The anova function automatically tests most meaningful hypotheses in a design. For example, suppose that age and cholesterol are predictors, and that a general interaction is modeled using a restricted spline surface. anova prints Wald statistics (\(F\) statistics for an ols fit) for testing linearity of age, linearity of cholesterol, age effect (age + age by cholesterol interaction), cholesterol effect (cholesterol + age by cholesterol interaction), linearity of the age by cholesterol interaction (i.e., adequacy of the simple age * cholesterol 1 d.f. product), linearity of the interaction in age alone, and linearity of the interaction in cholesterol alone. Joint tests of all interaction terms in the model and all nonlinear terms in the model are also performed. For any multiple d.f. effects for continuous variables that were not modeled through rcs, pol, lsp, etc., tests of linearity will be omitted. This applies to matrix predictors produced by e.g. poly or ns.

For lrm, orm, cph, psm and Glm fits, the better likelihood ratio chi-square tests may be obtained by specifying test='LR'. Fits must use x=TRUE, y=TRUE to run LR tests. The tests are run fairly efficiently by subsetting the design matrix rather than recreating it.

print.anova.rms is the printing method. plot.anova.rms draws dot charts depicting the importance of variables in the model, as measured by Wald or LR \(\chi^2\), \(\chi^2\) minus d.f., AIC, \(P\)-values, partial \(R^2\), \(R^2\) for the whole model after deleting the effects in question, or proportion of overall model \(R^2\) that is due to each predictor. latex.anova.rms is the latex method. It substitutes Greek/math symbols in column headings, uses boldface for TOTAL lines, and constructs a caption. Then it passes the result to latex.default for conversion to LaTeX.

When the anova table was converted to account for missing data imputation by processMI, a separate function prmiInfo can be used to print information related to imputation adjustments.

For Bayesian models such as blrm, anova computes relative explained variation indexes (REV) based on approximate Wald statistics. This uses the variance-covariance matrix of all of the posterior draws, and the individual draws of betas, plus an overall summary from the posterior mode/mean/median beta. Wald chi-squares assuming multivariate normality of betas are computed just as with frequentist models, and for each draw (or for the summary) the ratio of the partial Wald chi-square to the total Wald statistic for the model is computed as REV.

The print method calls latex or html methods depending on options(prType=). For latex a table environment is not used and an ordinary tabular is produced. When using html with Quarto or RMarkdown, results='asis' need not be written in the chunk header.

html.anova.rms just calls latex.anova.rms.

# S3 method for class 'rms'
anova(object, ..., main.effect=FALSE, tol=.Machine$double.eps,
      test=c('F','Chisq','LR'), india=TRUE, indnl=TRUE, ss=TRUE,
      vnames=c('names','labels'),
      posterior.summary=c('mean', 'median', 'mode'), ns=500, cint=0.95,
      fitargs=NULL)

# S3 method for class 'anova.rms'
print(x,
      which=c('none','subscripts','names','dots'),
      table.env=FALSE, ...)

# S3 method for class 'anova.rms'
plot(x,
     what=c("chisqminusdf","chisq","aic","P","partial R2","remaining R2",
            "proportion R2", "proportion chisq"),
     xlab=NULL, pch=16,
     rm.totals=TRUE, rm.ia=FALSE, rm.other=NULL, newnames,
     sort=c("descending","ascending","none"), margin=c('chisq','P'),
     pl=TRUE, trans=NULL, ntrans=40, height=NULL, width=NULL, ...)

# S3 method for class 'anova.rms'
latex(object, title, dec.chisq=2,
      dec.F=2, dec.ss=NA, dec.ms=NA, dec.P=4, dec.REV=3,
      table.env=TRUE,
      caption=NULL, fontsize=1, params, ...)

# S3 method for class 'anova.rms'
html(object, ...)

Arguments

object

a rms fit object. object must allow vcov to return the variance-covariance matrix. For latex is the result of anova.

...

