Takes a fitted gam object produced by gam() and plots the component smooth functions that make it up, on the scale of the linear predictor. Optionally derivatives of 1-D plots may be plotted. Optionally produces term plots for parametric model components as well.

# S3 method for class 'gam'
plot(x,residuals=FALSE,rug=NULL,se=TRUE,pages=0,select=NULL,scale=-1,
         n=100,n2=40,n3=3,theta=30,phi=30,jit=FALSE,xlab=NULL,
         ylab=NULL,main=NULL,ylim=NULL,xlim=NULL,too.far=0.1,
         all.terms=FALSE,shade.col="gray80",shift=0,
         trans=I,seWithMean=FALSE,unconditional=FALSE,by.resids=FALSE,
         scheme=0,deriv=FALSE,...)

Arguments

x

a fitted gam object as produced by gam().

residuals

If TRUE then partial residuals are added to plots of 1-D smooths. If FALSE then no residuals are added. If this is an array of the correct length then it is used as the array of residuals to be used for producing partial residuals. If TRUE then the residuals are the working residuals from the IRLS iteration weighted by the (square root) IRLS weights, in order that they have constant variance if the model is correct. Partial residuals for a smooth term are the residuals that would be obtained by dropping the term concerned from the model, while leaving all other estimates fixed (i.e. the estimates for the term plus the residuals).

rug

When TRUE the covariate to which the plot applies is displayed as a rug plot at the foot of each plot of a 1-d smooth, and the locations of the covariates are plotted as points on the contour plot representing a 2-d smooth. The default of NULL sets rug to TRUE when the dataset size is <= 10000 and FALSE otherwise.

se

when TRUE (default) upper and lower lines are added to the 1-d plots corresponding to 95% confidence limits. For 2-d plots, surfaces corresponding to lower and upper limits of 68% confidence intervals are contoured and overlayed on the contour plot for the estimate. If one or more numbers (between 0 and 1) are supplied then these are the confidence level used whatever the dimension. Currently scheme 2 uses 2 levels. Any value 1 or above resets to TRUE, failing which any value 0 or below rests to FALSE.

pages

(default 0) the number of pages over which to spread the output. For example, if pages=1 then all terms will be plotted on one page with the layout performed automatically. Set to 0 to have the routine leave all graphics settings as they are.

select

Allows the plot for a single model term to be selected for printing. e.g. if you just want the plot for the second smooth term set select=2.

scale

set to -1 (default) to have the same y-axis scale for each plot, and to 0 for a different y axis for each plot. Ignored if ylim supplied.

n

number of points used for each 1-d plot - for a nice smooth plot this needs to be several times the estimated degrees of freedom for the smooth. Default value 100.

n2

Square root of number of points used to grid estimates of 2-d functions for contouring.

n3

Square root of number of panels to use when displaying 3 or 4 dimensional functions.

theta

One of the perspective plot angles.

phi

The other perspective plot angle.

jit

Set to TRUE if you want rug plots for 1-d terms to be jittered.

xlab

If supplied then this will be used as the x label for all plots.

ylab

If supplied then this will be used as the y label for all plots.

main

Used as title (or z axis label) for plots if supplied.

ylim

If supplied then this pair of numbers are used as the y limits for each plot.

xlim

If supplied then this pair of numbers are used as the x limits for each plot.

too.far

If greater than 0 then this is used to determine when a location is too far from data to be plotted when plotting 2-D smooths. This is useful since smooths tend to go wild away from data. The data are scaled into the unit square before deciding what to exclude, and too.far is a distance within the unit square. Setting to zero can make plotting faster for large datasets, but care then needed with interpretation of plots.

all.terms

if set to TRUE then the partial effects of parametric model components are also plotted, via a call to termplot. Only terms of order 1 can be plotted in this way. Also see warnings.

shade.col

define the color used for shading confidence bands, for schemes that use this. For schemes using 2 colours this should be a 2 element vector of colours to over-ride defaults (rgb can be useful).

shift

constant to add to each smooth (on the scale of the linear predictor) before plotting. Can be useful for some diagnostics, or with trans.

