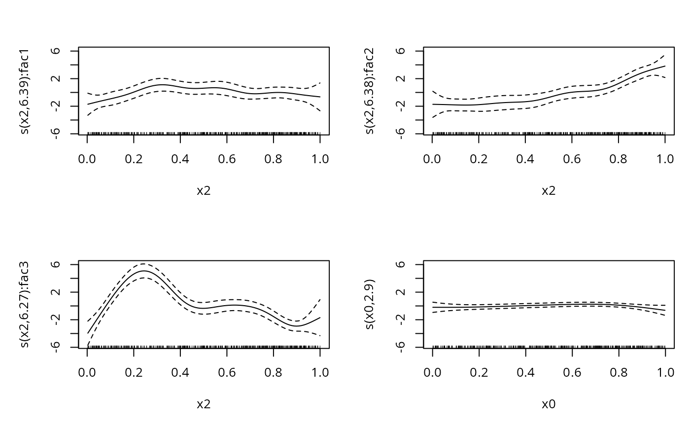
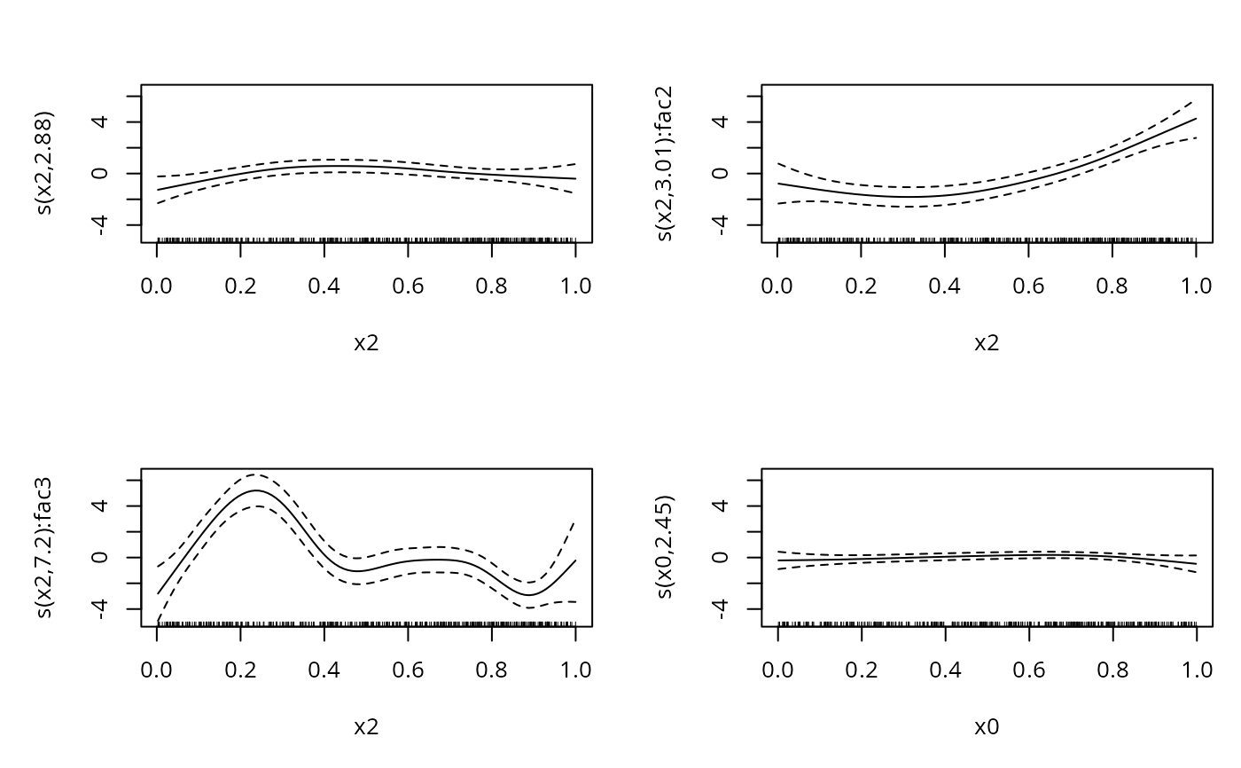
b2 <- gam(y ~ fac+s(x2,by=fac,id=1)+s(x0),data=dat)
plot(b2,pages=1)