If omitted, all variables are tested, yielding tests for individual factors and for pooled effects. Specify a subset of the variables to obtain tests for only those factors, with a pooled tests for the combined effects of all factors listed. Names may be abbreviated. For example, specify anova(fit,age,cholesterol) to get a Wald statistic for testing the joint importance of age, cholesterol, and any factor interacting with them. Add test='LR' to get a likelihood ratio chi-square test instead.

Can be optional graphical parameters to send to dotchart2, or other parameters to send to latex.default. Ignored for print.

For html.anova.rms the arguments are passed to latex.anova.rms.

main.effect

Set to TRUE to print the (usually meaningless) main effect tests even when the factor is involved in an interaction. The default is FALSE, to print only the effect of the main effect combined with all interactions involving that factor.

tol

singularity criterion for use in matrix inversion

test

For an ols fit, set test="Chisq" to use Wald \(\chi^2\) tests rather than F-tests. For lrm, orm, cph, psm and Glm fits set test='LR' to get likelihood ratio \(\chi^2\) tests. This requires specifying x=TRUE, y=TRUE when fitting the model.

india

set to FALSE to exclude individual tests of interaction from the table

indnl

set to FALSE to exclude individual tests of nonlinearity from the table

ss

For an ols fit, set ss=FALSE to suppress printing partial sums of squares, mean squares, and the Error SS and MS.

vnames

set to 'labels' to use variable labels rather than variable names in the output

posterior.summary

specifies whether the posterior mode/mean/median beta are to be used as a measure of central tendence of the posterior distribution, for use in relative explained variation from Bayesian models

ns

number of random samples from the posterior draws to use for REV highest posterior density intervals

cint

HPD interval probability

fitargs

a list of extra arguments to be passed to the fitter for LR tests

x

for print,plot,text is the result of anova.

which

If which is not "none" (the default), print.anova.rms will add to the rightmost column of the output the list of parameters being tested by the hypothesis being tested in the current row. Specifying which="subscripts" causes the subscripts of the regression coefficients being tested to be printed (with a subscript of one for the first non-intercept term). which="names" prints the names of the terms being tested, and which="dots" prints dots for terms being tested and blanks for those just being adjusted for.

what

what type of statistic to plot. The default is the \(\chi^2\) statistic for each factor (adding in the effect of higher-ordered factors containing that factor) minus its degrees of freedom. The R2 choices for what only apply to ols models.

xlab

x-axis label, default is constructed according to what. plotmath symbols are used for R, by default.

pch

character for plotting dots in dot charts. Default is 16 (solid dot).

rm.totals

set to FALSE to keep total \(\chi^2\)s (overall, nonlinear, interaction totals) in the chart.

rm.ia

set to TRUE to omit any effect that has "*" in its name

rm.other

a list of other predictor names to omit from the chart

newnames

a list of substitute predictor names to use, after omitting any.

sort

default is to sort bars in descending order of the summary statistic. Available options: 'ascending', 'descending', 'none'.

margin

set to a vector of character strings to write text for selected statistics in the right margin of the dot chart. The character strings can be any combination of "chisq", "d.f.", "P", "partial R2", "proportion R2", and "proportion chisq". Default is to not draw any statistics in the margin. When plotly is in effect, margin values are instead displayed as hover text.

pl

set to FALSE to suppress plotting. This is useful when you only wish to analyze the vector of statistics returned.

trans

set to a function to apply that transformation to the statistics being plotted, and to truncate negative values at zero. A good choice is trans=sqrt.

ntrans

n argument to pretty, specifying the number of values for which to place tick marks. This should be larger than usual because of nonlinear scaling, to provide a sufficient number of tick marks on the left (stretched) part of the chi-square scale.

height,width

height and width of plotly plots drawn using dotchartp, in pixels. Ignored for ordinary plots. Defaults to minimum of 400 and 100 + 25 times the number of test statistics displayed.

title

title to pass to latex, default is name of fit object passed to anova prefixed with "anova.". For Windows, the default is "ano" followed by the first 5 letters of the name of the fit object.

dec.chisq

number of places to the right of the decimal place for typesetting \(\chi^2\) values (default is 2). Use zero for integer, NA for floating point.

dec.F

digits to the right for \(F\) statistics (default is 2)

dec.ss

digits to the right for sums of squares (default is NA, indicating floating point)

dec.ms

digits to the right for mean squares (default is NA)

dec.P

digits to the right for \(P\)-values

dec.REV

digits to the right for REV

table.env

see latex

caption

caption for table if table.env is TRUE. Default is constructed from the response variable.

fontsize

font size for html output; default is 1 for 1em

params

used internally when called through print.