trans

monotonic function to apply to each smooth (after any shift), before plotting. Monotonicity is not checked, but default plot limits assume it. shift and trans are occasionally useful as a means for getting plots on the response scale, when the model consists only of a single smooth.

seWithMean

if TRUE the component smooths are shown with confidence intervals that include the uncertainty about the overall mean. If FALSE then the uncertainty relates purely to the centred smooth itself. If seWithMean=2 then the intervals include the uncertainty in the mean of the fixed effects (but not in the mean of any uncentred smooths or random effects). Marra and Wood (2012) suggests that TRUE results in better coverage performance, and this is also suggested by simulation.

unconditional

if TRUE then the smoothing parameter uncertainty corrected covariance matrix is used to compute uncertainty bands, if available. Otherwise the bands treat the smoothing parameters as fixed.

by.resids

Should partial residuals be plotted for terms with by variables? Usually the answer is no, they would be meaningless.

scheme

Integer or integer vector selecting a plotting scheme for each plot. See details.

deriv

set to TRUE to plot derivative of smooth w.r.t covariate for 1-D terms supporting this.

...

other graphics parameters to pass on to plotting commands. See details for smooth plot specific options.

Details

Produces default plot showing the smooth components of a fitted GAM, and optionally parametric terms as well, when these can be handled by termplot.

For 1-D smooths with supporting plot methods deriv=TRUE specifies plotting of derivative of the smooth w.r.t. the covariate and its confidence band. Such derivatives are the direct analogues of the coefficients in a linear regression, giving the rate of change of the linear predictor w.r.t. the covariate. The plot label is modified to indicate that the derivative is being plotted.

For smooth terms plot.gam actually calls plot method functions depending on the class of the smooth. Currently random.effects, Markov random fields (mrf), Spherical.Spline and factor.smooth.interaction terms have special methods (documented in their help files), the rest use the defaults described below.

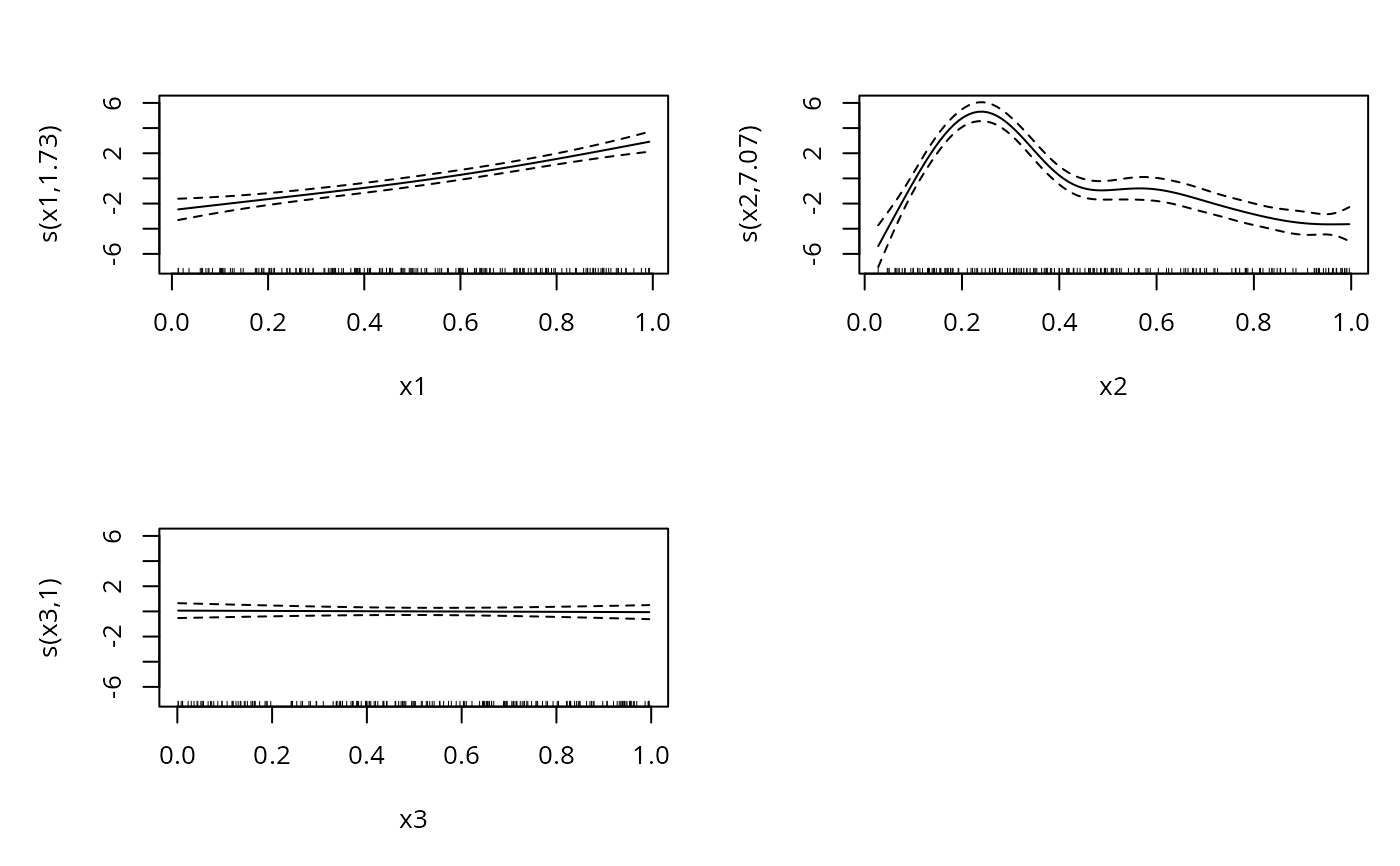
For plots of 1-d smooths, the x axis of each plot is labelled with the covariate name, while the y axis is labelled s(cov,edf) where cov is the covariate name, and edf the estimated (or user defined for regression splines) degrees of freedom of the smooth. scheme == 0 produces a smooth curve with dashed curves indicating 2 standard error bounds. scheme == 1 illustrates the error bounds using a shaded region. scheme == 2 shows 68% and 95% confidence regions (levels can be reset by se).