summary(b2)
#> 
#> Family: gaussian 
#> Link function: identity 
#> 
#> Formula:
#> y ~ fac + s(x2, by = fac, id = 1) + s(x0)
#> 
#> Parametric coefficients:
#>             Estimate Std. Error t value Pr(>|t|)    
#> (Intercept)   1.3218     0.1910   6.921 1.95e-11 ***
#> fac2         -1.6408     0.2673  -6.139 2.12e-09 ***
#> fac3          2.0049     0.2658   7.542 3.53e-13 ***
#> ---
#> Signif. codes:  0 ‘***’ 0.001 ‘**’ 0.01 ‘*’ 0.05 ‘.’ 0.1 ‘ ’ 1
#> 
#> Approximate significance of smooth terms:
#>              edf Ref.df      F p-value    
#> s(x2):fac1 6.387  7.534  1.895   0.066 .  
#> s(x2):fac2 6.378  7.512 12.607  <2e-16 ***
#> s(x2):fac3 6.268  7.395 22.056  <2e-16 ***
#> s(x0)      2.901  3.604  1.137   0.281    
#> ---
#> Signif. codes:  0 ‘***’ 0.001 ‘**’ 0.01 ‘*’ 0.05 ‘.’ 0.1 ‘ ’ 1
#> 
#> R-sq.(adj) =  0.526   Deviance explained = 55.5%
#> GCV = 4.8189  Scale est. = 4.5186    n = 400

## now repeat with a single reference level smooth, and 
## two `difference' smooths...
dat$fac <- ordered(dat$fac)
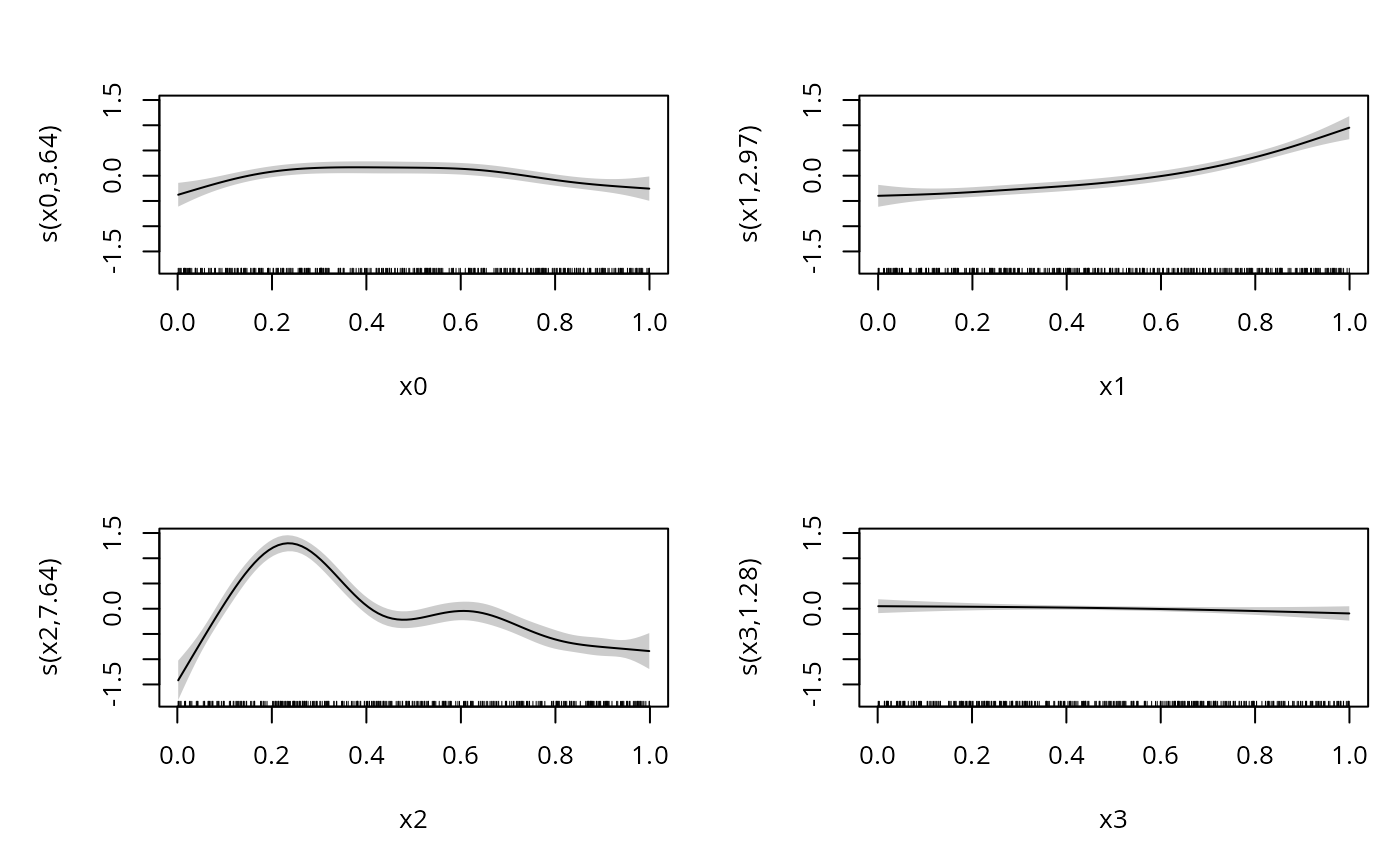
b3 <- gam(y ~ fac+s(x2)+s(x2,by=fac)+s(x0),data=dat,method="REML")
plot(b3,pages=1)