Value

anova.rms returns a matrix of class anova.rms containing factors as rows and \(\chi^2\), d.f., and \(P\)-values as columns (or d.f., partial \(SS, MS, F, P\)). An attribute vinfo provides list of variables involved in each row and the type of test done. plot.anova.rms invisibly returns the vector of quantities plotted. This vector has a names attribute describing the terms for which the statistics in the vector are calculated.

Details

If the statistics being plotted with plot.anova.rms are few in number and one of them is negative or zero, plot.anova.rms will quit because of an error in dotchart2.

The latex method requires LaTeX packages relsize and needspace.

Author

Frank Harrell
Department of Biostatistics, Vanderbilt University
fh@fharrell.com

Side Effects

print prints, latex creates a file with a name of the form "title.tex" (see the title argument above).

Examples

require(ggplot2)
#> Loading required package: ggplot2
n <- 1000    # define sample size
set.seed(17) # so can reproduce the results
treat <- factor(sample(c('a','b','c'), n,TRUE))
num.diseases <- sample(0:4, n,TRUE)
age <- rnorm(n, 50, 10)
cholesterol <- rnorm(n, 200, 25)
weight <- rnorm(n, 150, 20)
sex <- factor(sample(c('female','male'), n,TRUE))
label(age) <- 'Age'      # label is in Hmisc
label(num.diseases) <- 'Number of Comorbid Diseases'
label(cholesterol) <- 'Total Cholesterol'
label(weight) <- 'Weight, lbs.'
label(sex) <- 'Sex'
units(cholesterol) <- 'mg/dl'   # uses units.default in Hmisc


# Specify population model for log odds that Y=1
L <- .1*(num.diseases-2) + .045*(age-50) +
     (log(cholesterol - 10)-5.2)*(-2*(treat=='a') +
     3.5*(treat=='b')+2*(treat=='c'))
# Simulate binary y to have Prob(y=1) = 1/[1+exp(-L)]
y <- ifelse(runif(n) < plogis(L), 1, 0)


