Fits the specified generalized additive mixed model (GAMM) to data, by a call to lme in the normal errors identity link case, or by a call to gammPQL (a modification of glmmPQL from the MASS library) otherwise. In the latter case estimates are only approximately MLEs. The routine is typically slower than gam, and not quite as numerically robust.

To use lme4 in place of nlme as the underlying fitting engine, see gamm4 from package gamm4.

Smooths are specified as in a call to gam as part of the fixed effects model formula, but the wiggly components of the smooth are treated as random effects. The random effects structures and correlation structures available for lme are used to specify other random effects and correlations.

It is assumed that the random effects and correlation structures are employed primarily to model residual correlation in the data and that the prime interest is in inference about the terms in the fixed effects model formula including the smooths. For this reason the routine calculates a posterior covariance matrix for the coefficients of all the terms in the fixed effects formula, including the smooths.

To use this function effectively it helps to be quite familiar with the use of gam and lme.

gamm(formula,random=NULL,correlation=NULL,family=gaussian(),
data=list(),weights=NULL,subset=NULL,na.action,knots=NULL,
control=list(niterEM=0,optimMethod="L-BFGS-B",returnObject=TRUE),
niterPQL=20,verbosePQL=TRUE,method="ML",drop.unused.levels=TRUE,
mustart=NULL, etastart=NULL,...)

Arguments

formula

A GAM formula (see also formula.gam and gam.models). This is like the formula for a glm except that smooth terms (s, te etc.) can be added to the right hand side of the formula. Note that ids for smooths and fixed smoothing parameters are not supported. Any offset should be specified in the formula.

random

The (optional) random effects structure as specified in a call to lme: only the list form is allowed, to facilitate manipulation of the random effects structure within gamm in order to deal with smooth terms. See example below.

correlation

An optional corStruct object (see corClasses) as used to define correlation structures in lme. Any grouping factors in the formula for this object are assumed to be nested within any random effect grouping factors, without the need to make this explicit in the formula (this is slightly different to the behaviour of lme). This is a GEE approach to correlation in the generalized case. See examples below.

family

A family as used in a call to glm or gam. The default gaussian with identity link causes gamm to fit by a direct call to lme provided there is no offset term, otherwise gammPQL is used.

data

A data frame or list containing the model response variable and covariates required by the formula. By default the variables are taken from environment(formula), typically the environment from which gamm is called.

weights

In the generalized case, weights with the same meaning as glm weights. An lme type weights argument may only be used in the identity link gaussian case, with no offset (see documentation for lme for details of how to use such an argument).

subset

an optional vector specifying a subset of observations to be used in the fitting process.

na.action

a function which indicates what should happen when the data contain `NA's. The default is set by the `na.action' setting of `options', and is `na.fail' if that is unset. The “factory-fresh” default is `na.omit'.

knots

this is an optional list containing user specified knot values to be used for basis construction. Different terms can use different numbers of knots, unless they share a covariate.

control

A list of fit control parameters for lme to replace the defaults returned by lmeControl. Note the setting for the number of EM iterations used by lme: smooths are set up using custom pdMat classes, which are currently not supported by the EM iteration code. If you supply a list of control values, it is advisable to include niterEM=0, as well, and only increase from 0 if you want to perturb the starting values used in model fitting (usually to worse values!). The optimMethod option is only used if your version of R does not have the nlminb optimizer function.

niterPQL

Maximum number of PQL iterations (if any).

verbosePQL

Should PQL report its progress as it goes along?

method

Which of "ML" or "REML" to use in the Gaussian additive mixed model case when lme is called directly. Ignored in the generalized case (or if the model has an offset), in which case gammPQL is used.

drop.unused.levels

by default unused levels are dropped from factors before fitting. For some smooths involving factor variables you might want to turn this off. Only do so if you know what you are doing.

mustart

starting values for mean if PQL used.

etastart

starting values for linear predictor if PQL used (over-rides mustart if supplied).

