Wrapper functions for construction of and prediction from smooth terms in a GAM. The purpose of the wrappers is to allow user-transparant re-parameterization of smooth terms, in order to allow identifiability constraints to be absorbed into the parameterization of each term, if required. The routine also handles `by' variables and construction of identifiability constraints automatically, although this behaviour can be over-ridden.

smoothCon(object,data,knots=NULL,absorb.cons=FALSE,
          scale.penalty=TRUE,n=nrow(data),dataX=NULL,
          null.space.penalty=FALSE,sparse.cons=0,
          diagonal.penalty=FALSE,apply.by=TRUE,modCon=0)
PredictMat(object,data,n=nrow(data))

Arguments

object

is a smooth specification object or a smooth object.

data

A data frame, model frame or list containing the values of the (named) covariates at which the smooth term is to be evaluated. If it's a list then n must be supplied.

knots

An optional data frame supplying any knot locations to be supplied for basis construction.

absorb.cons

Set to TRUE in order to have identifiability constraints absorbed into the basis.

scale.penalty

should the penalty coefficient matrix be scaled to have approximately the same `size' as the inner product of the terms model matrix with itself? This can improve the performance of gamm fitting.

n

number of values for each covariate, or if a covariate is a matrix, the number of rows in that matrix: must be supplied explicitly if data is a list.

dataX

Sometimes the basis should be set up using data in data, but the model matrix should be constructed with another set of data provided in dataXn is assumed to be the same for both. Facilitates smooth id's.

null.space.penalty

Should an extra penalty be added to the smooth which will penalize the components of the smooth in the penalty null space: provides a way of penalizing terms out of the model altogether.

apply.by

set to FALSE to have basis setup exactly as in default case, but to return add an additional matrix X0 to the return object, containing the model matrix without the by variable, if a by variable is present. Useful for bam discrete method setup.

sparse.cons

If 0 then default sum to zero constraints are used. If -1 then sweep and drop sum to zero constraints are used (default with bam). If 1 then one coefficient is set to zero as constraint for sparse smooths. If 2 then sparse coefficient sum to zero constraints are used for sparse smooths. None of these options has an effect if the smooth supplies its own constraint.

diagonal.penalty

If TRUE then the smooth is reparameterized to turn the penalty into an identity matrix, with the final diagonal elements zeroed (corresponding to the penalty nullspace). May result in a matrix diagRP in the returned object for use by PredictMat.

modCon

force modification of any smooth supplied constraints. 0 - do nothing. 1 - delete supplied constraints, replacing with automatically generated ones. 2 - set fit and predict constraint to predict constraint. 3 - set fit and predict constraint to fit constraint.

Value

From smoothCon a list of smooth objects returned by the appropriate smooth.construct method function. If constraints are to be absorbed then the objects will have attributes "qrc" and "nCons". "nCons" is the number of constraints. "qrc" is usually the qr decomposition of the constraint matrix (returned by qr), but if it is a single positive integer it is the index of the coefficient to set to zero, and if it is a negative number then this indicates that the parameters are to sum to zero.

For predictMat a matrix which will map the parameters associated with the smooth to the vector of values of the smooth evaluated at the covariate values given in object.

Details

These wrapper functions exist to allow smooths specified using smooth.construct and Predict.matrix method functions to be re-parameterized so that identifiability constraints are no longer required in fitting. This is done in a user transparent manner, but is typically of no importance in use of GAMs. The routine's also handle by variables and will create default identifiability constraints.

If a user defined smooth constructor handles by variables itself, then its returned smooth object should contain an object by.done. If this does not exist then smoothCon will use the default code. Similarly if a user defined Predict.matrix method handles by variables internally then the returned matrix should have a "by.done" attribute.

Default centering constraints, that terms should sum to zero over the covariates, are produced unless the smooth constructor includes a matrix C of constraints. To have no constraints (in which case you had better have a full rank penalty!) the matrix C should have no rows. There is an option to use centering constraint that generate no, or limited infil, if the smoother has a sparse model matrix.

smoothCon returns a list of smooths because factor by variables result in multiple copies of a smooth, each multiplied by the dummy variable associated with one factor level. smoothCon modifies the smooth object labels in the presence of by variables, to ensure that they are unique, it also stores the level of a by variable factor associated with a smooth, for later use by PredictMat.

The parameterization used by gam can be controlled via gam.control.

Author

Simon N. Wood simon.wood@r-project.org

Examples

## example of using smoothCon and PredictMat to set up a basis
## to use for regression and make predictions using the result
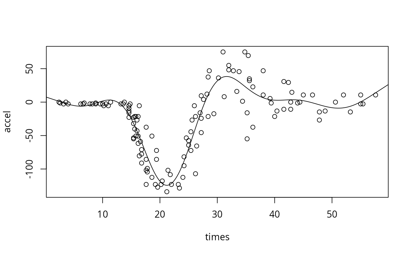
library(MASS) ## load for mcycle data.
## set up a smoother...
sm <- smoothCon(s(times,k=10),data=mcycle,knots=NULL)[[1]]
## use it to fit a regression spline model...
beta <- coef(lm(mcycle$accel~sm$X-1))
with(mcycle,plot(times,accel)) ## plot data
times <- seq(0,60,length=200)  ## creat prediction times
## Get matrix mapping beta to spline prediction at 'times'
Xp <- PredictMat(sm,data.frame(times=times))
lines(times,Xp%*%beta) ## add smooth to plot


## Same again but using a penalized regression spline of
## rank 30....
sm <- smoothCon(s(times,k=30),data=mcycle,knots=NULL)[[1]]
E <- t(mroot(sm$S[[1]])) ## square root penalty
X <- rbind(sm$X,0.1*E) ## augmented model matrix
y <- c(mcycle$accel,rep(0,nrow(E))) ## augmented data
beta <- coef(lm(y~X-1)) ## fit penalized regression spline
Xp <- PredictMat(sm,data.frame(times=times)) ## prediction matrix
with(mcycle,plot(times,accel)) ## plot data
lines(times,Xp%*%beta) ## overlay smooth