Takes a fitted gam object produced by gam() and produces some diagnostic information about the fitting procedure and results. The default is to produce 4 residual plots, some information about the convergence of the smoothness selection optimization, and to run diagnostic tests of whether the basis dimension choises are adequate. Care should be taken in interpreting the results when applied to gam objects returned by gamm.

gam.check(b, old.style=FALSE,
          type=c("deviance","pearson","response"),
          k.sample=5000,k.rep=200,
          rep=0, level=.9, rl.col=2, rep.col="gray80", ...)

Arguments

b

a fitted gam object as produced by gam().

old.style

If you want old fashioned plots, exactly as in Wood, 2006, set to TRUE.

type

type of residuals, see residuals.gam, used in all plots.

k.sample

Above this k testing uses a random sub-sample of data.

k.rep

how many re-shuffles to do to get p-value for k testing.

rep, level, rl.col, rep.col

arguments passed to qq.gam() when old.style is false, see there.

...

extra graphics parameters to pass to plotting functions.

Value

A vector of reference quantiles for the residual distribution, if these can be computed.

Details

Checking a fitted gam is like checking a fitted glm, with two main differences. Firstly, the basis dimensions used for smooth terms need to be checked, to ensure that they are not so small that they force oversmoothing: the defaults are arbitrary. choose.k provides more detail, but the diagnostic tests described below and reported by this function may also help. Secondly, fitting may not always be as robust to violation of the distributional assumptions as would be the case for a regular GLM, so slightly more care may be needed here. In particular, the thoery of quasi-likelihood implies that if the mean variance relationship is OK for a GLM, then other departures from the assumed distribution are not problematic: GAMs can sometimes be more sensitive. For example, un-modelled overdispersion will typically lead to overfit, as the smoothness selection criterion tries to reduce the scale parameter to the one specified. Similarly, it is not clear how sensitive REML and ML smoothness selection will be to deviations from the assumed response dsistribution. For these reasons this routine uses an enhanced residual QQ plot.

This function plots 4 standard diagnostic plots, some smoothing parameter estimation convergence information and the results of tests which may indicate if the smoothing basis dimension for a term is too low.

Usually the 4 plots are various residual plots. For the default optimization methods the convergence information is summarized in a readable way, but for other optimization methods, whatever is returned by way of convergence diagnostics is simply printed.

The test of whether the basis dimension for a smooth is adequate (Wood, 2017, section 5.9) is based on computing an estimate of the residual variance based on differencing residuals that are near neighbours according to the (numeric) covariates of the smooth. This estimate divided by the residual variance is the k-index reported. The further below 1 this is, the more likely it is that there is missed pattern left in the residuals. The p-value is computed by simulation: the residuals are randomly re-shuffled k.rep times to obtain the null distribution of the differencing variance estimator, if there is no pattern in the residuals. For models fitted to more than k.sample data, the tests are based of k.sample randomly sampled data. Low p-values may indicate that the basis dimension, k, has been set too low, especially if the reported edf is close to k', the maximum possible EDF for the term. Note the disconcerting fact that if the test statistic itself is based on random resampling and the null is true, then the associated p-values will of course vary widely from one replicate to the next. Currently smooths of factor variables are not supported and will give an NA p-value.

Doubling a suspect k and re-fitting is sensible: if the reported edf increases substantially then you may have been missing something in the first fit. Of course p-values can be low for reasons other than a too low k. See choose.k for fuller discussion.

The QQ plot produced is usually created by a call to qq.gam, and plots deviance residuals against approximate theoretical quantilies of the deviance residual distribution, according to the fitted model. If this looks odd then investigate further using qq.gam. Note that residuals for models fitted to binary data contain very little information useful for model checking (it is necessary to find some way of aggregating them first), so the QQ plot is unlikely to be useful in this case.

Take care when interpreting results from applying this function to a model fitted using gamm. In this case the returned gam object is based on the working model used for estimation, and will treat all the random effects as part of the error. This means that the residuals extracted from the gam object are not standardized for the family used or for the random effects or correlation structure. Usually it is necessary to produce your own residual checks based on consideration of the model structure you have used.

References

N.H. Augustin, E-A Sauleaub, S.N. Wood (2012) On quantile quantile plots for generalized linear models. Computational Statistics & Data Analysis. 56(8), 2404-3409.

Wood S.N. (2017) Generalized Additive Models: An Introduction with R (2nd edition). Chapman and Hall/CRC Press.

Author

Simon N. Wood simon.wood@r-project.org

See also

Examples

library(mgcv)
set.seed(0)
dat <- gamSim(1,n=200)
#> Gu & Wahba 4 term additive model
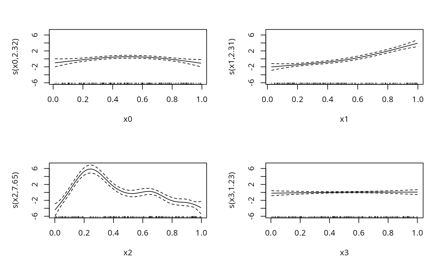
b<-gam(y~s(x0)+s(x1)+s(x2)+s(x3),data=dat)
plot(b,pages=1)

gam.check(b,pch=19,cex=.3)

#> 
#> Method: GCV   Optimizer: magic
#> Smoothing parameter selection converged after 8 iterations.
#> The RMS GCV score gradient at convergence was 1.072609e-05 .
#> The Hessian was positive definite.
#> Model rank =  37 / 37 
#> 
#> Basis dimension (k) checking results. Low p-value (k-index<1) may
#> indicate that k is too low, especially if edf is close to k'.
#> 
#>         k'  edf k-index p-value
#> s(x0) 9.00 2.32    1.00    0.51
#> s(x1) 9.00 2.31    0.97    0.29
#> s(x2) 9.00 7.65    0.96    0.27
#> s(x3) 9.00 1.23    1.04    0.67