...

further arguments for passing on e.g. to lme

Details

The Bayesian model of spline smoothing introduced by Wahba (1983) and Silverman (1985) opens up the possibility of estimating the degree of smoothness of terms in a generalized additive model as variances of the wiggly components of the smooth terms treated as random effects. Several authors have recognised this (see Wang 1998; Ruppert, Wand and Carroll, 2003) and in the normal errors, identity link case estimation can be performed using general linear mixed effects modelling software such as lme. In the generalized case only approximate inference is so far available, for example using the Penalized Quasi-Likelihood approach of Breslow and Clayton (1993) as implemented in glmmPQL by Venables and Ripley (2002). One advantage of this approach is that it allows correlated errors to be dealt with via random effects or the correlation structures available in the nlme library (using correlation structures beyond the strictly additive case amounts to using a GEE approach to fitting).

Some details of how GAMs are represented as mixed models and estimated using lme or gammPQL in gamm can be found in Wood (2004 ,2006a,b). In addition gamm obtains a posterior covariance matrix for the parameters of all the fixed effects and the smooth terms. The approach is similar to that described in Lin & Zhang (1999) - the covariance matrix of the data (or pseudodata in the generalized case) implied by the weights, correlation and random effects structure is obtained, based on the estimates of the parameters of these terms and this is used to obtain the posterior covariance matrix of the fixed and smooth effects.

The bases used to represent smooth terms are the same as those used in gam, although adaptive smoothing bases are not available. Prediction from the returned gam object is straightforward using predict.gam, but this will set the random effects to zero. If you want to predict with random effects set to their predicted values then you can adapt the prediction code given in the examples below.

In the event of lme convergence failures, consider modifying options(mgcv.vc.logrange): reducing it helps to remove indefiniteness in the likelihood, if that is the problem, but too large a reduction can force over or undersmoothing. See notExp2 for more information on this option. Failing that, you can try increasing the niterEM option in control: this will perturb the starting values used in fitting, but usually to values with lower likelihood! Note that this version of gamm works best with R 2.2.0 or above and nlme, 3.1-62 and above, since these use an improved optimizer.

Value

Returns a list with two items:

gam

an object of class gam, less information relating to GCV/UBRE model selection. At present this contains enough information to use predict, summary and print methods and vis.gam, but not to use e.g. the anova method function to compare models. This is based on the working model when using gammPQL.

lme

the fitted model object returned by lme or gammPQL. Note that the model formulae and grouping structures may appear to be rather bizarre, because of the manner in which the GAMM is split up and the calls to lme and gammPQL are constructed.

References

Breslow, N. E. and Clayton, D. G. (1993) Approximate inference in generalized linear mixed models. Journal of the American Statistical Association 88, 9-25.

Lin, X and Zhang, D. (1999) Inference in generalized additive mixed models by using smoothing splines. JRSSB. 55(2):381-400

Pinheiro J.C. and Bates, D.M. (2000) Mixed effects Models in S and S-PLUS. Springer

Ruppert, D., Wand, M.P. and Carroll, R.J. (2003) Semiparametric Regression. Cambridge

Silverman, B.W. (1985) Some aspects of the spline smoothing approach to nonparametric regression. JRSSB 47:1-52

Venables, W. N. and Ripley, B. D. (2002) Modern Applied Statistics with S. Fourth edition. Springer.

Wahba, G. (1983) Bayesian confidence intervals for the cross validated smoothing spline. JRSSB 45:133-150

Wood, S.N. (2004) Stable and efficient multiple smoothing parameter estimation for generalized additive models. Journal of the American Statistical Association. 99:673-686

Wood, S.N. (2003) Thin plate regression splines. J.R.Statist.Soc.B 65(1):95-114

Wood, S.N. (2006a) Low rank scale invariant tensor product smooths for generalized additive mixed models. Biometrics 62(4):1025-1036

Wood S.N. (2006b) Generalized Additive Models: An Introduction with R. Chapman and Hall/CRC Press.

Wang, Y. (1998) Mixed effects smoothing spline analysis of variance. J.R. Statist. Soc. B 60, 159-174

Author

Simon N. Wood simon.wood@r-project.org

WARNINGS

gamm has a somewhat different argument list to gam, gam arguments such as gamma supplied to gamm will just be ignored.

gamm performs poorly with binary data, since it uses PQL. It is better to use gam with s(...,bs="re") terms, or gamm4.

gamm assumes that you know what you are doing! For example, unlike glmmPQL from MASS it will return the complete lme object from the working model at convergence of the PQL iteration, including the `log likelihood', even though this is not the likelihood of the fitted GAMM.

