The gam modelling function is designed to be able to use the negbin family (a modification of MASS library negative.binomial family by Venables and Ripley), or the nb function designed for integrated estimation of parameter theta. \(\theta\) is the parameter such that \(var(y) = \mu + \mu^2/\theta\), where \(\mu = E(y)\).

Two approaches to estimating theta are available (with gam only):

  • With negbin then if `performance iteration' is used for smoothing parameter estimation (see gam), then smoothing parameters are chosen by GCV and theta is chosen in order to ensure that the Pearson estimate of the scale parameter is as close as possible to 1, the value that the scale parameter should have.

  • If `outer iteration' is used for smoothing parameter selection with the nb family then theta is estimated alongside the smoothing parameters by ML or REML.

To use the first option, set the optimizer argument of gam to "perf" (it can sometimes fail to converge).

negbin(theta = stop("'theta' must be specified"), link = "log")
nb(theta = NULL, link = "log")

Arguments

theta

Either i) a single value known value of theta or ii) two values of theta specifying the endpoints of an interval over which to search for theta (this is an option only for negbin, and is deprecated). For nb then a positive supplied theta is treated as a fixed known parameter, otherwise it is estimated (the absolute value of a negative theta is taken as a starting value).

The link function: one of "log", "identity" or "sqrt"

Value

For negbin an object inheriting from class family, with additional elements

dvar

the function giving the first derivative of the variance function w.r.t. mu.

d2var

the function giving the second derivative of the variance function w.r.t. mu.

getTheta

A function for retrieving the value(s) of theta. This also useful for retriving the estimate of theta after fitting (see example).

For nb an object inheriting from class extended.family.

Details

nb allows estimation of the theta parameter alongside the model smoothing parameters, but is only usable with gam or bam (not gamm).

For negbin, if a single value of theta is supplied then it is always taken as the known fixed value and this is useable with bam and gamm. If theta is two numbers (theta[2]>theta[1]) then they are taken as specifying the range of values over which to search for the optimal theta. This option is deprecated and should only be used with performance iteration estimation (see gam argument optimizer), in which case the method of estimation is to choose \(\hat \theta\) so that the GCV (Pearson) estimate of the scale parameter is one (since the scale parameter is one for the negative binomial). In this case \(\theta\) estimation is nested within the IRLS loop used for GAM fitting. After each call to fit an iteratively weighted additive model to the IRLS pseudodata, the \(\theta\) estimate is updated. This is done by conditioning on all components of the current GCV/Pearson estimator of the scale parameter except \(\theta\) and then searching for the \(\hat \theta\) which equates this conditional estimator to one. The search is a simple bisection search after an initial crude line search to bracket one. The search will terminate at the upper boundary of the search region is a Poisson fit would have yielded an estimated scale parameter <1.

Author

Simon N. Wood simon.wood@r-project.org modified from Venables and Ripley's negative.binomial family.

References

Venables, B. and B.R. Ripley (2002) Modern Applied Statistics in S, Springer.

Wood, S.N., N. Pya and B. Saefken (2016), Smoothing parameter and model selection for general smooth models. Journal of the American Statistical Association 111, 1548-1575 doi:10.1080/01621459.2016.1180986

WARNINGS

gamm does not support theta estimation

The negative binomial functions from the MASS library are no longer supported.

Examples

library(mgcv)
set.seed(3)
n<-400
dat <- gamSim(1,n=n)
#> Gu & Wahba 4 term additive model
g <- exp(dat$f/5)