summary(b3)
#> 
#> Family: gaussian 
#> Link function: identity 
#> 
#> Formula:
#> y ~ fac + s(x2) + s(x2, by = fac) + s(x0)
#> 
#> Parametric coefficients:
#>             Estimate Std. Error t value Pr(>|t|)    
#> (Intercept)   1.4613     0.1071  13.648  < 2e-16 ***
#> fac.L         1.4373     0.1868   7.696 1.22e-13 ***
#> fac.Q         2.1744     0.1853  11.737  < 2e-16 ***
#> ---
#> Signif. codes:  0 ‘***’ 0.001 ‘**’ 0.01 ‘*’ 0.05 ‘.’ 0.1 ‘ ’ 1
#> 
#> Approximate significance of smooth terms:
#>              edf Ref.df      F p-value    
#> s(x2)      2.884  3.580  2.442  0.0496 *  
#> s(x2):fac2 3.011  3.737 12.806  <2e-16 ***
#> s(x2):fac3 7.202  8.191 13.240  <2e-16 ***
#> s(x0)      2.454  3.060  1.084  0.3322    
#> ---
#> Signif. codes:  0 ‘***’ 0.001 ‘**’ 0.01 ‘*’ 0.05 ‘.’ 0.1 ‘ ’ 1
#> 
#> R-sq.(adj) =   0.53   Deviance explained = 55.1%
#> -REML = 886.13  Scale est. = 4.4827    n = 400


rm(dat)

## An example of a simple random effects term implemented via 
## penalization of the parametric part of the model...

dat <- gamSim(1,n=400,scale=2) ## simulate 4 term additive truth
#> Gu & Wahba 4 term additive model
## Now add some random effects to the simulation. Response is 
## grouped into one of 20 groups by `fac' and each groups has a
## random effect added....
fac <- as.factor(sample(1:20,400,replace=TRUE))
dat$X <- model.matrix(~fac-1)
b <- rnorm(20)*.5
dat$y <- dat$y + dat$X%*%b

## now fit appropriate random effect model...
PP <- list(X=list(rank=20,diag(20)))
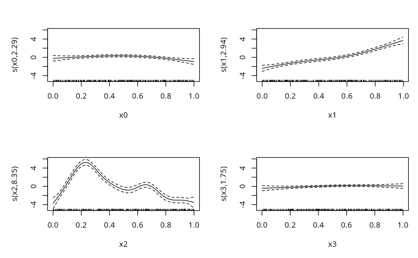
rm <- gam(y~ X+s(x0)+s(x1)+s(x2)+s(x3),data=dat,paraPen=PP)
plot(rm,pages=1)

## Get estimated random effects standard deviation...
sig.b <- sqrt(rm$sig2/rm$sp[1]);sig.b 
#>       X 
#> 0.49167 

## a much simpler approach uses "re" terms...

rm1 <- gam(y ~ s(fac,bs="re")+s(x0)+s(x1)+s(x2)+s(x3),data=dat,method="ML")
gam.vcomp(rm1)
#> 
#> Standard deviations and 0.95 confidence intervals:
#> 
#>            std.dev        lower        upper
#> s(fac)  0.47544904 2.539353e-01 8.901943e-01
#> s(x0)   4.59854379 1.418796e+00 1.490461e+01
#> s(x1)   6.69755946 1.742838e+00 2.573807e+01
#> s(x2)  98.79933812 5.574346e+01 1.751113e+02
#> s(x3)   0.02249211 2.625083e-42 1.927158e+38
#> scale   2.13250606 1.983199e+00 2.293054e+00
#> 
#> Rank: 6/6
#> 
#> All smooth components:
#> [1]  0.47544904  4.59854379  6.69755946 98.79933812  0.02249211