The routine will be very slow and memory intensive if correlation structures are used for the very large groups of data. e.g. attempting to run the spatial example in the examples section with many 1000's of data is definitely not recommended: often the correlations should only apply within clusters that can be defined by a grouping factor, and provided these clusters do not get too huge then fitting is usually possible.

Models must contain at least one random effect: either a smooth with non-zero smoothing parameter, or a random effect specified in argument random.

gamm is not as numerically stable as gam: an lme call will occasionally fail. See details section for suggestions, or try the `gamm4' package.

gamm is usually much slower than gam, and on some platforms you may need to increase the memory available to R in order to use it with large data sets (see memory.limit).

Note that the weights returned in the fitted GAM object are dummy, and not those used by the PQL iteration: this makes partial residual plots look odd.

Note that the gam object part of the returned object is not complete in the sense of having all the elements defined in gamObject and does not inherit from glm: hence e.g. multi-model anova calls will not work. It is also based on the working model when PQL is used.

The parameterization used for the smoothing parameters in gamm, bounds them above and below by an effective infinity and effective zero. See notExp2 for details of how to change this.

Linked smoothing parameters and adaptive smoothing are not supported.

See also

magic for an alternative for correlated data, te, s, predict.gam, plot.gam, summary.gam, negbin, vis.gam,pdTens, gamm4 ( https://cran.r-project.org/package=gamm4)

Examples

library(mgcv)
## simple examples using gamm as alternative to gam
set.seed(0) 
dat <- gamSim(1,n=200,scale=2)
#> Gu & Wahba 4 term additive model
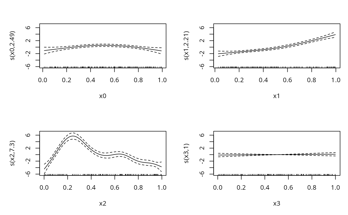
b <- gamm(y~s(x0)+s(x1)+s(x2)+s(x3),data=dat)
plot(b$gam,pages=1)

