Skip to contents

Compute \(log()\) only for high values and keep low ones – antisymmetrically such that u.log(x) is (once) continuously differentiable, it computes \(f(x) = x\) for \(|x| \le c\) and \(sign(x) c\cdot(1 + log(|x|/c))\) for \(|x| \ge c\).

Usage

u.log(x, c = 1)

Arguments

x

numeric vector to be transformed.

c

scalar, > 0

Details

Alternatively, the ‘IHS’ (inverse hyperbolic sine) transform has been proposed, first in more generality as \(S_U()\) curves by Johnson(1949); in its simplest form, \(f(x) = arsinh(x) = \log(x + \sqrt{x^2 + 1})\), which is also antisymmetric, continous and once differentiable as our u.log(.).

See also

Werner Stahel's sophisticated version of John Tukey's “started log” (which was \(\log(x + c)\)), with concave extension to negative values and adaptive default choice of \(c\); logst in his CRAN package relevance, or LogSt in package DescTools.

Value

numeric vector of same length as x.

Author

Martin Maechler, 24 Jan 1995

References

N. L. Johnson (1949). Systems of Frequency Curves Generated by Methods of Translation, Biometrika 36, pp 149–176. doi:10.2307/2332539

Examples

curve(u.log, -3, 10); abline(h=0, v=0, col = "gray20", lty = 3)
curve(1 + log(x), .01,  add = TRUE, col= "brown") # simple log
curve(u.log(x,    2),   add = TRUE, col=2)
curve(u.log(x, c= 0.4), add = TRUE, col=4)


## Compare with  IHS = inverse hyperbolic sine == asinh 
ihs <- function(x) log(x+sqrt(x^2+1)) # == asinh(x) {aka "arsinh(x)" or "sinh^{-1} (x)"}
xI <- c(-Inf, Inf, NA, NaN)
stopifnot(all.equal(xI, asinh(xI))) # but not for ihs():
cbind(xI, asinh=asinh(xI), ihs=ihs(xI)) # differs for -Inf
#>        xI asinh ihs
#> [1,] -Inf  -Inf NaN
#> [2,]  Inf   Inf Inf
#> [3,]   NA    NA  NA
#> [4,]  NaN   NaN NaN
x <- runif(500, 0, 4); x[100+0:3] <- xI
all.equal(ihs(x), asinh(x)) #==>  is.NA value mismatch:  asinh() is correct {i.e. better!}
#> [1] "'is.NA' value mismatch: 2 in current 3 in target"

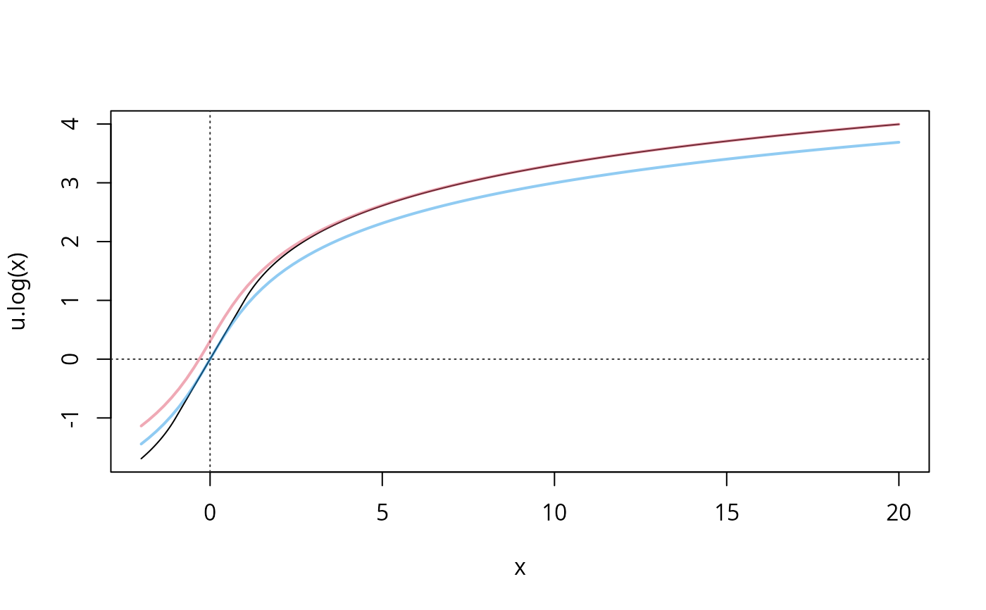
curve(u.log, -2, 20, n=1000); abline(h=0, v=0, col = "gray20", lty = 3)
curve(ihs(x)+1-log(2), add=TRUE, col=adjustcolor(2, 1/2), lwd=2)
curve(ihs(x),          add=TRUE, col=adjustcolor(4, 1/2), lwd=2)

## for x >= 0, u.log(x) is nicely between IHS(x) and shifted IHS

## a  log10-scale version of asinh()  {aka "IHS" }: ihs10(x) :=  asinh(x/2) / ln(10)
ihs10 <- function(x) asinh(x/2)/log(10)
xyaxis <- function() abline(h=0, v=0, col = "gray20", lty = 3)
leg3 <- function(x = "right")
    legend(x, legend = c(quote(ihs10(x) == asinh(x/2)/log(10)),
                         quote(log[10](1+x)), quote(log[10](x))),
           col=c(1,2,5), bty="n", lwd=2)
curve(asinh(x/2)/log(10), -5, 20, n=1000, lwd=2); xyaxis()
curve(log10(1+x), col=2, lwd=2, add=TRUE)
#> Warning: NaNs produced
curve(log10( x ), col=5, lwd=2, add=TRUE); leg3()
#> Warning: NaNs produced