For scheme==0, contour plots are produced for 2-d smooths with the x-axes labelled with the first covariate name and the y axis with the second covariate name. The main title of the plot is something like s(var1,var2,edf), indicating the variables of which the term is a function, and the estimated degrees of freedom for the term. When se=TRUE, estimator variability is shown by overlaying contour plots for 68% confidence limits. If se is a positive number in (0,1) then contour plots are at the estimate and confidence limits at the giuven level. Contour levels are chosen to try and ensure reasonable separation of the contours of the different plots, but this is not always easy to achieve. Note that these plots can not be modified to the same extent as the other plot.

For 2-d smooths scheme==1 produces a perspective plot, while scheme==2 produces a heatmap, with overlaid contours and scheme==3 a greyscale heatmap (contour.col controls the contour colour).

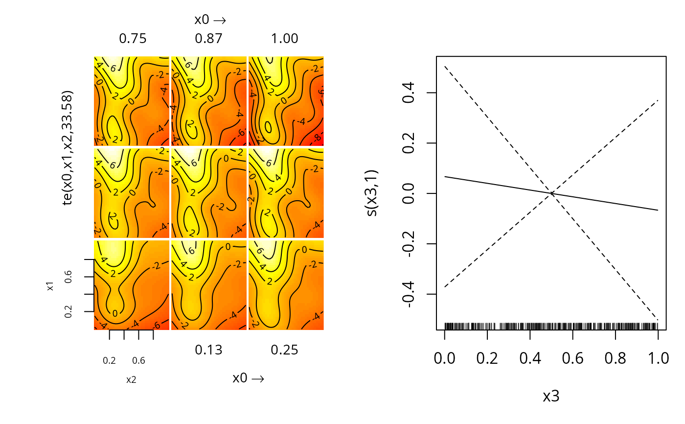
Smooths of 3 and 4 variables are displayed as tiled heatmaps with overlaid contours. In the 3 variable case the third variable is discretized and a contour plot of the first 2 variables is produced for each discrete value. The panels in the lower and upper rows are labelled with the corresponding third variable value. The lowest value is bottom left, and highest at top right. For 4 variables, two of the variables are coarsely discretized and a square array of image plots is produced for each combination of the discrete values. The first two arguments of the smooth are the ones used for the image/contour plots, unless a tensor product term has 2D marginals, in which case the first 2D marginal is image/contour plotted. n3 controls the number of panels. See also vis.gam.