fit <- lrm(y ~ treat + scored(num.diseases) + rcs(age) +
               log(cholesterol+10) + treat:log(cholesterol+10),
           x=TRUE, y=TRUE)   # x, y needed for test='LR'
#> number of knots in rcs defaulting to 5
a <- anova(fit)                       # Test all factors
b <- anova(fit, treat, cholesterol)   # Test these 2 by themselves
                                      # to get their pooled effects
a
#>                 Wald Statistics          Response: y 
#> 
#>  Factor                                             Chi-Square d.f. P     
#>  treat  (Factor+Higher Order Factors)               15.88       4   0.0032
#>   All Interactions                                  10.79       2   0.0045
#>  num.diseases                                       14.91       4   0.0049
#>   Nonlinear                                          0.73       3   0.8660
#>  age                                                67.97       4   <.0001
#>   Nonlinear                                          1.11       3   0.7738
#>  cholesterol  (Factor+Higher Order Factors)         12.99       3   0.0047
#>   All Interactions                                  10.79       2   0.0045
#>  treat * cholesterol  (Factor+Higher Order Factors) 10.79       2   0.0045
#>  TOTAL NONLINEAR                                     2.03       6   0.9168
#>  TOTAL NONLINEAR + INTERACTION                      13.20       8   0.1051
#>  TOTAL                                              90.80      13   <.0001
b
#>                 Wald Statistics          Response: y 
#> 
#>  Factor                                     Chi-Square d.f. P     
#>  treat  (Factor+Higher Order Factors)       15.88      4    0.0032
#>   All Interactions                          10.79      2    0.0045
#>  cholesterol  (Factor+Higher Order Factors) 12.99      3    0.0047
#>   All Interactions                          10.79      2    0.0045
#>  TOTAL                                      17.90      5    0.0031
a2 <- anova(fit, test='LR')
b2 <- anova(fit, treat, cholesterol, test='LR')
a2
#>                 Likelihood Ratio Statistics          Response: y 
#> 
#>  Factor                                             Chi-Square d.f. P     
#>  treat  (Factor+Higher Order Factors)                16.29      4   0.0027
#>   All Interactions                                   11.01      2   0.0041
#>  num.diseases                                        15.09      4   0.0045
#>   Nonlinear                                           0.73      3   0.8657
#>  age                                                 75.40      4   <.0001
#>   Nonlinear                                           1.11      3   0.7739
#>  cholesterol  (Factor+Higher Order Factors)          13.38      3   0.0039
#>   All Interactions                                   11.01      2   0.0041
#>  treat * cholesterol  (Factor+Higher Order Factors)  11.01      2   0.0041
#>  TOTAL NONLINEAR                                      2.03      6   0.9165
#>  TOTAL NONLINEAR + INTERACTION                       13.55      8   0.0943
#>  TOTAL                                              105.73     13   <.0001
b2
#>                 Likelihood Ratio Statistics          Response: y 
#> 
#>  Factor                                     Chi-Square d.f. P     
#>  treat  (Factor+Higher Order Factors)       16.29      4    0.0027
#>   All Interactions                          11.01      2    0.0041
#>  cholesterol  (Factor+Higher Order Factors) 13.38      3    0.0039
#>   All Interactions                          11.01      2    0.0041
#>  TOTAL                                      18.56      5    0.0023

# Add a new line to the plot with combined effects
s <- rbind(a2, 'treat+cholesterol'=b2['TOTAL',])

class(s) <- 'anova.rms'
plot(s, margin=c('chisq', 'proportion chisq'))


g <- lrm(y ~ treat*rcs(age))
#> number of knots in rcs defaulting to 5
dd <- datadist(treat, num.diseases, age, cholesterol)
options(datadist='dd')
p <- Predict(g, age, treat="b")
#> Error in value.chk(at, which(name == n), NA, np, lim): variable age does not have limits defined by datadist
s <- anova(g)
tx <- paste(capture.output(s), collapse='\n')
ggplot(p) + annotate('text', x=27, y=3.2, family='mono', label=tx,
                      hjust=0, vjust=1, size=1.5)
#> Error: object 'p' not found

plot(s, margin=c('chisq', 'proportion chisq'))

# new plot - dot chart of chisq-d.f. with 2 other stats in right margin
# latex(s)                       # nice printout - creates anova.g.tex
options(datadist=NULL)