summary(b$lme) # details of underlying lme fit
#> Linear mixed-effects model fit by maximum likelihood
#>   Data: strip.offset(mf) 
#>        AIC      BIC    logLik
#>   929.4264 962.4096 -454.7132
#> 
#> Random effects:
#>  Formula: ~Xr - 1 | g
#>  Structure: pdIdnot
#>              Xr1      Xr2      Xr3      Xr4      Xr5      Xr6      Xr7      Xr8
#> StdDev: 1.832454 1.832454 1.832454 1.832454 1.832454 1.832454 1.832454 1.832454
#> 
#>  Formula: ~Xr.0 - 1 | g.0 %in% g
#>  Structure: pdIdnot
#>            Xr.01    Xr.02    Xr.03    Xr.04    Xr.05    Xr.06    Xr.07    Xr.08
#> StdDev: 1.517091 1.517091 1.517091 1.517091 1.517091 1.517091 1.517091 1.517091
#> 
#>  Formula: ~Xr.1 - 1 | g.1 %in% g.0 %in% g
#>  Structure: pdIdnot
#>            Xr.11    Xr.12    Xr.13    Xr.14    Xr.15    Xr.16    Xr.17    Xr.18
#> StdDev: 24.29583 24.29583 24.29583 24.29583 24.29583 24.29583 24.29583 24.29583
#> 
#>  Formula: ~Xr.2 - 1 | g.2 %in% g.1 %in% g.0 %in% g
#>  Structure: pdIdnot
#>                Xr.21        Xr.22        Xr.23        Xr.24        Xr.25
#> StdDev: 0.0001727027 0.0001727027 0.0001727027 0.0001727027 0.0001727027
#>                Xr.26        Xr.27        Xr.28 Residual
#> StdDev: 0.0001727027 0.0001727027 0.0001727027 2.142508
#> 
#> Fixed effects:  y.0 ~ X - 1 
#>                  Value Std.Error  DF  t-value p-value
#> X(Intercept)  7.318201 0.1534282 195 47.69790  0.0000
#> Xs(x0)Fx1     0.152108 0.6446780 195  0.23594  0.8137
#> Xs(x1)Fx1    -1.858918 0.5380989 195 -3.45460  0.0007
#> Xs(x2)Fx1    -4.576313 2.8309536 195 -1.61653  0.1076
#> Xs(x3)Fx1    -0.071710 0.1572356 195 -0.45607  0.6488
#>  Correlation: 
#>           X(Int) X(0)F1 X(1)F1 X(2)F1
#> Xs(x0)Fx1  0.000                     
#> Xs(x1)Fx1  0.000 -0.009              
#> Xs(x2)Fx1  0.000  0.025 -0.031       
#> Xs(x3)Fx1  0.000 -0.052  0.023 -0.064
#> 
#> Standardized Within-Group Residuals:
#>         Min          Q1         Med          Q3         Max 
#> -2.63556105 -0.66952301 -0.05179304  0.65709885  2.25213793 
#> 
#> Number of Observations: 200
#> Number of Groups: 
#>                            g                   g.0 %in% g 
#>                            1                            1 
#>          g.1 %in% g.0 %in% g g.2 %in% g.1 %in% g.0 %in% g 
#>                            1                            1 
summary(b$gam) # gam style summary of fitted model
#> 
#> Family: gaussian 
#> Link function: identity 
#> 
#> Formula:
#> y ~ s(x0) + s(x1) + s(x2) + s(x3)
#> 
#> Parametric coefficients:
#>             Estimate Std. Error t value Pr(>|t|)    
#> (Intercept)   7.3182     0.1519   48.19   <2e-16 ***
#> ---
#> Signif. codes:  0 ‘***’ 0.001 ‘**’ 0.01 ‘*’ 0.05 ‘.’ 0.1 ‘ ’ 1
#> 
#> Approximate significance of smooth terms:
#>         edf Ref.df      F p-value    
#> s(x0) 2.489  2.489  5.266 0.00555 ** 
#> s(x1) 2.209  2.209 56.511 < 2e-16 ***
#> s(x2) 7.305  7.305 36.985 < 2e-16 ***
#> s(x3) 1.000  1.000  0.212 0.64554    
#> ---
#> Signif. codes:  0 ‘***’ 0.001 ‘**’ 0.01 ‘*’ 0.05 ‘.’ 0.1 ‘ ’ 1
#> 
#> R-sq.(adj) =  0.686   
#>   Scale est. = 4.5903    n = 200
anova(b$gam) 
#> 
#> Family: gaussian 
#> Link function: identity 
#> 
#> Formula:
#> y ~ s(x0) + s(x1) + s(x2) + s(x3)
#> 
#> Approximate significance of smooth terms:
#>         edf Ref.df      F p-value
#> s(x0) 2.489  2.489  5.266 0.00555
#> s(x1) 2.209  2.209 56.511 < 2e-16
#> s(x2) 7.305  7.305 36.985 < 2e-16
#> s(x3) 1.000  1.000  0.212 0.64554
gam.check(b$gam) # simple checking plots

#> 
#> 'gamm' based fit - care required with interpretation.
#> Checks based on working residuals may be misleading.
#> Basis dimension (k) checking results. Low p-value (k-index<1) may
#> indicate that k is too low, especially if edf is close to k'.
#> 
#>         k'  edf k-index p-value
#> s(x0) 9.00 2.49    1.00    0.53
#> s(x1) 9.00 2.21    0.97    0.32
#> s(x2) 9.00 7.30    0.96    0.26
#> s(x3) 9.00 1.00    1.04    0.65