## Simple comparison with lme, using Rail data. 
## See ?random.effects for a simpler method
require(nlme)
b0 <- lme(travel~1,data=Rail,~1|Rail,method="ML") 
Z <- model.matrix(~Rail-1,data=Rail,
     contrasts.arg=list(Rail="contr.treatment"))
b <- gam(travel~Z,data=Rail,paraPen=list(Z=list(diag(6))),method="ML")

b0 
#> Linear mixed-effects model fit by maximum likelihood
#>   Data: Rail 
#>   Log-likelihood: -64.28002
#>   Fixed: travel ~ 1 
#> (Intercept) 
#>        66.5 
#> 
#> Random effects:
#>  Formula: ~1 | Rail
#>         (Intercept) Residual
#> StdDev:    22.62435 4.020779
#> 
#> Number of Observations: 18
#> Number of Groups: 6 
(b$reml.scale/b$sp)^.5 ## `gam' ML estimate of Rail sd
#>        Z 
#> 22.62435 
b$reml.scale^.5         ## `gam' ML estimate of residual sd
#> [1] 4.020779

b0 <- lme(travel~1,data=Rail,~1|Rail,method="REML") 
Z <- model.matrix(~Rail-1,data=Rail,
     contrasts.arg=list(Rail="contr.treatment"))
b <- gam(travel~Z,data=Rail,paraPen=list(Z=list(diag(6))),method="REML")

b0 
#> Linear mixed-effects model fit by REML
#>   Data: Rail 
#>   Log-restricted-likelihood: -61.0885
#>   Fixed: travel ~ 1 
#> (Intercept) 
#>        66.5 
#> 
#> Random effects:
#>  Formula: ~1 | Rail
#>         (Intercept) Residual
#> StdDev:    24.80547 4.020779
#> 
#> Number of Observations: 18
#> Number of Groups: 6 
(b$reml.scale/b$sp)^.5 ## `gam' REML estimate of Rail sd
#>        Z 
#> 24.80547 
b$reml.scale^.5         ## `gam' REML estimate of residual sd
#> [1] 4.020779

################################################################
## Approximate large dataset logistic regression for rare events
## based on subsampling the zeroes, and adding an offset to
## approximately allow for this.
## Doing the same thing, but upweighting the sampled zeroes
## leads to problems with smoothness selection, and CIs.
################################################################
n <- 50000  ## simulate n data 
dat <- gamSim(1,n=n,dist="binary",scale=.33)
#> Gu & Wahba 4 term additive model
p <- binomial()$linkinv(dat$f-6) ## make 1's rare
dat$y <- rbinom(p,1,p)      ## re-simulate rare response

## Now sample all the 1's but only proportion S of the 0's
S <- 0.02                   ## sampling fraction of zeroes
dat <- dat[dat$y==1 | runif(n) < S,] ## sampling

## Create offset based on total sampling fraction
dat$s <- rep(log(nrow(dat)/n),nrow(dat))

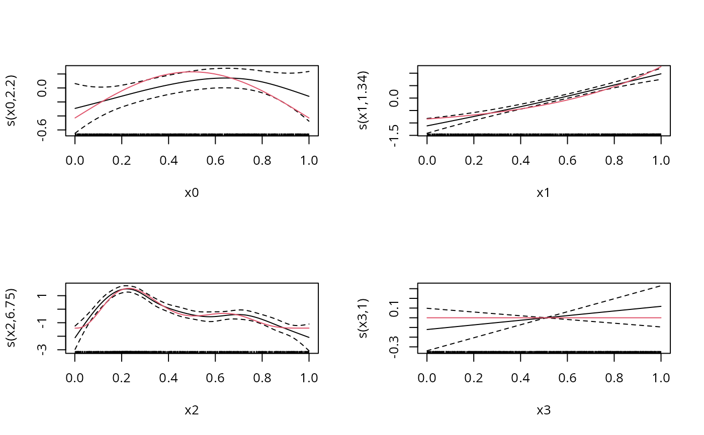
lr.fit <- gam(y~s(x0,bs="cr")+s(x1,bs="cr")+s(x2,bs="cr")+s(x3,bs="cr")+
              offset(s),family=binomial,data=dat,method="REML")

## plot model components with truth overlaid in red
op <- par(mfrow=c(2,2))
fn <- c("f0","f1","f2","f3");xn <- c("x0","x1","x2","x3")
for (k in 1:4) {
       plot(lr.fit,select=k,scale=0)
       ff <- dat[[fn[k]]];xx <- dat[[xn[k]]]
       ind <- sort.int(xx,index.return=TRUE)$ix
       lines(xx[ind],(ff-mean(ff))[ind]*.33,col=2)
}

par(op)
rm(dat)

## A Gamma example, by modify `gamSim' output...
 
dat <- gamSim(1,n=400,dist="normal",scale=1)
#> Gu & Wahba 4 term additive model
dat$f <- dat$f/4 ## true linear predictor 
Ey <- exp(dat$f);scale <- .5 ## mean and GLM scale parameter
## Note that `shape' and `scale' in `rgamma' are almost
## opposite terminology to that used with GLM/GAM...
dat$y <- rgamma(Ey*0,shape=1/scale,scale=Ey*scale)
bg <- gam(y~ s(x0)+ s(x1)+s(x2)+s(x3),family=Gamma(link=log),
          data=dat,method="REML")
plot(bg,pages=1,scheme=1)