# Simulate data with from a given model, and display exactly which
# hypotheses are being tested


set.seed(123)
age <- rnorm(500, 50, 15)
treat <- factor(sample(c('a','b','c'), 500, TRUE))
bp  <- rnorm(500, 120, 10)
y   <- ifelse(treat=='a', (age-50)*.05, abs(age-50)*.08) + 3*(treat=='c') +
       pmax(bp, 100)*.09 + rnorm(500)
f   <- ols(y ~ treat*lsp(age,50) + rcs(bp,4))
print(names(coef(f)), quote=FALSE)
#>  [1] Intercept      treat=b        treat=c        age            age'          
#>  [6] bp             bp'            bp''           treat=b * age  treat=c * age 
#> [11] treat=b * age' treat=c * age'
specs(f)
#> ols(formula = y ~ treat * lsp(age, 50) + rcs(bp, 4))
#> 
#>             Assumption  Parameters                  d.f.
#> treat       category     a b c                      2   
#> age         lspline      50                         2   
#> bp          rcspline     103.28 116.6 123.63 137.53 3   
#> treat * age interaction linear x nonlinear - Ag(B)  4   
anova(f)
#>                 Analysis of Variance          Response: y 
#> 
#>  Factor                                     d.f. Partial SS  MS          F     
#>  treat  (Factor+Higher Order Factors)         6  1421.697707 236.9496179 241.73
#>   All Interactions                            4    61.546142  15.3865356  15.70
#>  age  (Factor+Higher Order Factors)           6   222.006522  37.0010869  37.75
#>   All Interactions                            4    61.546142  15.3865356  15.70
#>   Nonlinear (Factor+Higher Order Factors)     3   156.880935  52.2936449  53.35
#>  bp                                           3   344.332965 114.7776551 117.09
#>   Nonlinear                                   2     1.411244   0.7056222   0.72
#>  treat * age  (Factor+Higher Order Factors)   4    61.546142  15.3865356  15.70
#>   Nonlinear                                   2    22.872076  11.4360378  11.67
#>   Nonlinear Interaction : f(A,B) vs. AB       2    22.872076  11.4360378  11.67
#>  TOTAL NONLINEAR                              5   157.749868  31.5499735  32.19
#>  TOTAL NONLINEAR + INTERACTION                7   194.532234  27.7903192  28.35
#>  REGRESSION                                  11  1861.112468 169.1920425 172.61
#>  ERROR                                      488   478.347327   0.9802199       
#>  P     
#>  <.0001
#>  <.0001
#>  <.0001
#>  <.0001
#>  <.0001
#>  <.0001
#>  0.4873
#>  <.0001
#>  <.0001
#>  <.0001
#>  <.0001
#>  <.0001
#>  <.0001
#>        
an <- anova(f)
options(digits=3)
print(an, 'subscripts')
#>                 Analysis of Variance          Response: y 
#> 
#>  Factor                                     d.f. Partial SS MS      F     
#>  treat  (Factor+Higher Order Factors)         6  1421.70    236.950 241.73
#>   All Interactions                            4    61.55     15.387  15.70
#>  age  (Factor+Higher Order Factors)           6   222.01     37.001  37.75
#>   All Interactions                            4    61.55     15.387  15.70
#>   Nonlinear (Factor+Higher Order Factors)     3   156.88     52.294  53.35
#>  bp                                           3   344.33    114.778 117.09
#>   Nonlinear                                   2     1.41      0.706   0.72
#>  treat * age  (Factor+Higher Order Factors)   4    61.55     15.387  15.70
#>   Nonlinear                                   2    22.87     11.436  11.67
#>   Nonlinear Interaction : f(A,B) vs. AB       2    22.87     11.436  11.67
#>  TOTAL NONLINEAR                              5   157.75     31.550  32.19
#>  TOTAL NONLINEAR + INTERACTION                7   194.53     27.790  28.35
#>  REGRESSION                                  11  1861.11    169.192 172.61
#>  ERROR                                      488   478.35      0.980       
#>  P      Tested     
#>  <.0001 1-2,8-11   
#>  <.0001 8-11       
#>  <.0001 3-4,8-11   
#>  <.0001 8-11       
#>  <.0001 4,10-11    
#>  <.0001 5-7        
#>  0.487  6-7        
#>  <.0001 8-11       
#>  <.0001 10-11      
#>  <.0001 10-11      
#>  <.0001 4,6-7,10-11
#>  <.0001 4,6-11     
#>  <.0001 1-11       
#>                    
#> 
#> Subscripts correspond to:
#>  [1] treat=b        treat=c        age            age'           bp            
#>  [6] bp'            bp''           treat=b * age  treat=c * age  treat=b * age'
#> [11] treat=c * age'
print(an, 'dots')
#>                 Analysis of Variance          Response: y 
#> 
#>  Factor                                     d.f. Partial SS MS      F     
#>  treat  (Factor+Higher Order Factors)         6  1421.70    236.950 241.73
#>   All Interactions                            4    61.55     15.387  15.70
#>  age  (Factor+Higher Order Factors)           6   222.01     37.001  37.75
#>   All Interactions                            4    61.55     15.387  15.70
#>   Nonlinear (Factor+Higher Order Factors)     3   156.88     52.294  53.35
#>  bp                                           3   344.33    114.778 117.09
#>   Nonlinear                                   2     1.41      0.706   0.72
#>  treat * age  (Factor+Higher Order Factors)   4    61.55     15.387  15.70
#>   Nonlinear                                   2    22.87     11.436  11.67
#>   Nonlinear Interaction : f(A,B) vs. AB       2    22.87     11.436  11.67
#>  TOTAL NONLINEAR                              5   157.75     31.550  32.19
#>  TOTAL NONLINEAR + INTERACTION                7   194.53     27.790  28.35
#>  REGRESSION                                  11  1861.11    169.192 172.61
#>  ERROR                                      488   478.35      0.980       
#>  P      Tested     
#>  <.0001 ..     ....
#>  <.0001        ....
#>  <.0001   ..   ....
#>  <.0001        ....
#>  <.0001    .     ..
#>  <.0001     ...    
#>  0.487       ..    
#>  <.0001        ....
#>  <.0001          ..
#>  <.0001          ..
#>  <.0001    . ..  ..
#>  <.0001    . ......
#>  <.0001 ...........
#>                    
#> 
#> Subscripts correspond to:
#>  [1] treat=b        treat=c        age            age'           bp            
#>  [6] bp'            bp''           treat=b * age  treat=c * age  treat=b * age'
#> [11] treat=c * age'