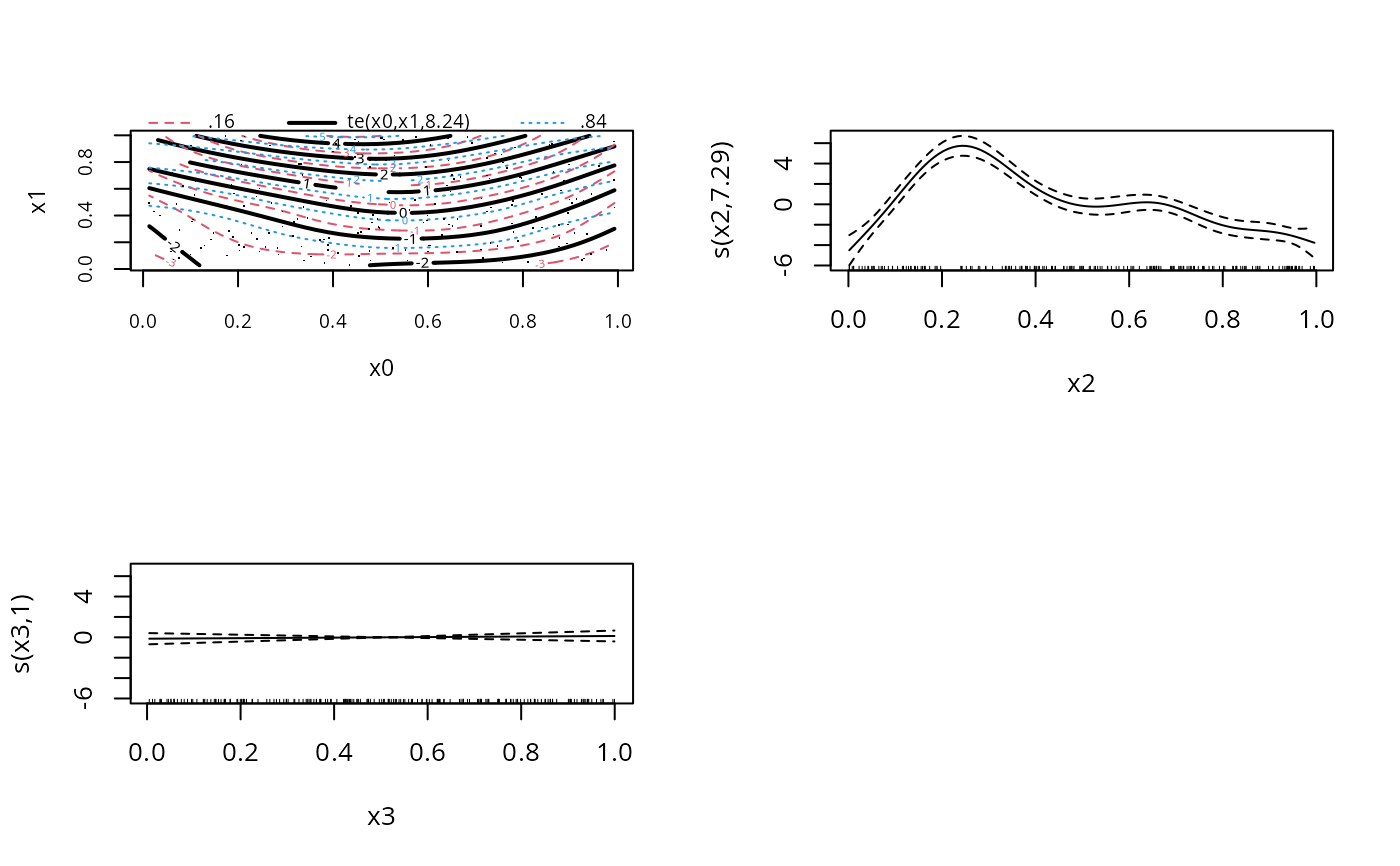
b <- gamm(y~te(x0,x1)+s(x2)+s(x3),data=dat) 
op <- par(mfrow=c(2,2))
plot(b$gam)
par(op)

rm(dat)


