The gumbls family implements Gumbel location scale additive models in which the location and scale parameters (see details) can depend on additive smooth predictors. Useable only with gam, the linear predictors are specified via a list of formulae.

gumbls(link=list("identity","log"),b=-7)

Arguments

two item list specifying the link for the location \(\mu\) and log scale parameter \(\beta\). See details for meaning, which may not be intuitive.

b

The minumum log scale parameter.

Value

An object inheriting from class general.family.

Details

Let \(z = (y-\mu) e^{-\beta}\), then the log Gumbel density is \(l = -\beta - z - e^{-z}\). The expected value of a Gumbel r.v. is \(\mu + \gamma e^{\beta}\) where \(\gamma\) is Eulers constant (about 0.57721566). The corresponding variance is \(\pi^2 e^{2\beta}/6\).

gumbls is used with gam to fit Gumbel location - scale models parameterized in terms of location parameter \(\mu\) and the log scale parameter \(\beta\). Note that identity link for the scale parameter means that the corresponding linear predictor gives \(\beta\) directly. By default the log link for the scale parameter simply forces the log scale parameter to have a lower limit given by argument b: if \(\eta\) is the linear predictor for the log scale parameter, \(\beta\), then \(\beta = b + \log(1+e^{\eta-b})\).

gam is called with a list containing 2 formulae, the first specifies the response on the left hand side and the structure of the linear predictor for location parameter, \(\mu\), on the right hand side. The second is one sided, specifying the linear predictor for the lg scale, \(\beta\), on the right hand side.

The fitted values for this family will be a two column matrix. The first column is the mean, and the second column is the log scale parameter, \(\beta\). Predictions using predict.gam will also produce 2 column matrices for type "link" and "response". The first column is on the original data scale when type="response" and on the log mean scale of the linear predictor when type="link". The second column when type="response" is again the log scale parameter, but is on the linear predictor when type="link".

References

Wood, S.N., N. Pya and B. Saefken (2016), Smoothing parameter and model selection for general smooth models. Journal of the American Statistical Association 111, 1548-1575 doi:10.1080/01621459.2016.1180986

Examples

library(mgcv)
## simulate some data
f0 <- function(x) 2 * sin(pi * x)
f1 <- function(x) exp(2 * x)
f2 <- function(x) 0.2 * x^11 * (10 * (1 - x))^6 + 10 * 
            (10 * x)^3 * (1 - x)^10
n <- 400;set.seed(9)
x0 <- runif(n);x1 <- runif(n);
x2 <- runif(n);x3 <- runif(n);
mu <- f0(x0)+f1(x1)
beta <- exp(f2(x2)/5)
y <- mu - beta*log(-log(runif(n))) ## Gumbel quantile function

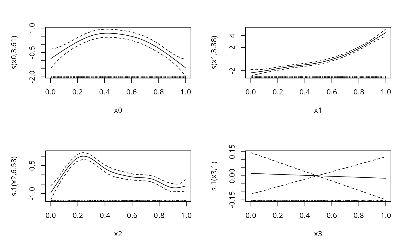
b <- gam(list(y~s(x0)+s(x1),~s(x2)+s(x3)),family=gumbls)
plot(b,pages=1,scale=0)

summary(b)
#> 
#> Family: gumbls 
#> Link function: identity log 
#> 
#> Formula:
#> y ~ s(x0) + s(x1)
#> <environment: 0x5efde7ac1da8>
#> ~s(x2) + s(x3)
#> <environment: 0x5efde7ac1da8>
#> 
#> Parametric coefficients:
#>               Estimate Std. Error z value Pr(>|z|)    
#> (Intercept)    4.26458    0.07932   53.77   <2e-16 ***
#> (Intercept).1  0.62294    0.03942   15.80   <2e-16 ***
#> ---
#> Signif. codes:  0 ‘***’ 0.001 ‘**’ 0.01 ‘*’ 0.05 ‘.’ 0.1 ‘ ’ 1
#> 
#> Approximate significance of smooth terms:
#>           edf Ref.df  Chi.sq p-value    
#> s(x0)   3.611  4.464  67.674  <2e-16 ***
#> s(x1)   3.880  4.778 586.049  <2e-16 ***
#> s.1(x2) 6.579  7.654 198.637  <2e-16 ***
#> s.1(x3) 1.000  1.001   0.051   0.822    
#> ---
#> Signif. codes:  0 ‘***’ 0.001 ‘**’ 0.01 ‘*’ 0.05 ‘.’ 0.1 ‘ ’ 1
#> 
#> Deviance explained =   NA%
#> -REML = 914.32  Scale est. = 1         n = 400
gam.check(b)

#> 
#> Method: REML   Optimizer: outer newton
#> full convergence after 8 iterations.
#> Gradient range [-0.0002243008,2.45731e-06]
#> (score 914.3217 & scale 1).
#> Hessian positive definite, eigenvalue range [0.0002242238,2.182041].
#> Model rank =  38 / 38 
#> 
#> Basis dimension (k) checking results. Low p-value (k-index<1) may
#> indicate that k is too low, especially if edf is close to k'.
#> 
#>           k'  edf k-index p-value
#> s(x0)   9.00 3.61    0.88    0.20
#> s(x1)   9.00 3.88    0.88    0.26
#> s.1(x2) 9.00 6.58    0.93    0.77
#> s.1(x3) 9.00 1.00    0.87    0.20