Fine control of plots for parametric terms can be obtained by calling termplot directly, taking care to use its terms argument.

Note that, if seWithMean=TRUE, the confidence bands include the uncertainty about the overall mean. In other words although each smooth is shown centred, the confidence bands are obtained as if every other term in the model was constrained to have average 0, (average taken over the covariate values), except for the smooth concerned. This seems to correspond more closely to how most users interpret componentwise intervals in practice, and also results in intervals with close to nominal (frequentist) coverage probabilities by an extension of Nychka's (1988) results presented in Marra and Wood (2012). There are two possible variants of this approach. In the default variant the extra uncertainty is in the mean of all other terms in the model (fixed and random, including uncentred smooths). Alternatively, if seWithMean=2 then only the uncertainty in parametric fixed effects is included in the extra uncertainty (this latter option actually tends to lead to wider intervals when the model contains random effects).

Several smooth plots methods using image will accept an hcolors argument, which can be anything documented in heat.colors (in which case something like hcolors=rainbow(50) is appropriate), or the grey function (in which case somthing like hcolors=grey(0:50/50) is needed). Another option is contour.col which will set the contour colour for some plots. These options are useful for producing grey scale pictures instead of colour.

Sometimes you may want a small change to a default plot, and the arguments to plot.gam just won't let you do it. In this case, the quickest option is sometimes to clone the smooth.construct and Predict.matrix methods for the smooth concerned, modifying only the returned smoother class (e.g. to foo.smooth). Then copy the plot method function for the original class (e.g. mgcv:::plot.mgcv.smooth), modify the source code to plot exactly as you want and rename the plot method function (e.g. plot.foo.smooth). You can then use the cloned smooth in models (e.g. s(x,bs="foo")), and it will automatically plot using the modified plotting function.

Value

The functions main purpose is its side effect of generating plots. It also silently returns a list of the data used to produce the plots, which can be used to generate customized plots.

References

Chambers and Hastie (1993) Statistical Models in S. Chapman & Hall.

Marra, G and S.N. Wood (2012) Coverage Properties of Confidence Intervals for Generalized Additive Model Components. Scandinavian Journal of Statistics.

Nychka (1988) Bayesian Confidence Intervals for Smoothing Splines. Journal of the American Statistical Association 83:1134-1143.

Wood S.N. (2017) Generalized Additive Models: An Introduction with R (2nd edition). Chapman and Hall/CRC Press.

Author

Simon N. Wood simon.wood@r-project.org

Henric Nilsson henric.nilsson@statisticon.se donated the code for the shade option.

The design is inspired by the S function of the same name described in Chambers and Hastie (1993) (but is not a clone).

WARNING

Note that the behaviour of this function is not identical to plot.gam() in S-PLUS.

Plotting can be slow for models fitted to large datasets. Set rug=FALSE to improve matters. If it's still too slow set too.far=0, but then take care not to overinterpret smooths away from supporting data.

Plots of 2-D smooths with standard error contours shown can not easily be customized.

all.terms uses termplot which looks for the original data in the environment of the fitted model object formula. Since gam resets this environment to avoid large saved model objects containing data in hidden environments, this can fail.