## Add a factor to the linear predictor, to be modelled as random
dat <- gamSim(6,n=200,scale=.2,dist="poisson")
#> 4 term additive + random effectGu & Wahba 4 term additive model
b2 <- gamm(y~s(x0)+s(x1)+s(x2),family=poisson,
           data=dat,random=list(fac=~1))
#> 
#>  Maximum number of PQL iterations:  20 
#> iteration 1
#> iteration 2
#> iteration 3
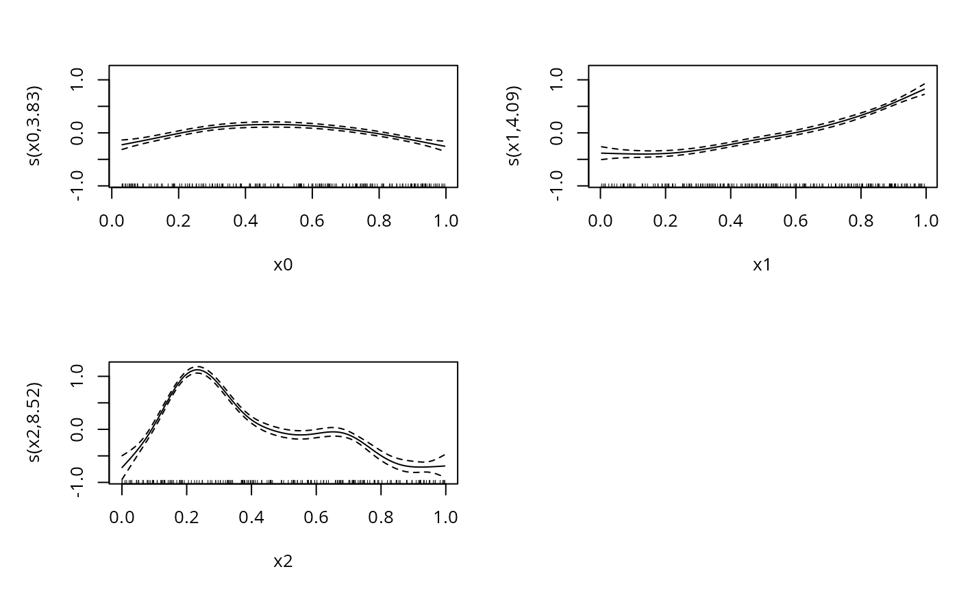
plot(b2$gam,pages=1)

fac <- dat$fac
rm(dat)
vis.gam(b2$gam)


## In the generalized case the 'gam' object is based on the working
## model used in the PQL fitting. Residuals for this are not
## that useful on their own as the following illustrates...

gam.check(b2$gam) 

#> 
#> 'gamm' based fit - care required with interpretation.
#> Checks based on working residuals may be misleading.
#> Basis dimension (k) checking results. Low p-value (k-index<1) may
#> indicate that k is too low, especially if edf is close to k'.
#> 
#>         k'  edf k-index p-value
#> s(x0) 9.00 3.83    1.04    0.78
#> s(x1) 9.00 4.09    1.08    0.91
#> s(x2) 9.00 8.52    0.95    0.33

## But more useful residuals are easy to produce on a model
## by model basis. For example...

fv <- exp(fitted(b2$lme)) ## predicted values (including re)
rsd <- (b2$gam$y - fv)/sqrt(fv) ## Pearson residuals (Poisson case)
op <- par(mfrow=c(1,2))
qqnorm(rsd);plot(fv^.5,rsd)

par(op)

## now an example with autocorrelated errors....
n <- 200;sig <- 2
x <- 0:(n-1)/(n-1)
f <- 0.2*x^11*(10*(1-x))^6+10*(10*x)^3*(1-x)^10
e <- rnorm(n,0,sig)
for (i in 2:n) e[i] <- 0.6*e[i-1] + e[i]
y <- f + e
op <- par(mfrow=c(2,2))
## Fit model with AR1 residuals
b <- gamm(y~s(x,k=20),correlation=corAR1())
plot(b$gam);lines(x,f-mean(f),col=2)
## Raw residuals still show correlation, of course...
acf(residuals(b$gam),main="raw residual ACF")
## But standardized are now fine...
acf(residuals(b$lme,type="normalized"),main="standardized residual ACF")
## compare with model without AR component...
b <- gam(y~s(x,k=20))
plot(b);lines(x,f-mean(f),col=2)


## more complicated autocorrelation example - AR errors
## only within groups defined by `fac'
e <- rnorm(n,0,sig)
for (i in 2:n) e[i] <- 0.6*e[i-1]*(fac[i-1]==fac[i]) + e[i]
y <- f + e
b <- gamm(y~s(x,k=20),correlation=corAR1(form=~1|fac))
#> Error in eval(predvars, data, env): object 'y' not found
plot(b$gam);lines(x,f-mean(f),col=2)
#> Warning: no non-missing arguments to min; returning Inf
#> Warning: no non-missing arguments to max; returning -Inf
#> Warning: no non-missing arguments to min; returning Inf
#> Warning: no non-missing arguments to max; returning -Inf
#> Error in plot.window(...): need finite 'xlim' values
par(op) 