## zoom out  and  x-log-scale
curve(asinh(x/2)/log(10), .1, 100, log="x", n=1000); xyaxis()
curve(log10(1+x), col=2, add=TRUE)
curve(log10( x ), col=5, add=TRUE) ; leg3("center")


curve(log10(1+x) - ihs10(x), .1, 1000, col=2, n=1000, log="x", ylim = c(-1,1)*0.10,
      main = "absolute difference", xaxt="n"); xyaxis(); eaxis(1, sub10=1)
curve(log10( x ) - ihs10(x), col=4, n=1000, add = TRUE)


curve(abs(1 - ihs10(x) / log10(1+x)), .1, 5000, col=2, log = "xy", ylim = c(6e-9, 2),
      main="|relative error| of approx. ihs10(x) :=  asinh(x/2)/log(10)", n=1000, axes=FALSE)
eaxis(1, sub10=1); eaxis(2, sub10=TRUE)
curve(abs(1 - ihs10(x) / log10(x)), col=4, n=1000, add = TRUE)
legend("left", legend = c(quote(log[10](1+x)), quote(log[10](x))),
       col=c(2,4), bty="n", lwd=1)


## Compare with Stahel's version of "started log"
## (here, for *vectors* only, and 'base', as Desctools::LogSt();

## by MM: "modularized" by providing a threshold-computer function separately:
logst_thrWS <- function(x, mult = 1) {
    lq <- quantile(x[x > 0], probs = c(0.25, 0.75), na.rm = TRUE, names = FALSE)
    if (lq[1] == lq[2])
        lq[1] <- lq[2]/2
    lq[1]^(1 + mult)/lq[2]^mult
}
logst0L <- function(x, calib = x, threshold = thrFUN(calib, mult=mult),
                   thrFUN = logst_thrWS, mult = 1, base = 10)
{
    ## logical index sub-assignment instead of ifelse(): { already in DescTools::LogSt }
    res <- x # incl NA's
    notNA <- !is.na(sml <- (x < (th <- threshold)))
    i1 <-  sml & notNA; res[i1] <- log(th, base) + ((x[i1] - th)/(th * log(base)))
    i2 <- !sml & notNA; res[i2] <- log(x[i2], base)
    attr(res, "threshold") <- th
    attr(res, "base") <- base
    res
}
logst0 <- function(x, calib = x, threshold = thrFUN(calib, mult=mult),
                   thrFUN = logst_thrWS, mult = 1, base = 10)
{
    ## Using pmax.int() instead of logical indexing -- NA's work automatically - even faster
    xm <- pmax.int(threshold, x)
    res <- log(xm, base) + (x - xm)/(threshold * log(base))
    attr(res, "threshold") <- threshold
    attr(res, "base") <- base
    res
}

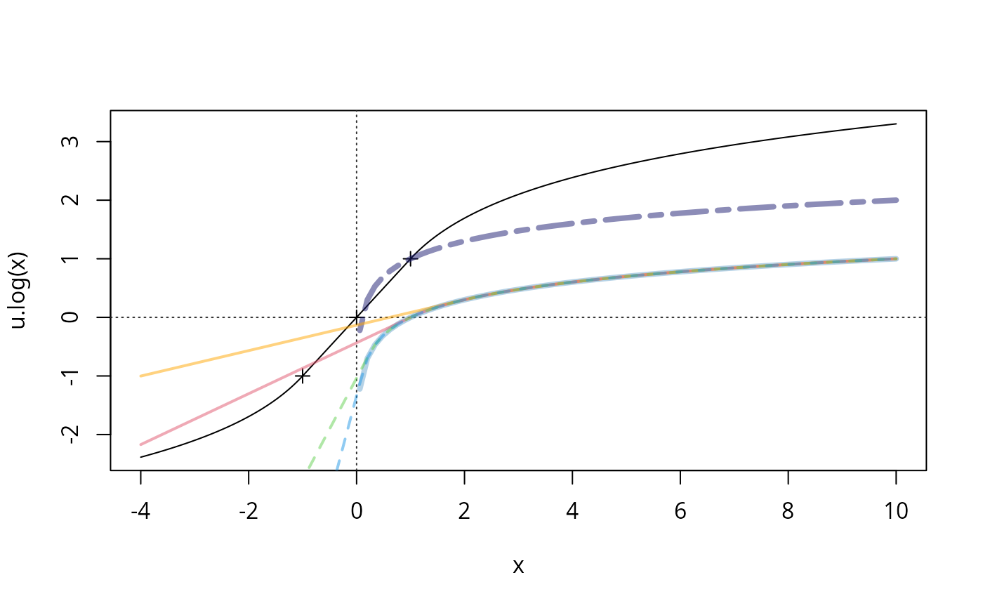
## u.log() is really using natural log() -- whereas logst() defaults to base=10

curve(u.log, -4, 10, n=1000); abline(h=0, v=0, col = "gray20", lty = 3); points(-1:1, -1:1, pch=3)
curve(log10(x) + 1,  add=TRUE, col=adjustcolor("midnightblue", 1/2), lwd=4, lty=6)
#> Warning: NaNs produced
curve(log10(x),      add=TRUE, col=adjustcolor("skyblue3",     1/2), lwd=4, lty=7)
#> Warning: NaNs produced
curve(logst0(x, threshold= 2  ), add=TRUE, col=adjustcolor("orange",1/2), lwd=2)
curve(logst0(x, threshold= 1  ), add=TRUE, col=adjustcolor(2, 1/2), lwd=2)
curve(logst0(x, threshold= 1/4), add=TRUE, col=adjustcolor(3, 1/2), lwd=2, lty=2)
curve(logst0(x, threshold= 1/8), add=TRUE, col=adjustcolor(4, 1/2), lwd=2, lty=2)