See also

Examples

library(mgcv)
set.seed(0)
## fake some data...
f1 <- function(x) {exp(2 * x)}
f2 <- function(x) { 
  0.2*x^11*(10*(1-x))^6+10*(10*x)^3*(1-x)^10 
}
f3 <- function(x) {x*0}

n<-200
sig2<-4
x0 <- rep(1:4,50)
x1 <- runif(n, 0, 1)
x2 <- runif(n, 0, 1)
x3 <- runif(n, 0, 1)
e <- rnorm(n, 0, sqrt(sig2))
y <- 2*x0 + f1(x1) + f2(x2) + f3(x3) + e
x0 <- factor(x0)

## fit and plot...
b<-gam(y~x0+s(x1)+s(x2)+s(x3))
plot(b,pages=1,residuals=TRUE,all.terms=TRUE,shade=TRUE,shade.col=2)
#> Warning: "shade" is not a graphical parameter
#> Warning: "shade" is not a graphical parameter
#> Warning: "shade" is not a graphical parameter
#> Warning: "shade" is not a graphical parameter
#> Warning: "shade" is not a graphical parameter
#> Warning: "shade" is not a graphical parameter
#> Warning: "shade" is not a graphical parameter
#> Warning: "shade" is not a graphical parameter
#> Warning: "shade" is not a graphical parameter
#> Warning: "shade" is not a graphical parameter
#> Warning: "shade" is not a graphical parameter
#> Warning: "shade" is not a graphical parameter
#> Warning: "shade" is not a graphical parameter
#> Warning: "shade" is not a graphical parameter
#> Warning: "shade" is not a graphical parameter
#> Warning: "shade" is not a graphical parameter
#> Warning: "shade" is not a graphical parameter
#> Warning: "shade" is not a graphical parameter
#> Warning: "shade" is not a graphical parameter
#> Warning: "shade" is not a graphical parameter
#> Warning: "shade" is not a graphical parameter
#> Warning: "shade" is not a graphical parameter
#> Warning: "shade" is not a graphical parameter
#> Warning: "shade" is not a graphical parameter
#> Warning: "shade" is not a graphical parameter
#> Warning: "shade" is not a graphical parameter
#> Warning: "shade" is not a graphical parameter
#> Warning: "shade" is not a graphical parameter
#> Warning: "shade" is not a graphical parameter
#> Warning: "shade" is not a graphical parameter
#> Warning: "shade" is not a graphical parameter
#> Warning: "shade" is not a graphical parameter
#> Warning: "shade" is not a graphical parameter
#> Warning: "shade" is not a graphical parameter
#> Warning: "shade" is not a graphical parameter
#> Warning: "shade" is not a graphical parameter
#> Warning: "shade" is not a graphical parameter
#> Warning: "shade" is not a graphical parameter
#> Warning: "shade" is not a graphical parameter
#> Warning: "shade" is not a graphical parameter
#> Warning: "shade" is not a graphical parameter

plot(b,pages=1,seWithMean=TRUE) ## better coverage intervals

plot(b,pages=1,scale=0,scheme=2,deriv=TRUE) ## plot derivs of smooths


## just parametric term alone...
termplot(b,terms="x0",se=TRUE)


## more use of color...
op <- par(mfrow=c(2,2),bg="blue")
x <- 0:1000/1000
for (i in 1:3) {
  plot(b,select=i,rug=FALSE,col="green",
    col.axis="white",col.lab="white",all.terms=TRUE)
  for (j in 1:2) axis(j,col="white",labels=FALSE)
  box(col="white")
  eval(parse(text=paste("fx <- f",i,"(x)",sep="")))
  fx <- fx-mean(fx)
  lines(x,fx,col=2) ## overlay `truth' in red
}
par(op)


## example with 2-d plots, and use of schemes...
b1 <- gam(y~x0+s(x1,x2)+s(x3))
op <- par(mfrow=c(2,2))
plot(b1,all.terms=TRUE)
par(op) 

op <- par(mfrow=c(2,2))
plot(b1,all.terms=TRUE,scheme=1)
par(op)

op <- par(mfrow=c(2,2))
plot(b1,all.terms=TRUE,scheme=c(2,1))
par(op)


## 3 and 4 D smooths can also be plotted
dat <- gamSim(1,n=400)
#> Gu & Wahba 4 term additive model
b1 <- gam(y~te(x0,x1,x2,d=c(1,2),k=c(5,15))+s(x3),data=dat)

## Now plot. Use cex.lab and cex.axis to control axis label size,
## n3 to control number of panels, n2 to control panel grid size,
## scheme=1 to get greyscale...

plot(b1,pages=1)