## negative binomial data... 
dat$y <- rnbinom(g,size=3,mu=g)
## known theta fit ...
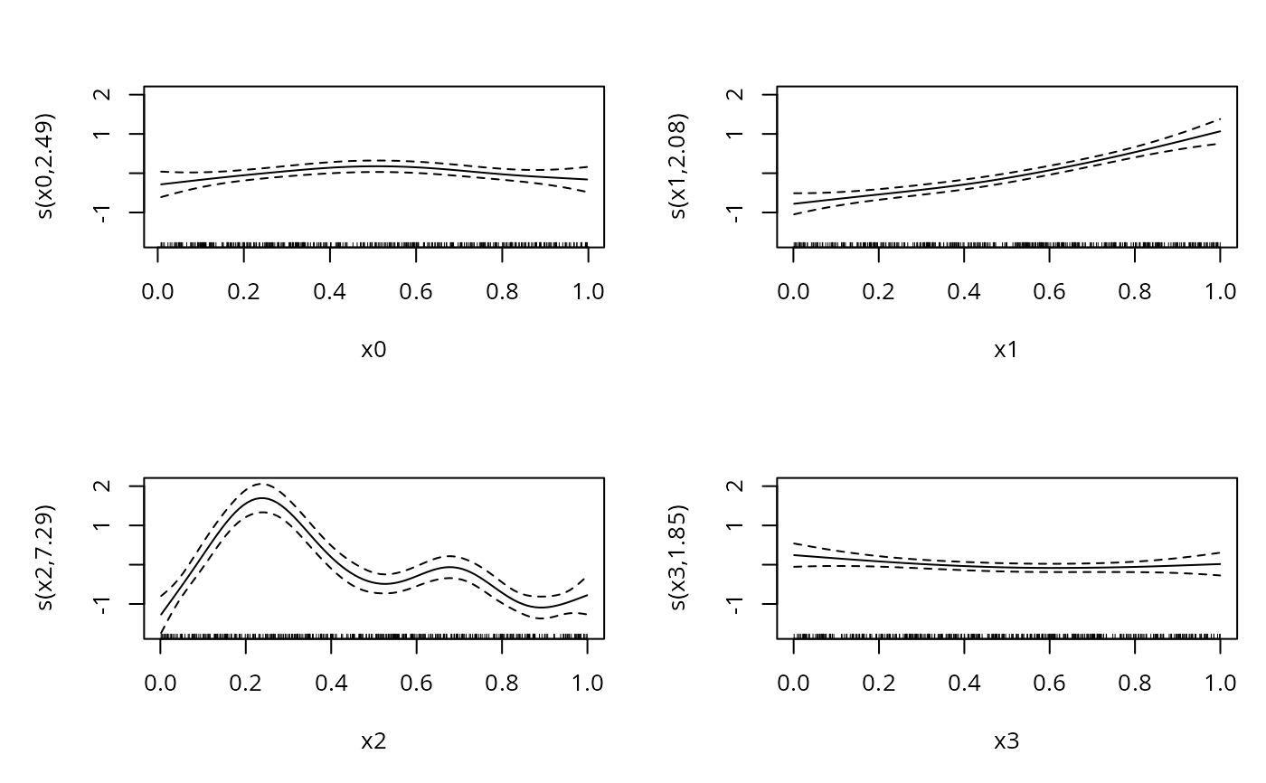
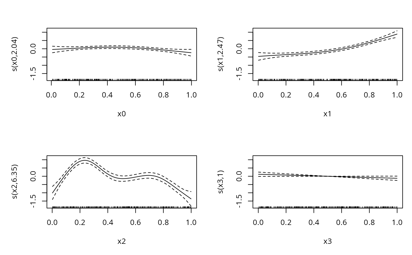
b0 <- gam(y~s(x0)+s(x1)+s(x2)+s(x3),family=negbin(3),data=dat)
plot(b0,pages=1)

print(b0)
#> 
#> Family: Negative Binomial(3) 
#> Link function: log 
#> 
#> Formula:
#> y ~ s(x0) + s(x1) + s(x2) + s(x3)
#> 
#> Estimated degrees of freedom:
#> 2.04 2.47 6.35 1.00  total = 12.85 
#> 
#> UBRE score: 0.187248     

## same with theta estimation...
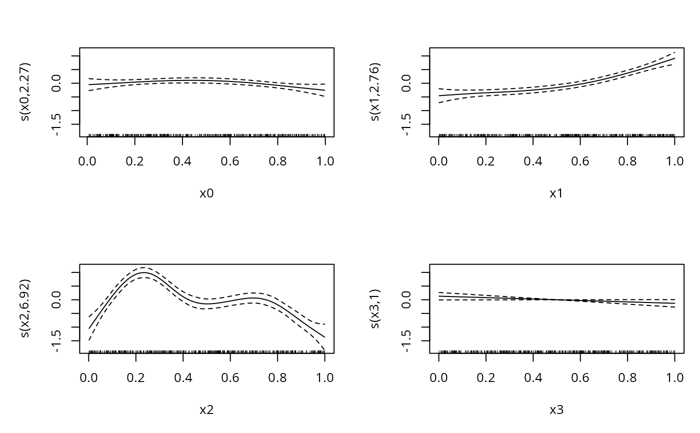
b <- gam(y~s(x0)+s(x1)+s(x2)+s(x3),family=nb(),data=dat)
plot(b,pages=1)

print(b)
#> 
#> Family: Negative Binomial(2.693) 
#> Link function: log 
#> 
#> Formula:
#> y ~ s(x0) + s(x1) + s(x2) + s(x3)
#> 
#> Estimated degrees of freedom:
#> 2.27 2.76 6.92 1.00  total = 13.95 
#> 
#> REML score: 1062.259     
b$family$getTheta(TRUE) ## extract final theta estimate
#> [1] 2.692607


## another example...
set.seed(1)
f <- dat$f
f <- f - min(f)+5;g <- f^2/10
dat$y <- rnbinom(g,size=3,mu=g)
b2 <- gam(y~s(x0)+s(x1)+s(x2)+s(x3),family=nb(link="sqrt"),
         data=dat,method="REML") 
plot(b2,pages=1)

print(b2)
#> 
#> Family: Negative Binomial(2.786) 
#> Link function: sqrt 
#> 
#> Formula:
#> y ~ s(x0) + s(x1) + s(x2) + s(x3)
#> 
#> Estimated degrees of freedom:
#> 2.49 2.08 7.29 1.85  total = 14.71 
#> 
#> REML score: 1356.263     
rm(dat)