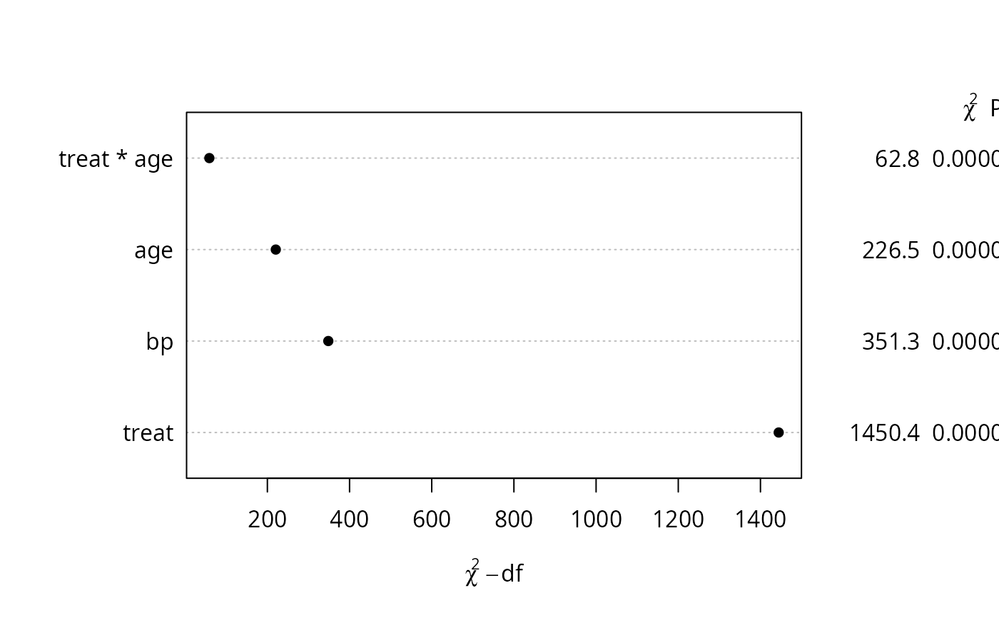
an <- anova(f, test='Chisq', ss=FALSE)
# plot(0:1)                        # make some plot
# tab <- pantext(an, 1.2, .6, lattice=FALSE, fontfamily='Helvetica')
# create function to write table; usually omit fontfamily
# tab()                            # execute it; could do tab(cex=.65)
plot(an)                         # new plot - dot chart of chisq-d.f.