## more complex situation with nested random effects and within
## group correlation 

set.seed(0)
n.g <- 10
n<-n.g*10*4
## simulate smooth part...
dat <- gamSim(1,n=n,scale=2)
#> Gu & Wahba 4 term additive model
f <- dat$f
## simulate nested random effects....
fa <- as.factor(rep(1:10,rep(4*n.g,10)))
ra <- rep(rnorm(10),rep(4*n.g,10))
fb <- as.factor(rep(rep(1:4,rep(n.g,4)),10))
rb <- rep(rnorm(4),rep(n.g,4))
for (i in 1:9) rb <- c(rb,rep(rnorm(4),rep(n.g,4)))
## simulate auto-correlated errors within groups
e<-array(0,0)
for (i in 1:40) {
  eg <- rnorm(n.g, 0, sig)
  for (j in 2:n.g) eg[j] <- eg[j-1]*0.6+ eg[j]
  e<-c(e,eg)
}
dat$y <- f + ra + rb + e
dat$fa <- fa;dat$fb <- fb
## fit model .... 
b <- gamm(y~s(x0,bs="cr")+s(x1,bs="cr")+s(x2,bs="cr")+
  s(x3,bs="cr"),data=dat,random=list(fa=~1,fb=~1),
  correlation=corAR1())
plot(b$gam,pages=1)
summary(b$gam)
#> 
#> Family: gaussian 
#> Link function: identity 
#> 
#> Formula:
#> y ~ s(x0, bs = "cr") + s(x1, bs = "cr") + s(x2, bs = "cr") + 
#>     s(x3, bs = "cr")
#> 
#> Parametric coefficients:
#>             Estimate Std. Error t value Pr(>|t|)    
#> (Intercept)   7.7756     0.4413   17.62   <2e-16 ***
#> ---
#> Signif. codes:  0 ‘***’ 0.001 ‘**’ 0.01 ‘*’ 0.05 ‘.’ 0.1 ‘ ’ 1
#> 
#> Approximate significance of smooth terms:
#>         edf Ref.df       F  p-value    
#> s(x0) 3.393  3.393  11.033 7.38e-07 ***
#> s(x1) 2.757  2.757 127.438  < 2e-16 ***
#> s(x2) 8.006  8.006 111.492  < 2e-16 ***
#> s(x3) 1.000  1.000   0.203    0.652    
#> ---
#> Signif. codes:  0 ‘***’ 0.001 ‘**’ 0.01 ‘*’ 0.05 ‘.’ 0.1 ‘ ’ 1
#> 
#> R-sq.(adj) =  0.567   
#>   Scale est. = 4.9578    n = 400
vis.gam(b$gam)

## Prediction from gam object, optionally adding 
## in random effects. 

## Extract random effects and make names more convenient...
refa <- ranef(b$lme,level=5)
rownames(refa) <- substr(rownames(refa),start=9,stop=20)
refb <- ranef(b$lme,level=6)
rownames(refb) <- substr(rownames(refb),start=9,stop=20)

## make a prediction, with random effects zero...
p0 <- predict(b$gam,data.frame(x0=.3,x1=.6,x2=.98,x3=.77))

## add in effect for fa = "2" and fb="2/4"...
p <- p0 + refa["2",1] + refb["2/4",1] 

## and a "spatial" example...
library(nlme);set.seed(1);n <- 100
dat <- gamSim(2,n=n,scale=0) ## standard example
#> Bivariate smoothing example
attach(dat)
old.par<-par(mfrow=c(2,2))
contour(truth$x,truth$z,truth$f)  ## true function
f <- data$f                       ## true expected response
## Now simulate correlated errors...
cstr <- corGaus(.1,form = ~x+z)  
cstr <- Initialize(cstr,data.frame(x=data$x,z=data$z))
V <- corMatrix(cstr) ## correlation matrix for data
Cv <- chol(V)
e <- t(Cv) %*% rnorm(n)*0.05 # correlated errors
## next add correlated simulated errors to expected values
data$y <- f + e ## ... to produce response
b<- gamm(y~s(x,z,k=50),correlation=corGaus(.1,form=~x+z),
         data=data)
plot(b$gam) # gamm fit accounting for correlation
# overfits when correlation ignored.....  
b1 <- gamm(y~s(x,z,k=50),data=data);plot(b1$gam) 
b2 <- gam(y~s(x,z,k=50),data=data);plot(b2)
par(old.par)