# Specify plot(an, trans=sqrt) to use a square root scale for this plot
# latex(an)                      # nice printout - creates anova.f.tex


## Example to save partial R^2 for all predictors, along with overall
## R^2, from two separate fits, and to combine them with ggplot2

require(ggplot2)
set.seed(1)
n <- 100
x1 <- runif(n)
x2 <- runif(n)
y  <- (x1-.5)^2 + x2 + runif(n)
group <- c(rep('a', n/2), rep('b', n/2))
A <- NULL
for(g in c('a','b')) {
    f <- ols(y ~ pol(x1,2) + pol(x2,2) + pol(x1,2) %ia% pol(x2,2),
             subset=group==g)
    a <- plot(anova(f),
              what='partial R2', pl=FALSE, rm.totals=FALSE, sort='none')
    a <- a[-grep('NONLINEAR', names(a))]
    d <- data.frame(group=g, Variable=factor(names(a), names(a)),
                    partialR2=unname(a))
    A <- rbind(A, d)
  }
ggplot(A, aes(x=partialR2, y=Variable)) + geom_point() +
       facet_wrap(~ group) + xlab(ex <- expression(partial~R^2)) +
       scale_y_discrete(limits=rev)

ggplot(A, aes(x=partialR2, y=Variable, color=group)) + geom_point() +
       xlab(ex <- expression(partial~R^2)) +
       scale_y_discrete(limits=rev)


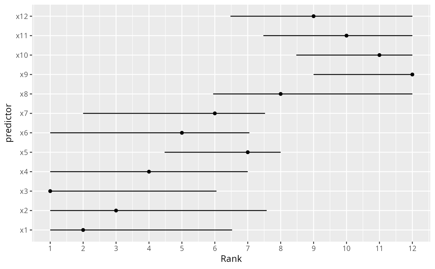
# Suppose that a researcher wants to make a big deal about a variable
# because it has the highest adjusted chi-square.  We use the
# bootstrap to derive 0.95 confidence intervals for the ranks of all
# the effects in the model.  We use the plot method for anova, with
# pl=FALSE to suppress actual plotting of chi-square - d.f. for each
# bootstrap repetition.
# It is important to tell plot.anova.rms not to sort the results, or
# every bootstrap replication would have ranks of 1,2,3,... for the stats.

n <- 300
set.seed(1)
d <- data.frame(x1=runif(n), x2=runif(n),  x3=runif(n),
   x4=runif(n), x5=runif(n), x6=runif(n),  x7=runif(n),
   x8=runif(n), x9=runif(n), x10=runif(n), x11=runif(n),
   x12=runif(n))
d$y <- with(d, 1*x1 + 2*x2 + 3*x3 +  4*x4  + 5*x5 + 6*x6 +
               7*x7 + 8*x8 + 9*x9 + 10*x10 + 11*x11 +
              12*x12 + 9*rnorm(n))

f <- ols(y ~ x1+x2+x3+x4+x5+x6+x7+x8+x9+x10+x11+x12, data=d)
B <- 20   # actually use B=1000
ranks <- matrix(NA, nrow=B, ncol=12)
rankvars <- function(fit)
  rank(plot(anova(fit), sort='none', pl=FALSE))
Rank <- rankvars(f)
for(i in 1:B) {
  j <- sample(1:n, n, TRUE)
  bootfit <- update(f, data=d, subset=j)
  ranks[i,] <- rankvars(bootfit)
  }
lim <- t(apply(ranks, 2, quantile, probs=c(.025,.975)))
predictor <- factor(names(Rank), names(Rank))
w <- data.frame(predictor, Rank, lower=lim[,1], upper=lim[,2])
ggplot(w, aes(x=predictor, y=Rank)) + geom_point() + coord_flip() +
  scale_y_continuous(breaks=1:12) +
  geom_errorbar(aes(ymin=lim[,1], ymax=lim[,2]), width=0)